基于电沉积镍纳米颗粒的纳米多孔玻碳电极的高灵敏度和简易无酶检测平台

IF 0.8 4区 工程技术 Q4 ELECTROCHEMISTRY
M. Besharati, H. Cheraghian Radi, F. Molaabasi
{"title":"基于电沉积镍纳米颗粒的纳米多孔玻碳电极的高灵敏度和简易无酶检测平台","authors":"M. Besharati,&nbsp;H. Cheraghian Radi,&nbsp;F. Molaabasi","doi":"10.1134/S1023193524601116","DOIUrl":null,"url":null,"abstract":"<p>In this work, we demonstrated the use of nano-porous glassy carbon electrode (NPGCE) decorated with nickel oxide nanoparticles (NiO<sub><i>x</i></sub>/NPGCE) as a highly sensitive and straightforward platform for the non-enzymatic electrochemical detection of ethanol. The glassy carbon electrode (GCE) was pretreated by applying constant oxidizing and reducing potentials, respectively, to create a porous carbon nanostructure with an increased surface area. This pretreatment enhanced the loading of NiO<sub><i>x</i></sub> and its activity towards ethanol electrooxidation. The modified electrode showed a wide ethanol concentration range (0.5–5 mM) with excellent linearity (<i>r</i> = 0.987), a very low detection limit of 75 μM, and a sensitivity of 924.3 µAcm<sup>–2</sup>µM<sup>–1</sup> using controlled potential amperometry. The surface coverage of NiO<sub><i>x</i></sub>/NPGCE was estimated to be 4.86 × 10<sup>–11</sup> mol cm<sup>–2</sup>. Furthermore, the specificity of the designed sensor was evaluated, and no cross-reactivity was observed. This developed sensitive platform offers a practical strategy for rapid, simple and cost-effective determination of ethanol in clinical and food samples.</p>","PeriodicalId":760,"journal":{"name":"Russian Journal of Electrochemistry","volume":"61 5","pages":"177 - 188"},"PeriodicalIF":0.8000,"publicationDate":"2025-08-07","publicationTypes":"Journal Article","fieldsOfStudy":null,"isOpenAccess":false,"openAccessPdf":"","citationCount":"0","resultStr":"{\"title\":\"A Highly Sensitive and Simple Platform for Enzyme-Free Detection of Ethanol Based on a Nano-Porous Glassy Carbon Electrode with Electrodeposited Ni Nanoparticles\",\"authors\":\"M. Besharati,&nbsp;H. Cheraghian Radi,&nbsp;F. Molaabasi\",\"doi\":\"10.1134/S1023193524601116\",\"DOIUrl\":null,\"url\":null,\"abstract\":\"<p>In this work, we demonstrated the use of nano-porous glassy carbon electrode (NPGCE) decorated with nickel oxide nanoparticles (NiO<sub><i>x</i></sub>/NPGCE) as a highly sensitive and straightforward platform for the non-enzymatic electrochemical detection of ethanol. The glassy carbon electrode (GCE) was pretreated by applying constant oxidizing and reducing potentials, respectively, to create a porous carbon nanostructure with an increased surface area. This pretreatment enhanced the loading of NiO<sub><i>x</i></sub> and its activity towards ethanol electrooxidation. The modified electrode showed a wide ethanol concentration range (0.5–5 mM) with excellent linearity (<i>r</i> = 0.987), a very low detection limit of 75 μM, and a sensitivity of 924.3 µAcm<sup>–2</sup>µM<sup>–1</sup> using controlled potential amperometry. The surface coverage of NiO<sub><i>x</i></sub>/NPGCE was estimated to be 4.86 × 10<sup>–11</sup> mol cm<sup>–2</sup>. Furthermore, the specificity of the designed sensor was evaluated, and no cross-reactivity was observed. This developed sensitive platform offers a practical strategy for rapid, simple and cost-effective determination of ethanol in clinical and food samples.</p>\",\"PeriodicalId\":760,\"journal\":{\"name\":\"Russian Journal of Electrochemistry\",\"volume\":\"61 5\",\"pages\":\"177 - 188\"},\"PeriodicalIF\":0.8000,\"publicationDate\":\"2025-08-07\",\"publicationTypes\":\"Journal Article\",\"fieldsOfStudy\":null,\"isOpenAccess\":false,\"openAccessPdf\":\"\",\"citationCount\":\"0\",\"resultStr\":null,\"platform\":\"Semanticscholar\",\"paperid\":null,\"PeriodicalName\":\"Russian Journal of Electrochemistry\",\"FirstCategoryId\":\"5\",\"ListUrlMain\":\"https://link.springer.com/article/10.1134/S1023193524601116\",\"RegionNum\":4,\"RegionCategory\":\"工程技术\",\"ArticlePicture\":[],\"TitleCN\":null,\"AbstractTextCN\":null,\"PMCID\":null,\"EPubDate\":\"\",\"PubModel\":\"\",\"JCR\":\"Q4\",\"JCRName\":\"ELECTROCHEMISTRY\",\"Score\":null,\"Total\":0}","platform":"Semanticscholar","paperid":null,"PeriodicalName":"Russian Journal of Electrochemistry","FirstCategoryId":"5","ListUrlMain":"https://link.springer.com/article/10.1134/S1023193524601116","RegionNum":4,"RegionCategory":"工程技术","ArticlePicture":[],"TitleCN":null,"AbstractTextCN":null,"PMCID":null,"EPubDate":"","PubModel":"","JCR":"Q4","JCRName":"ELECTROCHEMISTRY","Score":null,"Total":0}
引用次数: 0

摘要

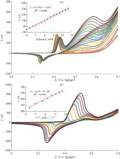
在这项工作中,我们展示了使用氧化镍纳米颗粒(NiOx/NPGCE)修饰的纳米多孔玻璃碳电极(NPGCE)作为乙醇非酶电化学检测的高灵敏度和直接平台。采用恒氧化电位和恒还原电位对玻碳电极(GCE)进行预处理,制备出表面积增大的多孔碳纳米结构。该预处理提高了NiOx的负载和对乙醇电氧化的活性。该电极具有较宽的乙醇浓度范围(0.5 ~ 5 mM),良好的线性关系(r = 0.987),极低的检出限为75 μM,控制电位安培灵敏度为924.3µAcm-2µM-1。NiOx/NPGCE的表面覆盖率估计为4.86 × 10-11 mol cm-2。此外,还评估了所设计传感器的特异性,并且没有观察到交叉反应性。该开发的灵敏平台为临床和食品样品中乙醇的快速、简单和经济有效的测定提供了一种实用的策略。
本文章由计算机程序翻译,如有差异,请以英文原文为准。

A Highly Sensitive and Simple Platform for Enzyme-Free Detection of Ethanol Based on a Nano-Porous Glassy Carbon Electrode with Electrodeposited Ni Nanoparticles

A Highly Sensitive and Simple Platform for Enzyme-Free Detection of Ethanol Based on a Nano-Porous Glassy Carbon Electrode with Electrodeposited Ni Nanoparticles

In this work, we demonstrated the use of nano-porous glassy carbon electrode (NPGCE) decorated with nickel oxide nanoparticles (NiOx/NPGCE) as a highly sensitive and straightforward platform for the non-enzymatic electrochemical detection of ethanol. The glassy carbon electrode (GCE) was pretreated by applying constant oxidizing and reducing potentials, respectively, to create a porous carbon nanostructure with an increased surface area. This pretreatment enhanced the loading of NiOx and its activity towards ethanol electrooxidation. The modified electrode showed a wide ethanol concentration range (0.5–5 mM) with excellent linearity (r = 0.987), a very low detection limit of 75 μM, and a sensitivity of 924.3 µAcm–2µM–1 using controlled potential amperometry. The surface coverage of NiOx/NPGCE was estimated to be 4.86 × 10–11 mol cm–2. Furthermore, the specificity of the designed sensor was evaluated, and no cross-reactivity was observed. This developed sensitive platform offers a practical strategy for rapid, simple and cost-effective determination of ethanol in clinical and food samples.

求助全文
通过发布文献求助,成功后即可免费获取论文全文。 去求助
来源期刊
Russian Journal of Electrochemistry
Russian Journal of Electrochemistry 工程技术-电化学
CiteScore
1.90
自引率
8.30%
发文量
102
审稿时长
6 months
期刊介绍: Russian Journal of Electrochemistry is a journal that covers all aspects of research in modern electrochemistry. The journal welcomes submissions in English or Russian regardless of country and nationality of authors.
×
引用
GB/T 7714-2015
复制
MLA
复制
APA
复制
导出至
BibTeX EndNote RefMan NoteFirst NoteExpress
×
提示
您的信息不完整,为了账户安全,请先补充。
现在去补充
×
提示
您因"违规操作"
具体请查看互助需知
我知道了
×
提示
确定
请完成安全验证×
copy
已复制链接
快去分享给好友吧!
我知道了
右上角分享
点击右上角分享
0
联系我们:info@booksci.cn Book学术提供免费学术资源搜索服务,方便国内外学者检索中英文文献。致力于提供最便捷和优质的服务体验。 Copyright © 2023 布克学术 All rights reserved.
京ICP备2023020795号-1
ghs 京公网安备 11010802042870号
Book学术文献互助
Book学术文献互助群
群 号:604180095
Book学术官方微信