评价velezenbacillus和pyriproxyfen单独或联合使用对致倦库蚊适体相关性状的影响。

IF 3.5 2区 医学 Q1 PARASITOLOGY
Abdullah A Alomar, Barry W Alto
{"title":"评价velezenbacillus和pyriproxyfen单独或联合使用对致倦库蚊适体相关性状的影响。","authors":"Abdullah A Alomar, Barry W Alto","doi":"10.1186/s13071-025-07039-9","DOIUrl":null,"url":null,"abstract":"<p><strong>Background: </strong>Lethal and sublethal effects of exposure to chemical and microbial agents can alter many mosquito life history traits and provide opportunities for integrated mosquito control strategies to reduce the risk of disease transmission. The insect growth regulator pyriproxyfen (PPF) disrupts metamorphosis by mimicking juvenile hormone, which primarily targets mosquitoes during the pupal-adult transformation. Biological agents like Bacillus velezensis (Bv) show larvicidal activity against mosquitoes, which can work in concert with the mode of action of PPF to enhance overall mosquito population suppression.</p><p><strong>Methods: </strong>This study investigated how PPF and Bv alone or in combination impact Culex quinquefasciatus performance and population recruitment by assessing both lethal (adult emergence as a proxy for overall immature mortality) and sublethal effects on fitness-related traits (lifespan and reproductive outputs). Experimental bioassays were conducted under laboratory standard conditions to determine mortality, development duration, lifespan, size, and fecundity.</p><p><strong>Results: </strong>Both agents independently reduced adult mosquito emergence, with the combination treatment producing the greatest overall reduction. When applied together, PPF and Bv significantly shortened adult female lifespan and reduced fecundity and hatching success of the offspring compared to individual treatments and the control. The combined treatment produced the most pronounced reductions across these life-history traits, indicating an additive effect.</p><p><strong>Conclusions: </strong>These findings highlight the potential of integrating PPF with a natural bacterial biocontrol agent through strong lethal and sublethal effects across multiple life stages of Cx. quinquefasciatus, including reduced adult lifespan and reproduction. Such an integrated approach can enhance the effectiveness of vector control while providing a sustainable and promising strategy to lower the risk of mosquito-borne disease transmission.</p>","PeriodicalId":19793,"journal":{"name":"Parasites & Vectors","volume":"18 1","pages":"381"},"PeriodicalIF":3.5000,"publicationDate":"2025-09-24","publicationTypes":"Journal Article","fieldsOfStudy":null,"isOpenAccess":false,"openAccessPdf":"https://www.ncbi.nlm.nih.gov/pmc/articles/PMC12462018/pdf/","citationCount":"0","resultStr":"{\"title\":\"Evaluating the transstadial effects of Bacillus velezensis and pyriproxyfen, alone and in combination, on fitness-related traits of Culex quinquefasciatus.\",\"authors\":\"Abdullah A Alomar, Barry W Alto\",\"doi\":\"10.1186/s13071-025-07039-9\",\"DOIUrl\":null,\"url\":null,\"abstract\":\"<p><strong>Background: </strong>Lethal and sublethal effects of exposure to chemical and microbial agents can alter many mosquito life history traits and provide opportunities for integrated mosquito control strategies to reduce the risk of disease transmission. The insect growth regulator pyriproxyfen (PPF) disrupts metamorphosis by mimicking juvenile hormone, which primarily targets mosquitoes during the pupal-adult transformation. Biological agents like Bacillus velezensis (Bv) show larvicidal activity against mosquitoes, which can work in concert with the mode of action of PPF to enhance overall mosquito population suppression.</p><p><strong>Methods: </strong>This study investigated how PPF and Bv alone or in combination impact Culex quinquefasciatus performance and population recruitment by assessing both lethal (adult emergence as a proxy for overall immature mortality) and sublethal effects on fitness-related traits (lifespan and reproductive outputs). Experimental bioassays were conducted under laboratory standard conditions to determine mortality, development duration, lifespan, size, and fecundity.</p><p><strong>Results: </strong>Both agents independently reduced adult mosquito emergence, with the combination treatment producing the greatest overall reduction. When applied together, PPF and Bv significantly shortened adult female lifespan and reduced fecundity and hatching success of the offspring compared to individual treatments and the control. The combined treatment produced the most pronounced reductions across these life-history traits, indicating an additive effect.</p><p><strong>Conclusions: </strong>These findings highlight the potential of integrating PPF with a natural bacterial biocontrol agent through strong lethal and sublethal effects across multiple life stages of Cx. quinquefasciatus, including reduced adult lifespan and reproduction. Such an integrated approach can enhance the effectiveness of vector control while providing a sustainable and promising strategy to lower the risk of mosquito-borne disease transmission.</p>\",\"PeriodicalId\":19793,\"journal\":{\"name\":\"Parasites & Vectors\",\"volume\":\"18 1\",\"pages\":\"381\"},\"PeriodicalIF\":3.5000,\"publicationDate\":\"2025-09-24\",\"publicationTypes\":\"Journal Article\",\"fieldsOfStudy\":null,\"isOpenAccess\":false,\"openAccessPdf\":\"https://www.ncbi.nlm.nih.gov/pmc/articles/PMC12462018/pdf/\",\"citationCount\":\"0\",\"resultStr\":null,\"platform\":\"Semanticscholar\",\"paperid\":null,\"PeriodicalName\":\"Parasites & Vectors\",\"FirstCategoryId\":\"3\",\"ListUrlMain\":\"https://doi.org/10.1186/s13071-025-07039-9\",\"RegionNum\":2,\"RegionCategory\":\"医学\",\"ArticlePicture\":[],\"TitleCN\":null,\"AbstractTextCN\":null,\"PMCID\":null,\"EPubDate\":\"\",\"PubModel\":\"\",\"JCR\":\"Q1\",\"JCRName\":\"PARASITOLOGY\",\"Score\":null,\"Total\":0}","platform":"Semanticscholar","paperid":null,"PeriodicalName":"Parasites & Vectors","FirstCategoryId":"3","ListUrlMain":"https://doi.org/10.1186/s13071-025-07039-9","RegionNum":2,"RegionCategory":"医学","ArticlePicture":[],"TitleCN":null,"AbstractTextCN":null,"PMCID":null,"EPubDate":"","PubModel":"","JCR":"Q1","JCRName":"PARASITOLOGY","Score":null,"Total":0}
引用次数: 0

摘要

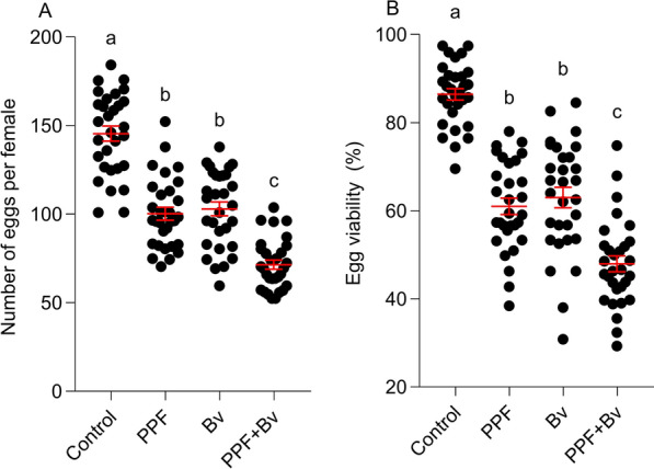
背景:暴露于化学和微生物制剂的致死和亚致死效应可以改变蚊子的许多生活史特征,并为蚊虫综合控制策略提供机会,以减少疾病传播的风险。昆虫生长调节剂吡丙醚(PPF)通过模仿幼体激素来破坏变态,幼体激素主要针对在蛹成蚊转化过程中的蚊子。韦氏芽孢杆菌(Bacillus velezensis, Bv)等生物制剂对蚊虫具有一定的杀幼虫活性,可与PPF的作用方式协同作用,增强对蚊虫的总体抑制作用。方法:本研究通过评估致死性(成虫羽化作为总体未成熟死亡率的代表)和亚致死性对健康相关性状(寿命和生殖产出)的影响,研究了PPF和Bv单独或联合对致倦库蚊性能和种群招募的影响。在实验室标准条件下进行实验生物测定,以确定死亡率、发育持续时间、寿命、大小和繁殖力。结果:两种药剂单独杀灭成蚊,以联合杀灭效果最好。当PPF和Bv一起施用时,与单独处理和对照相比,PPF和Bv显著缩短了成年雌性的寿命,降低了后代的繁殖力和孵化成功率。联合治疗在这些生活史特征中产生了最显著的减少,表明了一种加性效应。结论:这些发现强调了PPF与天然细菌生物防治剂结合的潜力,通过在Cx的多个生命阶段产生强致死和亚致死效应。致倦库蚊,包括缩短成年寿命和繁殖能力。这种综合方法可以提高病媒控制的有效性,同时为降低蚊媒疾病传播的风险提供可持续和有希望的战略。
本文章由计算机程序翻译,如有差异,请以英文原文为准。

Evaluating the transstadial effects of Bacillus velezensis and pyriproxyfen, alone and in combination, on fitness-related traits of Culex quinquefasciatus.

Evaluating the transstadial effects of Bacillus velezensis and pyriproxyfen, alone and in combination, on fitness-related traits of Culex quinquefasciatus.

Evaluating the transstadial effects of Bacillus velezensis and pyriproxyfen, alone and in combination, on fitness-related traits of Culex quinquefasciatus.

Evaluating the transstadial effects of Bacillus velezensis and pyriproxyfen, alone and in combination, on fitness-related traits of Culex quinquefasciatus.

Background: Lethal and sublethal effects of exposure to chemical and microbial agents can alter many mosquito life history traits and provide opportunities for integrated mosquito control strategies to reduce the risk of disease transmission. The insect growth regulator pyriproxyfen (PPF) disrupts metamorphosis by mimicking juvenile hormone, which primarily targets mosquitoes during the pupal-adult transformation. Biological agents like Bacillus velezensis (Bv) show larvicidal activity against mosquitoes, which can work in concert with the mode of action of PPF to enhance overall mosquito population suppression.

Methods: This study investigated how PPF and Bv alone or in combination impact Culex quinquefasciatus performance and population recruitment by assessing both lethal (adult emergence as a proxy for overall immature mortality) and sublethal effects on fitness-related traits (lifespan and reproductive outputs). Experimental bioassays were conducted under laboratory standard conditions to determine mortality, development duration, lifespan, size, and fecundity.

Results: Both agents independently reduced adult mosquito emergence, with the combination treatment producing the greatest overall reduction. When applied together, PPF and Bv significantly shortened adult female lifespan and reduced fecundity and hatching success of the offspring compared to individual treatments and the control. The combined treatment produced the most pronounced reductions across these life-history traits, indicating an additive effect.

Conclusions: These findings highlight the potential of integrating PPF with a natural bacterial biocontrol agent through strong lethal and sublethal effects across multiple life stages of Cx. quinquefasciatus, including reduced adult lifespan and reproduction. Such an integrated approach can enhance the effectiveness of vector control while providing a sustainable and promising strategy to lower the risk of mosquito-borne disease transmission.

求助全文
通过发布文献求助,成功后即可免费获取论文全文。 去求助
来源期刊
Parasites & Vectors
Parasites & Vectors 医学-寄生虫学
CiteScore
6.30
自引率
9.40%
发文量
433
审稿时长
1.4 months
期刊介绍: Parasites & Vectors is an open access, peer-reviewed online journal dealing with the biology of parasites, parasitic diseases, intermediate hosts, vectors and vector-borne pathogens. Manuscripts published in this journal will be available to all worldwide, with no barriers to access, immediately following acceptance. However, authors retain the copyright of their material and may use it, or distribute it, as they wish. Manuscripts on all aspects of the basic and applied biology of parasites, intermediate hosts, vectors and vector-borne pathogens will be considered. In addition to the traditional and well-established areas of science in these fields, we also aim to provide a vehicle for publication of the rapidly developing resources and technology in parasite, intermediate host and vector genomics and their impacts on biological research. We are able to publish large datasets and extensive results, frequently associated with genomic and post-genomic technologies, which are not readily accommodated in traditional journals. Manuscripts addressing broader issues, for example economics, social sciences and global climate change in relation to parasites, vectors and disease control, are also welcomed.
×
引用
GB/T 7714-2015
复制
MLA
复制
APA
复制
导出至
BibTeX EndNote RefMan NoteFirst NoteExpress
×
提示
您的信息不完整,为了账户安全,请先补充。
现在去补充
×
提示
您因"违规操作"
具体请查看互助需知
我知道了
×
提示
确定
请完成安全验证×
copy
已复制链接
快去分享给好友吧!
我知道了
右上角分享
点击右上角分享
0
联系我们:info@booksci.cn Book学术提供免费学术资源搜索服务,方便国内外学者检索中英文文献。致力于提供最便捷和优质的服务体验。 Copyright © 2023 布克学术 All rights reserved.
京ICP备2023020795号-1
ghs 京公网安备 11010802042870号
Book学术文献互助
Book学术文献互助群
群 号:604180095
Book学术官方微信