在11.4 ~ 17nm辐射波长范围内工作的升级铷基多层镜

IF 0.4 Q4 PHYSICS, CONDENSED MATTER
M. A. Yamschikova, V. M. Yamschikov
{"title":"在11.4 ~ 17nm辐射波长范围内工作的升级铷基多层镜","authors":"M. A. Yamschikova,&nbsp;V. M. Yamschikov","doi":"10.1134/S1027451025701034","DOIUrl":null,"url":null,"abstract":"<p>The paper presents the theoretical modeling results of the reflectivity of multilayer mirrors based on rubidium and its compounds, designed to operate in the radiation wavelength range of 11.4–17 nm and of interest to modern lithography and X-ray astronomy. Using a genetic algorithm, the problem of optimizing the multilayer design of such mirrors to achieve maximum reflection is solved, and a comparison of the theoretical reflection coefficients obtained in this work with modern developments of multilayer X-ray mirrors in the characteristic radiation regions of 11.4, 13.5, and 17 nm is presented. Due to the high chemical activity of pure rubidium, it is proposed to use a more stable compound for the potential practical implementation of rubidium-containing mirrors. It is shown that the use of boron carbide between the main layers of the mirrors leads to a significant increase in their final reflection coefficient and can be considered a barrier method to prevent interdiffusion between materials; however, experimental verification of this hypothesis is required. The integral reflection of an optical system containing a few multilayer mirrors significantly depends on increasing the reflectivity of a single mirror, thus justifying the prospects of using the proposed mirrors in the optical system of a modern lithograph.</p>","PeriodicalId":671,"journal":{"name":"Journal of Surface Investigation: X-ray, Synchrotron and Neutron Techniques","volume":"19 3","pages":"697 - 702"},"PeriodicalIF":0.4000,"publicationDate":"2025-09-25","publicationTypes":"Journal Article","fieldsOfStudy":null,"isOpenAccess":false,"openAccessPdf":"","citationCount":"0","resultStr":"{\"title\":\"Upgraded Rubidium-Based Multilayer Mirrors for Operation in the Radiation Wavelength Range of 11.4–17 nm\",\"authors\":\"M. A. Yamschikova,&nbsp;V. M. Yamschikov\",\"doi\":\"10.1134/S1027451025701034\",\"DOIUrl\":null,\"url\":null,\"abstract\":\"<p>The paper presents the theoretical modeling results of the reflectivity of multilayer mirrors based on rubidium and its compounds, designed to operate in the radiation wavelength range of 11.4–17 nm and of interest to modern lithography and X-ray astronomy. Using a genetic algorithm, the problem of optimizing the multilayer design of such mirrors to achieve maximum reflection is solved, and a comparison of the theoretical reflection coefficients obtained in this work with modern developments of multilayer X-ray mirrors in the characteristic radiation regions of 11.4, 13.5, and 17 nm is presented. Due to the high chemical activity of pure rubidium, it is proposed to use a more stable compound for the potential practical implementation of rubidium-containing mirrors. It is shown that the use of boron carbide between the main layers of the mirrors leads to a significant increase in their final reflection coefficient and can be considered a barrier method to prevent interdiffusion between materials; however, experimental verification of this hypothesis is required. The integral reflection of an optical system containing a few multilayer mirrors significantly depends on increasing the reflectivity of a single mirror, thus justifying the prospects of using the proposed mirrors in the optical system of a modern lithograph.</p>\",\"PeriodicalId\":671,\"journal\":{\"name\":\"Journal of Surface Investigation: X-ray, Synchrotron and Neutron Techniques\",\"volume\":\"19 3\",\"pages\":\"697 - 702\"},\"PeriodicalIF\":0.4000,\"publicationDate\":\"2025-09-25\",\"publicationTypes\":\"Journal Article\",\"fieldsOfStudy\":null,\"isOpenAccess\":false,\"openAccessPdf\":\"\",\"citationCount\":\"0\",\"resultStr\":null,\"platform\":\"Semanticscholar\",\"paperid\":null,\"PeriodicalName\":\"Journal of Surface Investigation: X-ray, Synchrotron and Neutron Techniques\",\"FirstCategoryId\":\"1085\",\"ListUrlMain\":\"https://link.springer.com/article/10.1134/S1027451025701034\",\"RegionNum\":0,\"RegionCategory\":null,\"ArticlePicture\":[],\"TitleCN\":null,\"AbstractTextCN\":null,\"PMCID\":null,\"EPubDate\":\"\",\"PubModel\":\"\",\"JCR\":\"Q4\",\"JCRName\":\"PHYSICS, CONDENSED MATTER\",\"Score\":null,\"Total\":0}","platform":"Semanticscholar","paperid":null,"PeriodicalName":"Journal of Surface Investigation: X-ray, Synchrotron and Neutron Techniques","FirstCategoryId":"1085","ListUrlMain":"https://link.springer.com/article/10.1134/S1027451025701034","RegionNum":0,"RegionCategory":null,"ArticlePicture":[],"TitleCN":null,"AbstractTextCN":null,"PMCID":null,"EPubDate":"","PubModel":"","JCR":"Q4","JCRName":"PHYSICS, CONDENSED MATTER","Score":null,"Total":0}
引用次数: 0

摘要

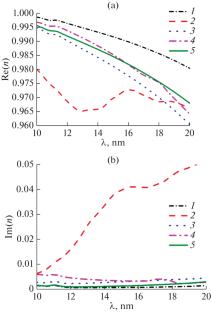
本文介绍了基于铷及其化合物的多层反射镜反射率的理论建模结果,设计工作在11.4-17 nm的辐射波长范围内,对现代光刻和x射线天文学很有意义。利用遗传算法解决了多层反射镜的优化设计问题,并将所得的理论反射系数与现代多层x射线反射镜在11.4、13.5和17 nm特征辐射区域的发展情况进行了比较。由于纯铷具有较高的化学活性,因此建议使用一种更稳定的化合物来实现含铷镜的潜在实际应用。结果表明,在反射镜主层之间使用碳化硼可以显著提高反射镜的最终反射系数,可以认为是一种防止材料间相互扩散的屏障方法;然而,这一假设需要实验验证。包含几个多层反射镜的光学系统的整体反射很大程度上取决于增加单个反射镜的反射率,因此证明了在现代平版印刷光学系统中使用所提出的反射镜的前景。
本文章由计算机程序翻译,如有差异,请以英文原文为准。

Upgraded Rubidium-Based Multilayer Mirrors for Operation in the Radiation Wavelength Range of 11.4–17 nm

Upgraded Rubidium-Based Multilayer Mirrors for Operation in the Radiation Wavelength Range of 11.4–17 nm

The paper presents the theoretical modeling results of the reflectivity of multilayer mirrors based on rubidium and its compounds, designed to operate in the radiation wavelength range of 11.4–17 nm and of interest to modern lithography and X-ray astronomy. Using a genetic algorithm, the problem of optimizing the multilayer design of such mirrors to achieve maximum reflection is solved, and a comparison of the theoretical reflection coefficients obtained in this work with modern developments of multilayer X-ray mirrors in the characteristic radiation regions of 11.4, 13.5, and 17 nm is presented. Due to the high chemical activity of pure rubidium, it is proposed to use a more stable compound for the potential practical implementation of rubidium-containing mirrors. It is shown that the use of boron carbide between the main layers of the mirrors leads to a significant increase in their final reflection coefficient and can be considered a barrier method to prevent interdiffusion between materials; however, experimental verification of this hypothesis is required. The integral reflection of an optical system containing a few multilayer mirrors significantly depends on increasing the reflectivity of a single mirror, thus justifying the prospects of using the proposed mirrors in the optical system of a modern lithograph.

求助全文
通过发布文献求助,成功后即可免费获取论文全文。 去求助
来源期刊
CiteScore
0.90
自引率
25.00%
发文量
144
审稿时长
3-8 weeks
期刊介绍: Journal of Surface Investigation: X-ray, Synchrotron and Neutron Techniques publishes original articles on the topical problems of solid-state physics, materials science, experimental techniques, condensed media, nanostructures, surfaces of thin films, and phase boundaries: geometric and energetical structures of surfaces, the methods of computer simulations; physical and chemical properties and their changes upon radiation and other treatments; the methods of studies of films and surface layers of crystals (XRD, XPS, synchrotron radiation, neutron and electron diffraction, electron microscopic, scanning tunneling microscopic, atomic force microscopic studies, and other methods that provide data on the surfaces and thin films). Articles related to the methods and technics of structure studies are the focus of the journal. The journal accepts manuscripts of regular articles and reviews in English or Russian language from authors of all countries. All manuscripts are peer-reviewed.
×
引用
GB/T 7714-2015
复制
MLA
复制
APA
复制
导出至
BibTeX EndNote RefMan NoteFirst NoteExpress
×
提示
您的信息不完整,为了账户安全,请先补充。
现在去补充
×
提示
您因"违规操作"
具体请查看互助需知
我知道了
×
提示
确定
请完成安全验证×
copy
已复制链接
快去分享给好友吧!
我知道了
右上角分享
点击右上角分享
0
联系我们:info@booksci.cn Book学术提供免费学术资源搜索服务,方便国内外学者检索中英文文献。致力于提供最便捷和优质的服务体验。 Copyright © 2023 布克学术 All rights reserved.
京ICP备2023020795号-1
ghs 京公网安备 11010802042870号
Book学术文献互助
Book学术文献互助群
群 号:604180095
Book学术官方微信