前瞻性观察性研究,比较孤立无泵冠状动脉旁路移植术中不同灌注系统的全身炎症反应。

0 CARDIAC & CARDIOVASCULAR SYSTEMS
Kaan Kırali, Sibel Aydın, Ayhan Güneş, Mehmet Aksüt, Eray Metin Güler, Mustafa Emre Gürcü
{"title":"前瞻性观察性研究,比较孤立无泵冠状动脉旁路移植术中不同灌注系统的全身炎症反应。","authors":"Kaan Kırali, Sibel Aydın, Ayhan Güneş, Mehmet Aksüt, Eray Metin Güler, Mustafa Emre Gürcü","doi":"10.1093/icvts/ivaf221","DOIUrl":null,"url":null,"abstract":"<p><strong>Objectives: </strong>Minimal Invasive Extracorporeal Circulation (MiECC) and Hybrid System (HS) have been introduced to potentially reduce this inflammatory response compared to conventional Cardiopulmonary Bypass (cCPB). The hybrid system combines elements of conventional and minimized circuits, including a collapsible reservoir, integrated arterial filter, and hypobaric oxygenator, allowing rapid conversion and air embolism control.This study aims to provide a comparative analysis of biomarkers of systemic inflammatory response induced by MiECC, HS and cCPB systems in isolated CABG patients.</p><p><strong>Methods: </strong>In this prospective pilot observational study a total of 66 patients who underwent isolated on-pump CABG performed under aortic cross-clamp enrolled. in this single-center, prospective pilot study. Systemic inflammatory markers (IL-1β, IL-6, IL-8, TNF-α, LE, HIF-1α) and oxidative status were measured at five intervals: preoperative (pre-pump), intraoperative (on-pump), and at 6, 12, and 24 hours postoperatively (post-pump).</p><p><strong>Results: </strong>A total of 66 patients were enrolled: MiECC (n = 20), Hybrid System (HS, n = 22), and cCPB (n = 24). Notably, 2 patients initially assigned to MiECC required intraoperative conversion to cCPB due to haemodynamic instability. Both MiECC and HS groups consistently showed lower levels of systemic inflammatory biomarkers and oxidative stress indicators at all intraoperative and postoperative time points compared to cCPB. For instance, IL-6 levels at 6 hours post-op were 292 pg/mL in MiECC, 311 pg/mL in HS, and 514 pg/mL in cCPB; Oxidative Stress Index values at the same time point were 70 in MiECC, 66 in HS, and 142 in cCPB. Hemoglobin decline was least pronounced in the MiECC group, and red blood cell transfusion was required in 50% of cCPB patients, compared to 10% in MiECC and 13.6% in HS. HIF-1α levels were higher in HS than MiECC at 12 hours post-op (3.8 vs 2.6 ng/mL). No substantial differences were observed between groups in troponin, creatinine, or lactate values.</p><p><strong>Conclusions: </strong>MiECC and HS show a similar profile in alleviating systemic inflammation, with notable reductions in inflammatory biomarkers and key clinical oxidative outcomes compared with cCPB. These results underscore the potential of MiECC and HS to improve clinical recovery by minimizing the inflammatory effect in on-pump CABG procedures.</p>","PeriodicalId":73406,"journal":{"name":"Interdisciplinary cardiovascular and thoracic surgery","volume":" ","pages":""},"PeriodicalIF":0.0000,"publicationDate":"2025-09-24","publicationTypes":"Journal Article","fieldsOfStudy":null,"isOpenAccess":false,"openAccessPdf":"https://www.ncbi.nlm.nih.gov/pmc/articles/PMC12529268/pdf/","citationCount":"0","resultStr":"{\"title\":\"Prospective observational study comparing systemic inflammatory responses across different perfusion systems during isolated on-pump Coronary Artery Bypass Grafting.\",\"authors\":\"Kaan Kırali, Sibel Aydın, Ayhan Güneş, Mehmet Aksüt, Eray Metin Güler, Mustafa Emre Gürcü\",\"doi\":\"10.1093/icvts/ivaf221\",\"DOIUrl\":null,\"url\":null,\"abstract\":\"<p><strong>Objectives: </strong>Minimal Invasive Extracorporeal Circulation (MiECC) and Hybrid System (HS) have been introduced to potentially reduce this inflammatory response compared to conventional Cardiopulmonary Bypass (cCPB). The hybrid system combines elements of conventional and minimized circuits, including a collapsible reservoir, integrated arterial filter, and hypobaric oxygenator, allowing rapid conversion and air embolism control.This study aims to provide a comparative analysis of biomarkers of systemic inflammatory response induced by MiECC, HS and cCPB systems in isolated CABG patients.</p><p><strong>Methods: </strong>In this prospective pilot observational study a total of 66 patients who underwent isolated on-pump CABG performed under aortic cross-clamp enrolled. in this single-center, prospective pilot study. Systemic inflammatory markers (IL-1β, IL-6, IL-8, TNF-α, LE, HIF-1α) and oxidative status were measured at five intervals: preoperative (pre-pump), intraoperative (on-pump), and at 6, 12, and 24 hours postoperatively (post-pump).</p><p><strong>Results: </strong>A total of 66 patients were enrolled: MiECC (n = 20), Hybrid System (HS, n = 22), and cCPB (n = 24). Notably, 2 patients initially assigned to MiECC required intraoperative conversion to cCPB due to haemodynamic instability. Both MiECC and HS groups consistently showed lower levels of systemic inflammatory biomarkers and oxidative stress indicators at all intraoperative and postoperative time points compared to cCPB. For instance, IL-6 levels at 6 hours post-op were 292 pg/mL in MiECC, 311 pg/mL in HS, and 514 pg/mL in cCPB; Oxidative Stress Index values at the same time point were 70 in MiECC, 66 in HS, and 142 in cCPB. Hemoglobin decline was least pronounced in the MiECC group, and red blood cell transfusion was required in 50% of cCPB patients, compared to 10% in MiECC and 13.6% in HS. HIF-1α levels were higher in HS than MiECC at 12 hours post-op (3.8 vs 2.6 ng/mL). No substantial differences were observed between groups in troponin, creatinine, or lactate values.</p><p><strong>Conclusions: </strong>MiECC and HS show a similar profile in alleviating systemic inflammation, with notable reductions in inflammatory biomarkers and key clinical oxidative outcomes compared with cCPB. These results underscore the potential of MiECC and HS to improve clinical recovery by minimizing the inflammatory effect in on-pump CABG procedures.</p>\",\"PeriodicalId\":73406,\"journal\":{\"name\":\"Interdisciplinary cardiovascular and thoracic surgery\",\"volume\":\" \",\"pages\":\"\"},\"PeriodicalIF\":0.0000,\"publicationDate\":\"2025-09-24\",\"publicationTypes\":\"Journal Article\",\"fieldsOfStudy\":null,\"isOpenAccess\":false,\"openAccessPdf\":\"https://www.ncbi.nlm.nih.gov/pmc/articles/PMC12529268/pdf/\",\"citationCount\":\"0\",\"resultStr\":null,\"platform\":\"Semanticscholar\",\"paperid\":null,\"PeriodicalName\":\"Interdisciplinary cardiovascular and thoracic surgery\",\"FirstCategoryId\":\"1085\",\"ListUrlMain\":\"https://doi.org/10.1093/icvts/ivaf221\",\"RegionNum\":0,\"RegionCategory\":null,\"ArticlePicture\":[],\"TitleCN\":null,\"AbstractTextCN\":null,\"PMCID\":null,\"EPubDate\":\"\",\"PubModel\":\"\",\"JCR\":\"0\",\"JCRName\":\"CARDIAC & CARDIOVASCULAR SYSTEMS\",\"Score\":null,\"Total\":0}","platform":"Semanticscholar","paperid":null,"PeriodicalName":"Interdisciplinary cardiovascular and thoracic surgery","FirstCategoryId":"1085","ListUrlMain":"https://doi.org/10.1093/icvts/ivaf221","RegionNum":0,"RegionCategory":null,"ArticlePicture":[],"TitleCN":null,"AbstractTextCN":null,"PMCID":null,"EPubDate":"","PubModel":"","JCR":"0","JCRName":"CARDIAC & CARDIOVASCULAR SYSTEMS","Score":null,"Total":0}
引用次数: 0

摘要

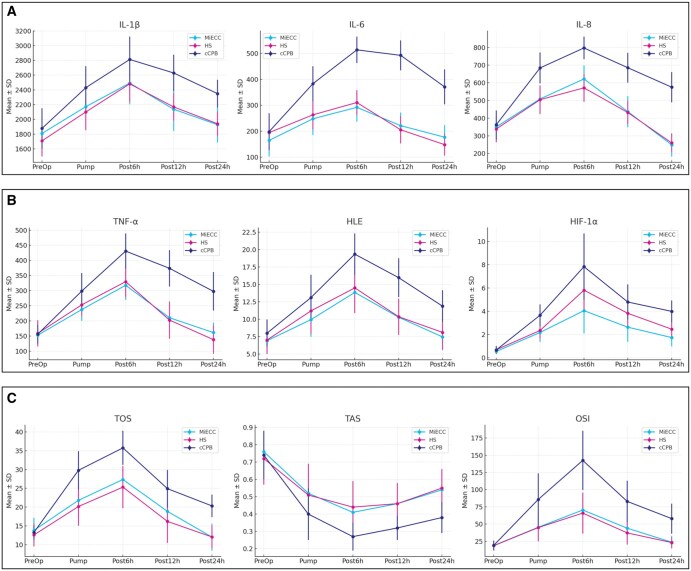
目的:与传统体外循环(cCPB)相比,微创体外循环(MiECC)和混合系统(HS)已经被引入,可以潜在地减少这种炎症反应。混合系统结合了传统电路和最小化电路的元素,包括可折叠储层、集成动脉过滤器和低压氧合器,可实现快速转换和空气栓塞控制。本研究旨在对孤立CABG患者中MiECC、HS和cCPB系统诱导的全身炎症反应的生物标志物进行比较分析。方法:在这项前瞻性先导观察性研究中,共有66例患者在主动脉交叉钳下接受了孤立的无泵搭桥手术。在这项单中心前瞻性先导研究中。全身炎症标志物(IL-1β、IL-6、IL-8、TNF-α、LE、HIF-1α)和氧化状态在术前(泵前)、术中(泵后)、术后6、12和24小时(泵后)5个时间间隔测量。结果:共纳入66例患者:MiECC (n = 20), Hybrid System (n = 22)和cCPB (n = 24)。值得注意的是,最初分配到MiECC的2例患者由于血流动力学不稳定而需要术中转换为cCPB。与cCPB相比,MiECC组和HS组在术中和术后所有时间点均显示出较低的全身炎症生物标志物和氧化应激指标水平。例如,术后6小时,MiECC组IL-6水平为292 pg/mL, HS组为311 pg/mL, cCPB组为514 pg/mL;同一时间点,MiECC组氧化应激指数为70,HS组为66,cCPB组为142。MiECC组血红蛋白下降最不明显,50%的cCPB患者需要输血,而MiECC组为10%,HS组为13.6%。术后12小时HS组HIF-1α水平高于MiECC组(3.8 ng/mL vs 2.6 ng/mL)。各组间肌钙蛋白、肌酐或乳酸值无显著差异。结论:与cCPB相比,MiECC和HS在缓解全身性炎症方面表现出相似的特征,炎症生物标志物和关键的临床氧化结局显著降低。这些结果强调了MiECC和HS通过最小化无泵CABG手术中的炎症效应来改善临床恢复的潜力。
本文章由计算机程序翻译,如有差异,请以英文原文为准。

Prospective observational study comparing systemic inflammatory responses across different perfusion systems during isolated on-pump Coronary Artery Bypass Grafting.

Prospective observational study comparing systemic inflammatory responses across different perfusion systems during isolated on-pump Coronary Artery Bypass Grafting.

Prospective observational study comparing systemic inflammatory responses across different perfusion systems during isolated on-pump Coronary Artery Bypass Grafting.

Objectives: Minimal Invasive Extracorporeal Circulation (MiECC) and Hybrid System (HS) have been introduced to potentially reduce this inflammatory response compared to conventional Cardiopulmonary Bypass (cCPB). The hybrid system combines elements of conventional and minimized circuits, including a collapsible reservoir, integrated arterial filter, and hypobaric oxygenator, allowing rapid conversion and air embolism control.This study aims to provide a comparative analysis of biomarkers of systemic inflammatory response induced by MiECC, HS and cCPB systems in isolated CABG patients.

Methods: In this prospective pilot observational study a total of 66 patients who underwent isolated on-pump CABG performed under aortic cross-clamp enrolled. in this single-center, prospective pilot study. Systemic inflammatory markers (IL-1β, IL-6, IL-8, TNF-α, LE, HIF-1α) and oxidative status were measured at five intervals: preoperative (pre-pump), intraoperative (on-pump), and at 6, 12, and 24 hours postoperatively (post-pump).

Results: A total of 66 patients were enrolled: MiECC (n = 20), Hybrid System (HS, n = 22), and cCPB (n = 24). Notably, 2 patients initially assigned to MiECC required intraoperative conversion to cCPB due to haemodynamic instability. Both MiECC and HS groups consistently showed lower levels of systemic inflammatory biomarkers and oxidative stress indicators at all intraoperative and postoperative time points compared to cCPB. For instance, IL-6 levels at 6 hours post-op were 292 pg/mL in MiECC, 311 pg/mL in HS, and 514 pg/mL in cCPB; Oxidative Stress Index values at the same time point were 70 in MiECC, 66 in HS, and 142 in cCPB. Hemoglobin decline was least pronounced in the MiECC group, and red blood cell transfusion was required in 50% of cCPB patients, compared to 10% in MiECC and 13.6% in HS. HIF-1α levels were higher in HS than MiECC at 12 hours post-op (3.8 vs 2.6 ng/mL). No substantial differences were observed between groups in troponin, creatinine, or lactate values.

Conclusions: MiECC and HS show a similar profile in alleviating systemic inflammation, with notable reductions in inflammatory biomarkers and key clinical oxidative outcomes compared with cCPB. These results underscore the potential of MiECC and HS to improve clinical recovery by minimizing the inflammatory effect in on-pump CABG procedures.

求助全文
通过发布文献求助,成功后即可免费获取论文全文。 去求助
来源期刊
自引率
0.00%
发文量
0
×
引用
GB/T 7714-2015
复制
MLA
复制
APA
复制
导出至
BibTeX EndNote RefMan NoteFirst NoteExpress
×
提示
您的信息不完整,为了账户安全,请先补充。
现在去补充
×
提示
您因"违规操作"
具体请查看互助需知
我知道了
×
提示
确定
请完成安全验证×
copy
已复制链接
快去分享给好友吧!
我知道了
右上角分享
点击右上角分享
0
联系我们:info@booksci.cn Book学术提供免费学术资源搜索服务,方便国内外学者检索中英文文献。致力于提供最便捷和优质的服务体验。 Copyright © 2023 布克学术 All rights reserved.
京ICP备2023020795号-1
ghs 京公网安备 11010802042870号
Book学术文献互助
Book学术文献互助群
群 号:604180095
Book学术官方微信