大蒜粉和益生菌对球虫攻毒肉鸡生产和生长性能参数的协同效应

IF 1 Q3 VETERINARY SCIENCES
Open Veterinary Journal Pub Date : 2025-06-01 Epub Date: 2025-06-30 DOI:10.5455/OVJ.2025.v15.i6.42
Azhar Eltanahy, Dima Alkadri, Mohamed Alaaeldein Elmorsy, Huda A El-Emam, Nahed A El-Shall, Bassem Elmishmishy, Asmaa Elsayyad, Gehad A Ezzat, Marwa A El-Beltagy, Mohamed Shaalan, Radwa R Elzwahary, Ahmed I El Sheikh, Ahmed M Abdellatif
{"title":"大蒜粉和益生菌对球虫攻毒肉鸡生产和生长性能参数的协同效应","authors":"Azhar Eltanahy, Dima Alkadri, Mohamed Alaaeldein Elmorsy, Huda A El-Emam, Nahed A El-Shall, Bassem Elmishmishy, Asmaa Elsayyad, Gehad A Ezzat, Marwa A El-Beltagy, Mohamed Shaalan, Radwa R Elzwahary, Ahmed I El Sheikh, Ahmed M Abdellatif","doi":"10.5455/OVJ.2025.v15.i6.42","DOIUrl":null,"url":null,"abstract":"<p><strong>Background: </strong>Coccidial intestinal infection induces significant economic losses in the production of birds. It also constitutes a major hazard of drug residues to meat consumers if the coccidia is controlled using anticoccidial drugs.</p><p><strong>Aim: </strong>This study aimed to assess the impact of dietary garlic as a natural alternative with or without probiotics compared to the anticoccidial drug against <i>Eimeria</i> infection of broilers.</p><p><strong>Methods: </strong>Growth rate, carcass dressing, blood metabolites, meat quality, intestinal histomorphology, oocyst shedding, and gene expression were assessed. A total of 150 one-day-old Ross broiler chicks were divided into five groups: NC, negative control; PC, positive control; AC, anticoccidial drug; GR, garlic; GR-P, garlic plus probiotics. The coccidia challenge was conducted for all experimental groups except NC.</p><p><strong>Results: </strong>PC birds showed a significantly lower weight gain and worse feed conversion ratio compared to the NC birds. The GR-P and AC groups revealed comparable results regarding WG and were significantly higher than the GR and PC groups. In comparison to the PC, AC, and GR-P groups, the GR group exhibited significantly decreased cecal lesion score, mortality rate, and oocyst shedding. GR-P improved carcass traits compared to other groups. GR-P and GR-P showed the highest scores for appearance, juiciness, tenderness, and the overall acceptability of breast meat. GR-P, GR, and AC reduced breast meat PH, Thiobarbituric acid reactive substances (TBARSs), fat, and ash compared to PC. AC, GR, and GR-P significantly increased jejunal and cecal villus length and crypt depth. Improvements in blood parameters were seen in the AC, GR, and GR-P groups rather than in the PC group. The coccidia challenge significantly induced changes in gene expression levels, while the three additives mainly reversed their expression.</p><p><strong>Conclusion: </strong>The present study reported a promising role of garlic-probiotics dietary supplements in broiler chickens' growth performance during coccidiosis due to their antioxidant, anticoccidial, and antimicrobial activities.</p>","PeriodicalId":19531,"journal":{"name":"Open Veterinary Journal","volume":"15 6","pages":"2729-2749"},"PeriodicalIF":1.0000,"publicationDate":"2025-06-01","publicationTypes":"Journal Article","fieldsOfStudy":null,"isOpenAccess":false,"openAccessPdf":"https://www.ncbi.nlm.nih.gov/pmc/articles/PMC12451178/pdf/","citationCount":"0","resultStr":"{\"title\":\"Synergistic effects of garlic powder and probiotics on production and growth performance parameters in broiler challenged with coccidia.\",\"authors\":\"Azhar Eltanahy, Dima Alkadri, Mohamed Alaaeldein Elmorsy, Huda A El-Emam, Nahed A El-Shall, Bassem Elmishmishy, Asmaa Elsayyad, Gehad A Ezzat, Marwa A El-Beltagy, Mohamed Shaalan, Radwa R Elzwahary, Ahmed I El Sheikh, Ahmed M Abdellatif\",\"doi\":\"10.5455/OVJ.2025.v15.i6.42\",\"DOIUrl\":null,\"url\":null,\"abstract\":\"<p><strong>Background: </strong>Coccidial intestinal infection induces significant economic losses in the production of birds. It also constitutes a major hazard of drug residues to meat consumers if the coccidia is controlled using anticoccidial drugs.</p><p><strong>Aim: </strong>This study aimed to assess the impact of dietary garlic as a natural alternative with or without probiotics compared to the anticoccidial drug against <i>Eimeria</i> infection of broilers.</p><p><strong>Methods: </strong>Growth rate, carcass dressing, blood metabolites, meat quality, intestinal histomorphology, oocyst shedding, and gene expression were assessed. A total of 150 one-day-old Ross broiler chicks were divided into five groups: NC, negative control; PC, positive control; AC, anticoccidial drug; GR, garlic; GR-P, garlic plus probiotics. The coccidia challenge was conducted for all experimental groups except NC.</p><p><strong>Results: </strong>PC birds showed a significantly lower weight gain and worse feed conversion ratio compared to the NC birds. The GR-P and AC groups revealed comparable results regarding WG and were significantly higher than the GR and PC groups. In comparison to the PC, AC, and GR-P groups, the GR group exhibited significantly decreased cecal lesion score, mortality rate, and oocyst shedding. GR-P improved carcass traits compared to other groups. GR-P and GR-P showed the highest scores for appearance, juiciness, tenderness, and the overall acceptability of breast meat. GR-P, GR, and AC reduced breast meat PH, Thiobarbituric acid reactive substances (TBARSs), fat, and ash compared to PC. AC, GR, and GR-P significantly increased jejunal and cecal villus length and crypt depth. Improvements in blood parameters were seen in the AC, GR, and GR-P groups rather than in the PC group. The coccidia challenge significantly induced changes in gene expression levels, while the three additives mainly reversed their expression.</p><p><strong>Conclusion: </strong>The present study reported a promising role of garlic-probiotics dietary supplements in broiler chickens' growth performance during coccidiosis due to their antioxidant, anticoccidial, and antimicrobial activities.</p>\",\"PeriodicalId\":19531,\"journal\":{\"name\":\"Open Veterinary Journal\",\"volume\":\"15 6\",\"pages\":\"2729-2749\"},\"PeriodicalIF\":1.0000,\"publicationDate\":\"2025-06-01\",\"publicationTypes\":\"Journal Article\",\"fieldsOfStudy\":null,\"isOpenAccess\":false,\"openAccessPdf\":\"https://www.ncbi.nlm.nih.gov/pmc/articles/PMC12451178/pdf/\",\"citationCount\":\"0\",\"resultStr\":null,\"platform\":\"Semanticscholar\",\"paperid\":null,\"PeriodicalName\":\"Open Veterinary Journal\",\"FirstCategoryId\":\"1085\",\"ListUrlMain\":\"https://doi.org/10.5455/OVJ.2025.v15.i6.42\",\"RegionNum\":0,\"RegionCategory\":null,\"ArticlePicture\":[],\"TitleCN\":null,\"AbstractTextCN\":null,\"PMCID\":null,\"EPubDate\":\"2025/6/30 0:00:00\",\"PubModel\":\"Epub\",\"JCR\":\"Q3\",\"JCRName\":\"VETERINARY SCIENCES\",\"Score\":null,\"Total\":0}","platform":"Semanticscholar","paperid":null,"PeriodicalName":"Open Veterinary Journal","FirstCategoryId":"1085","ListUrlMain":"https://doi.org/10.5455/OVJ.2025.v15.i6.42","RegionNum":0,"RegionCategory":null,"ArticlePicture":[],"TitleCN":null,"AbstractTextCN":null,"PMCID":null,"EPubDate":"2025/6/30 0:00:00","PubModel":"Epub","JCR":"Q3","JCRName":"VETERINARY SCIENCES","Score":null,"Total":0}
引用次数: 0

摘要

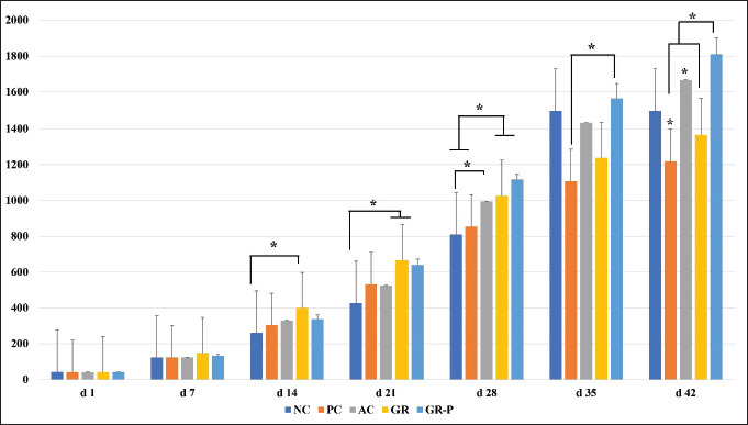
背景:球虫肠道感染对禽类生产造成重大经济损失。如果使用抗球虫药物控制球虫,对肉类消费者也构成药物残留的主要危害。目的:本研究旨在评估在饲粮中添加或不添加益生菌与抗球虫药物对肉鸡艾美耳球虫感染的影响。方法:评估生长速度、胴体屠宰、血液代谢产物、肉质、肠道组织形态学、卵囊脱落和基因表达。选取150只1日龄罗斯肉鸡,分为5组:阴性对照组;PC,阳性控制;AC,抗球虫药物;GR、大蒜;大蒜加益生菌。除NC组外,其余试验组均进行球虫攻毒。结果:与NC组相比,PC组的增重明显低于NC组,饲料转化率更差。GR- p组和AC组在WG方面的结果相当,显著高于GR和PC组。与PC、AC和GR- p组相比,GR组盲肠病变评分、死亡率和卵囊脱落明显降低。与其他组相比,GR-P改善了胴体性状。GR-P和GR-P在胸脯肉的外观、多汁性、嫩度和总体可接受性方面得分最高。与PC相比,GR- p、GR和AC降低了胸肉的PH值、硫代巴比妥酸活性物质(tbars)、脂肪和灰分。AC、GR和GR- p显著增加空肠和盲肠绒毛长度和隐窝深度。与PC组相比,AC组、GR组和GR- p组的血液参数有所改善。球虫攻毒显著诱导了基因表达水平的变化,而三种添加剂主要逆转了基因表达水平。结论:大蒜益生菌饲粮添加剂具有抗氧化、抗球虫和抗菌活性,对肉鸡球虫病期间的生长性能有良好的影响。
本文章由计算机程序翻译,如有差异,请以英文原文为准。

Synergistic effects of garlic powder and probiotics on production and growth performance parameters in broiler challenged with coccidia.

Synergistic effects of garlic powder and probiotics on production and growth performance parameters in broiler challenged with coccidia.

Synergistic effects of garlic powder and probiotics on production and growth performance parameters in broiler challenged with coccidia.

Synergistic effects of garlic powder and probiotics on production and growth performance parameters in broiler challenged with coccidia.

Background: Coccidial intestinal infection induces significant economic losses in the production of birds. It also constitutes a major hazard of drug residues to meat consumers if the coccidia is controlled using anticoccidial drugs.

Aim: This study aimed to assess the impact of dietary garlic as a natural alternative with or without probiotics compared to the anticoccidial drug against Eimeria infection of broilers.

Methods: Growth rate, carcass dressing, blood metabolites, meat quality, intestinal histomorphology, oocyst shedding, and gene expression were assessed. A total of 150 one-day-old Ross broiler chicks were divided into five groups: NC, negative control; PC, positive control; AC, anticoccidial drug; GR, garlic; GR-P, garlic plus probiotics. The coccidia challenge was conducted for all experimental groups except NC.

Results: PC birds showed a significantly lower weight gain and worse feed conversion ratio compared to the NC birds. The GR-P and AC groups revealed comparable results regarding WG and were significantly higher than the GR and PC groups. In comparison to the PC, AC, and GR-P groups, the GR group exhibited significantly decreased cecal lesion score, mortality rate, and oocyst shedding. GR-P improved carcass traits compared to other groups. GR-P and GR-P showed the highest scores for appearance, juiciness, tenderness, and the overall acceptability of breast meat. GR-P, GR, and AC reduced breast meat PH, Thiobarbituric acid reactive substances (TBARSs), fat, and ash compared to PC. AC, GR, and GR-P significantly increased jejunal and cecal villus length and crypt depth. Improvements in blood parameters were seen in the AC, GR, and GR-P groups rather than in the PC group. The coccidia challenge significantly induced changes in gene expression levels, while the three additives mainly reversed their expression.

Conclusion: The present study reported a promising role of garlic-probiotics dietary supplements in broiler chickens' growth performance during coccidiosis due to their antioxidant, anticoccidial, and antimicrobial activities.

求助全文
通过发布文献求助,成功后即可免费获取论文全文。 去求助
来源期刊
Open Veterinary Journal
Open Veterinary Journal VETERINARY SCIENCES-
CiteScore
1.40
自引率
0.00%
发文量
112
审稿时长
12 weeks
期刊介绍: Open Veterinary Journal is a peer-reviewed international open access online and printed journal that publishes high-quality original research articles. reviews, short communications and case reports dedicated to all aspects of veterinary sciences and its related subjects. Research areas include the following: Infectious diseases of zoonotic/food-borne importance, applied biochemistry, parasitology, endocrinology, microbiology, immunology, pathology, pharmacology, physiology, epidemiology, molecular biology, immunogenetics, surgery, ophthalmology, dermatology, oncology and animal reproduction. All papers are peer-reviewed. Moreover, with the presence of well-qualified group of international referees, the process of publication will be done meticulously and to the highest standards.
×
引用
GB/T 7714-2015
复制
MLA
复制
APA
复制
导出至
BibTeX EndNote RefMan NoteFirst NoteExpress
×
提示
您的信息不完整,为了账户安全,请先补充。
现在去补充
×
提示
您因"违规操作"
具体请查看互助需知
我知道了
×
提示
确定
请完成安全验证×
copy
已复制链接
快去分享给好友吧!
我知道了
右上角分享
点击右上角分享
0
联系我们:info@booksci.cn Book学术提供免费学术资源搜索服务,方便国内外学者检索中英文文献。致力于提供最便捷和优质的服务体验。 Copyright © 2023 布克学术 All rights reserved.
京ICP备2023020795号-1
ghs 京公网安备 11010802042870号
Book学术文献互助
Book学术文献互助群
群 号:604180095
Book学术官方微信