秘鲁南部高地克里奥尔山羊的表型特征:迈向可持续利用被遗忘的动物遗传资源的第一步。

IF 1 Q3 VETERINARY SCIENCES
Open Veterinary Journal Pub Date : 2025-06-01 Epub Date: 2025-06-30 DOI:10.5455/OVJ.2025.v15.i6.9
Emmanuel Alexander Sessarego, David Godoy-Padilla, Yolvi Lopez Mendoza, Juancarlos Cruz-Luis
{"title":"秘鲁南部高地克里奥尔山羊的表型特征:迈向可持续利用被遗忘的动物遗传资源的第一步。","authors":"Emmanuel Alexander Sessarego, David Godoy-Padilla, Yolvi Lopez Mendoza, Juancarlos Cruz-Luis","doi":"10.5455/OVJ.2025.v15.i6.9","DOIUrl":null,"url":null,"abstract":"<p><strong>Background: </strong>Five hundred years ago, goats were introduced to Peru, and since then, they have adapted to different climatic conditions, giving rise to the Creole goat, characterized by showing greater rusticity and better quality in both milk and meat than specialized breeds.</p><p><strong>Aim: </strong>This study aimed to describe the phenotype of the Creole goat in the Highlands of Chincha province, Ica.</p><p><strong>Methods: </strong>A total of 146 females aged >2 years without signs of crossbreeding with specialized breeds from the districts of San Juan de Yanac, San Pedro de Huacarpana, and Chavin were evaluated. Six phaneroptic characteristics, nine morphometric characteristics, and nine zoometric indices were registered. Tables and bar graphs were prepared. The chi-square test was performed to determine the association between districts and phaneroptic variables, ANOVA to identify differences between districts, correlation coefficients to evaluate morphostructural harmonicity, and multiple regression analysis to predict the live weight of animals.</p><p><strong>Results: </strong>Of the goats, 61.6% had a spotted coat, 59.6% had no beard, 75.3% had horns, 57.5% had parallel teats, 90.4% had no wattles, and 80.8% had the correct number of teats, showing an association between district and absence/ presence of beard (<i>p</i> = 0.001). All morphometric parameters and zoometric indices were homogeneous within each district, with differences between districts (<i>p</i> < 0.05).</p><p><strong>Conclusion: </strong>The Creole goat of the high Andean area of Chincha is characterized by presenting a high morphostructural harmony, being medium to large in size, brevilineal, convexilinear and having a productive aptitude with a tendency to double purpose.</p>","PeriodicalId":19531,"journal":{"name":"Open Veterinary Journal","volume":"15 6","pages":"2365-2373"},"PeriodicalIF":1.0000,"publicationDate":"2025-06-01","publicationTypes":"Journal Article","fieldsOfStudy":null,"isOpenAccess":false,"openAccessPdf":"https://www.ncbi.nlm.nih.gov/pmc/articles/PMC12451117/pdf/","citationCount":"0","resultStr":"{\"title\":\"Phenotypic characterization of the Creole goat in the Southern Highlands of Peru: A first step toward the sustainable use of a forgotten zoogenetic resource.\",\"authors\":\"Emmanuel Alexander Sessarego, David Godoy-Padilla, Yolvi Lopez Mendoza, Juancarlos Cruz-Luis\",\"doi\":\"10.5455/OVJ.2025.v15.i6.9\",\"DOIUrl\":null,\"url\":null,\"abstract\":\"<p><strong>Background: </strong>Five hundred years ago, goats were introduced to Peru, and since then, they have adapted to different climatic conditions, giving rise to the Creole goat, characterized by showing greater rusticity and better quality in both milk and meat than specialized breeds.</p><p><strong>Aim: </strong>This study aimed to describe the phenotype of the Creole goat in the Highlands of Chincha province, Ica.</p><p><strong>Methods: </strong>A total of 146 females aged >2 years without signs of crossbreeding with specialized breeds from the districts of San Juan de Yanac, San Pedro de Huacarpana, and Chavin were evaluated. Six phaneroptic characteristics, nine morphometric characteristics, and nine zoometric indices were registered. Tables and bar graphs were prepared. The chi-square test was performed to determine the association between districts and phaneroptic variables, ANOVA to identify differences between districts, correlation coefficients to evaluate morphostructural harmonicity, and multiple regression analysis to predict the live weight of animals.</p><p><strong>Results: </strong>Of the goats, 61.6% had a spotted coat, 59.6% had no beard, 75.3% had horns, 57.5% had parallel teats, 90.4% had no wattles, and 80.8% had the correct number of teats, showing an association between district and absence/ presence of beard (<i>p</i> = 0.001). All morphometric parameters and zoometric indices were homogeneous within each district, with differences between districts (<i>p</i> < 0.05).</p><p><strong>Conclusion: </strong>The Creole goat of the high Andean area of Chincha is characterized by presenting a high morphostructural harmony, being medium to large in size, brevilineal, convexilinear and having a productive aptitude with a tendency to double purpose.</p>\",\"PeriodicalId\":19531,\"journal\":{\"name\":\"Open Veterinary Journal\",\"volume\":\"15 6\",\"pages\":\"2365-2373\"},\"PeriodicalIF\":1.0000,\"publicationDate\":\"2025-06-01\",\"publicationTypes\":\"Journal Article\",\"fieldsOfStudy\":null,\"isOpenAccess\":false,\"openAccessPdf\":\"https://www.ncbi.nlm.nih.gov/pmc/articles/PMC12451117/pdf/\",\"citationCount\":\"0\",\"resultStr\":null,\"platform\":\"Semanticscholar\",\"paperid\":null,\"PeriodicalName\":\"Open Veterinary Journal\",\"FirstCategoryId\":\"1085\",\"ListUrlMain\":\"https://doi.org/10.5455/OVJ.2025.v15.i6.9\",\"RegionNum\":0,\"RegionCategory\":null,\"ArticlePicture\":[],\"TitleCN\":null,\"AbstractTextCN\":null,\"PMCID\":null,\"EPubDate\":\"2025/6/30 0:00:00\",\"PubModel\":\"Epub\",\"JCR\":\"Q3\",\"JCRName\":\"VETERINARY SCIENCES\",\"Score\":null,\"Total\":0}","platform":"Semanticscholar","paperid":null,"PeriodicalName":"Open Veterinary Journal","FirstCategoryId":"1085","ListUrlMain":"https://doi.org/10.5455/OVJ.2025.v15.i6.9","RegionNum":0,"RegionCategory":null,"ArticlePicture":[],"TitleCN":null,"AbstractTextCN":null,"PMCID":null,"EPubDate":"2025/6/30 0:00:00","PubModel":"Epub","JCR":"Q3","JCRName":"VETERINARY SCIENCES","Score":null,"Total":0}
引用次数: 0

摘要

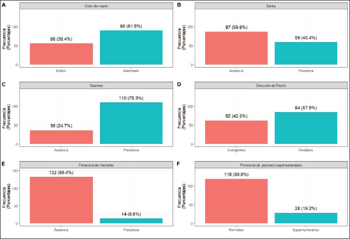
背景:500年前,山羊被引入秘鲁,从那时起,它们适应了不同的气候条件,产生了克里奥尔山羊,其特点是比专门品种表现出更大的质朴性和更好的奶和肉质量。目的:本研究旨在描述中国钦查省高地克里奥尔山羊的表型。方法:选取圣胡安·德·雅纳克、圣佩德罗·德·瓦卡帕纳和查文3个县的146只bb0 ~ 2岁母犬,并对其与专种杂交的迹象进行评价。记录了6项显光学特征、9项形态计量特征和9项动物计量指标。制作了表格和条形图。采用卡方检验确定地区与表观变量之间的相关性,方差分析确定地区之间的差异,相关系数评估形态结构一致性,多元回归分析预测动物活重。结果:61.6%的山羊被毛有斑点,59.6%的山羊无胡须,75.3%的山羊有角,57.5%的山羊乳头平行,90.4%的山羊没有垂垂,80.8%的山羊乳头数目正确,表明地区与有无胡须之间存在相关性(p = 0.001)。各区域内形态计量参数和动物计量指标均较均匀,区域间差异显著(p < 0.05)。结论:Chincha高安第斯地区的克里奥尔山羊具有形态结构高度和谐,体型中大型,短小,凸线性,具有生产能力和双重目的倾向的特点。
本文章由计算机程序翻译,如有差异,请以英文原文为准。

Phenotypic characterization of the Creole goat in the Southern Highlands of Peru: A first step toward the sustainable use of a forgotten zoogenetic resource.

Phenotypic characterization of the Creole goat in the Southern Highlands of Peru: A first step toward the sustainable use of a forgotten zoogenetic resource.

Phenotypic characterization of the Creole goat in the Southern Highlands of Peru: A first step toward the sustainable use of a forgotten zoogenetic resource.

Phenotypic characterization of the Creole goat in the Southern Highlands of Peru: A first step toward the sustainable use of a forgotten zoogenetic resource.

Background: Five hundred years ago, goats were introduced to Peru, and since then, they have adapted to different climatic conditions, giving rise to the Creole goat, characterized by showing greater rusticity and better quality in both milk and meat than specialized breeds.

Aim: This study aimed to describe the phenotype of the Creole goat in the Highlands of Chincha province, Ica.

Methods: A total of 146 females aged >2 years without signs of crossbreeding with specialized breeds from the districts of San Juan de Yanac, San Pedro de Huacarpana, and Chavin were evaluated. Six phaneroptic characteristics, nine morphometric characteristics, and nine zoometric indices were registered. Tables and bar graphs were prepared. The chi-square test was performed to determine the association between districts and phaneroptic variables, ANOVA to identify differences between districts, correlation coefficients to evaluate morphostructural harmonicity, and multiple regression analysis to predict the live weight of animals.

Results: Of the goats, 61.6% had a spotted coat, 59.6% had no beard, 75.3% had horns, 57.5% had parallel teats, 90.4% had no wattles, and 80.8% had the correct number of teats, showing an association between district and absence/ presence of beard (p = 0.001). All morphometric parameters and zoometric indices were homogeneous within each district, with differences between districts (p < 0.05).

Conclusion: The Creole goat of the high Andean area of Chincha is characterized by presenting a high morphostructural harmony, being medium to large in size, brevilineal, convexilinear and having a productive aptitude with a tendency to double purpose.

求助全文
通过发布文献求助,成功后即可免费获取论文全文。 去求助
来源期刊
Open Veterinary Journal
Open Veterinary Journal VETERINARY SCIENCES-
CiteScore
1.40
自引率
0.00%
发文量
112
审稿时长
12 weeks
期刊介绍: Open Veterinary Journal is a peer-reviewed international open access online and printed journal that publishes high-quality original research articles. reviews, short communications and case reports dedicated to all aspects of veterinary sciences and its related subjects. Research areas include the following: Infectious diseases of zoonotic/food-borne importance, applied biochemistry, parasitology, endocrinology, microbiology, immunology, pathology, pharmacology, physiology, epidemiology, molecular biology, immunogenetics, surgery, ophthalmology, dermatology, oncology and animal reproduction. All papers are peer-reviewed. Moreover, with the presence of well-qualified group of international referees, the process of publication will be done meticulously and to the highest standards.
×
引用
GB/T 7714-2015
复制
MLA
复制
APA
复制
导出至
BibTeX EndNote RefMan NoteFirst NoteExpress
×
提示
您的信息不完整,为了账户安全,请先补充。
现在去补充
×
提示
您因"违规操作"
具体请查看互助需知
我知道了
×
提示
确定
请完成安全验证×
copy
已复制链接
快去分享给好友吧!
我知道了
右上角分享
点击右上角分享
0
联系我们:info@booksci.cn Book学术提供免费学术资源搜索服务,方便国内外学者检索中英文文献。致力于提供最便捷和优质的服务体验。 Copyright © 2023 布克学术 All rights reserved.
京ICP备2023020795号-1
ghs 京公网安备 11010802042870号
Book学术文献互助
Book学术文献互助群
群 号:604180095
Book学术官方微信