脐带的功能性分流:盘绕在溶质和热量传递中的作用。

IF 3.5 2区 综合性期刊 Q1 MULTIDISCIPLINARY SCIENCES
Journal of The Royal Society Interface Pub Date : 2025-09-01 Epub Date: 2025-09-24 DOI:10.1098/rsif.2025.0148
Tianran Wan, Edward D Johnstone, Shier Nee Saw, Oliver E Jensen, Igor L Chernyavsky
{"title":"脐带的功能性分流:盘绕在溶质和热量传递中的作用。","authors":"Tianran Wan, Edward D Johnstone, Shier Nee Saw, Oliver E Jensen, Igor L Chernyavsky","doi":"10.1098/rsif.2025.0148","DOIUrl":null,"url":null,"abstract":"<p><p>The umbilical cord plays a critical role in delivering nutrients and oxygen from the placenta to the fetus through the umbilical vein, while the two umbilical arteries carry deoxygenated blood with waste products back to the placenta. Although solute exchange in the placenta has been extensively studied, exchange within the cord tissue has not been investigated. Here, we explore the hypothesis that the coiled structure of the umbilical cord could strengthen diffusive coupling between the arteries and the vein, resulting in a functional shunt. We calculate the diffusion of solutes, such as oxygen, and heat in the umbilical cord to quantify how this shunt is affected by vascular configuration within the cord. We demonstrate that the shunt is enhanced by coiling and vessel proximity. Furthermore, our model predicts that typical vascular configurations of the human cord tend to minimize shunting, which could otherwise disrupt thermal regulation of the fetus. We also show that the exchange, amplified by coiling, can provide additional oxygen supply to the cord tissue surrounding the umbilical vessels.</p>","PeriodicalId":17488,"journal":{"name":"Journal of The Royal Society Interface","volume":"22 230","pages":"20250148"},"PeriodicalIF":3.5000,"publicationDate":"2025-09-01","publicationTypes":"Journal Article","fieldsOfStudy":null,"isOpenAccess":false,"openAccessPdf":"https://www.ncbi.nlm.nih.gov/pmc/articles/PMC12457040/pdf/","citationCount":"0","resultStr":"{\"title\":\"A functional shunt in the umbilical cord: the role of coiling in solute and heat transfer.\",\"authors\":\"Tianran Wan, Edward D Johnstone, Shier Nee Saw, Oliver E Jensen, Igor L Chernyavsky\",\"doi\":\"10.1098/rsif.2025.0148\",\"DOIUrl\":null,\"url\":null,\"abstract\":\"<p><p>The umbilical cord plays a critical role in delivering nutrients and oxygen from the placenta to the fetus through the umbilical vein, while the two umbilical arteries carry deoxygenated blood with waste products back to the placenta. Although solute exchange in the placenta has been extensively studied, exchange within the cord tissue has not been investigated. Here, we explore the hypothesis that the coiled structure of the umbilical cord could strengthen diffusive coupling between the arteries and the vein, resulting in a functional shunt. We calculate the diffusion of solutes, such as oxygen, and heat in the umbilical cord to quantify how this shunt is affected by vascular configuration within the cord. We demonstrate that the shunt is enhanced by coiling and vessel proximity. Furthermore, our model predicts that typical vascular configurations of the human cord tend to minimize shunting, which could otherwise disrupt thermal regulation of the fetus. We also show that the exchange, amplified by coiling, can provide additional oxygen supply to the cord tissue surrounding the umbilical vessels.</p>\",\"PeriodicalId\":17488,\"journal\":{\"name\":\"Journal of The Royal Society Interface\",\"volume\":\"22 230\",\"pages\":\"20250148\"},\"PeriodicalIF\":3.5000,\"publicationDate\":\"2025-09-01\",\"publicationTypes\":\"Journal Article\",\"fieldsOfStudy\":null,\"isOpenAccess\":false,\"openAccessPdf\":\"https://www.ncbi.nlm.nih.gov/pmc/articles/PMC12457040/pdf/\",\"citationCount\":\"0\",\"resultStr\":null,\"platform\":\"Semanticscholar\",\"paperid\":null,\"PeriodicalName\":\"Journal of The Royal Society Interface\",\"FirstCategoryId\":\"103\",\"ListUrlMain\":\"https://doi.org/10.1098/rsif.2025.0148\",\"RegionNum\":2,\"RegionCategory\":\"综合性期刊\",\"ArticlePicture\":[],\"TitleCN\":null,\"AbstractTextCN\":null,\"PMCID\":null,\"EPubDate\":\"2025/9/24 0:00:00\",\"PubModel\":\"Epub\",\"JCR\":\"Q1\",\"JCRName\":\"MULTIDISCIPLINARY SCIENCES\",\"Score\":null,\"Total\":0}","platform":"Semanticscholar","paperid":null,"PeriodicalName":"Journal of The Royal Society Interface","FirstCategoryId":"103","ListUrlMain":"https://doi.org/10.1098/rsif.2025.0148","RegionNum":2,"RegionCategory":"综合性期刊","ArticlePicture":[],"TitleCN":null,"AbstractTextCN":null,"PMCID":null,"EPubDate":"2025/9/24 0:00:00","PubModel":"Epub","JCR":"Q1","JCRName":"MULTIDISCIPLINARY SCIENCES","Score":null,"Total":0}
引用次数: 0

摘要

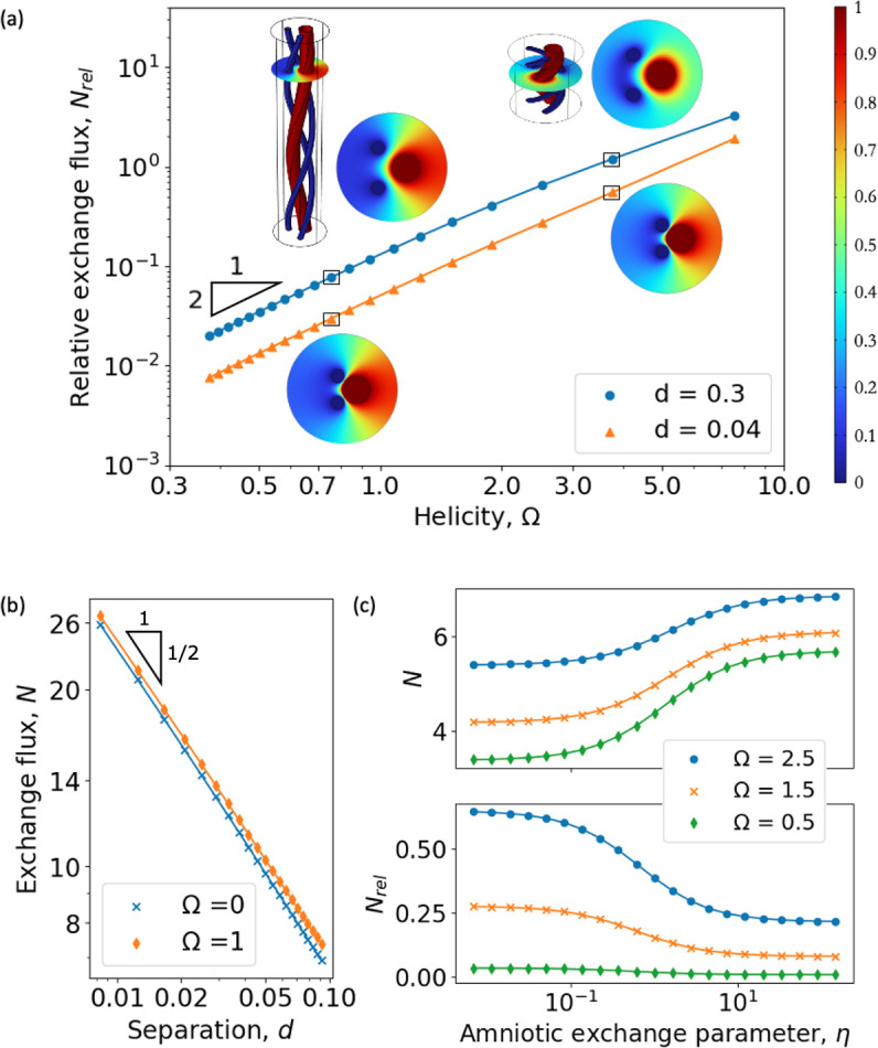
脐带在将营养物质和氧气从胎盘通过脐静脉输送给胎儿方面起着至关重要的作用,而脐带的两条动脉则将含废物的缺氧血液运送回胎盘。虽然溶质交换在胎盘中已被广泛研究,但脐带组织内的交换尚未被调查。在这里,我们探讨了一个假设,即脐带的卷曲结构可以加强动脉和静脉之间的弥漫性耦合,从而导致功能性分流。我们计算了溶质的扩散,例如氧气和热量在脐带中,以量化脐带内血管结构如何影响这种分流。我们证明,分流是加强线圈和血管接近。此外,我们的模型预测,人类脐带的典型血管结构倾向于尽量减少分流,否则可能会破坏胎儿的热调节。我们还表明,这种交换,通过盘绕放大,可以为脐带血管周围的脐带组织提供额外的氧气供应。
本文章由计算机程序翻译,如有差异,请以英文原文为准。

A functional shunt in the umbilical cord: the role of coiling in solute and heat transfer.

A functional shunt in the umbilical cord: the role of coiling in solute and heat transfer.

A functional shunt in the umbilical cord: the role of coiling in solute and heat transfer.

A functional shunt in the umbilical cord: the role of coiling in solute and heat transfer.

The umbilical cord plays a critical role in delivering nutrients and oxygen from the placenta to the fetus through the umbilical vein, while the two umbilical arteries carry deoxygenated blood with waste products back to the placenta. Although solute exchange in the placenta has been extensively studied, exchange within the cord tissue has not been investigated. Here, we explore the hypothesis that the coiled structure of the umbilical cord could strengthen diffusive coupling between the arteries and the vein, resulting in a functional shunt. We calculate the diffusion of solutes, such as oxygen, and heat in the umbilical cord to quantify how this shunt is affected by vascular configuration within the cord. We demonstrate that the shunt is enhanced by coiling and vessel proximity. Furthermore, our model predicts that typical vascular configurations of the human cord tend to minimize shunting, which could otherwise disrupt thermal regulation of the fetus. We also show that the exchange, amplified by coiling, can provide additional oxygen supply to the cord tissue surrounding the umbilical vessels.

求助全文
通过发布文献求助,成功后即可免费获取论文全文。 去求助
来源期刊
Journal of The Royal Society Interface
Journal of The Royal Society Interface 综合性期刊-综合性期刊
CiteScore
7.10
自引率
2.60%
发文量
234
审稿时长
2.5 months
期刊介绍: J. R. Soc. Interface welcomes articles of high quality research at the interface of the physical and life sciences. It provides a high-quality forum to publish rapidly and interact across this boundary in two main ways: J. R. Soc. Interface publishes research applying chemistry, engineering, materials science, mathematics and physics to the biological and medical sciences; it also highlights discoveries in the life sciences of relevance to the physical sciences. Both sides of the interface are considered equally and it is one of the only journals to cover this exciting new territory. J. R. Soc. Interface welcomes contributions on a diverse range of topics, including but not limited to; biocomplexity, bioengineering, bioinformatics, biomaterials, biomechanics, bionanoscience, biophysics, chemical biology, computer science (as applied to the life sciences), medical physics, synthetic biology, systems biology, theoretical biology and tissue engineering.
×
引用
GB/T 7714-2015
复制
MLA
复制
APA
复制
导出至
BibTeX EndNote RefMan NoteFirst NoteExpress
×
提示
您的信息不完整,为了账户安全,请先补充。
现在去补充
×
提示
您因"违规操作"
具体请查看互助需知
我知道了
×
提示
确定
请完成安全验证×
copy
已复制链接
快去分享给好友吧!
我知道了
右上角分享
点击右上角分享
0
联系我们:info@booksci.cn Book学术提供免费学术资源搜索服务,方便国内外学者检索中英文文献。致力于提供最便捷和优质的服务体验。 Copyright © 2023 布克学术 All rights reserved.
京ICP备2023020795号-1
ghs 京公网安备 11010802042870号
Book学术文献互助
Book学术文献互助群
群 号:604180095
Book学术官方微信