固定剂量与松散剂量联合降糖治疗和2型糖尿病的心肾结局:一项全国性的比较疗效研究

IF 10.6 1区 医学 Q1 CARDIAC & CARDIOVASCULAR SYSTEMS
Qiaoling Liu, Paul Welsh, Carlos Celis-Morales, Jennifer S Lees, Patrick B Mark, Laura Pazzagli
{"title":"固定剂量与松散剂量联合降糖治疗和2型糖尿病的心肾结局:一项全国性的比较疗效研究","authors":"Qiaoling Liu, Paul Welsh, Carlos Celis-Morales, Jennifer S Lees, Patrick B Mark, Laura Pazzagli","doi":"10.1186/s12933-025-02936-w","DOIUrl":null,"url":null,"abstract":"<p><strong>Background: </strong>Combination therapy is gaining attention in type 2 diabetes management due to its potential to reach glycaemic goals within a shorter period. However, the long-term comparative cardiorenal effectiveness of fixed- versus loose-dose combinations remains unclear. This study aimed to assess whether oral antidiabetic fixed-dose combination (FDC) therapy is associated with improved cardiorenal outcomes in adults with type 2 diabetes compared with loose-dose combination (LDC) therapy. A secondary objective was to evaluate the mediating role of medication adherence in these associations.</p><p><strong>Methods: </strong>This population-based, new-user, active-comparator cohort study used Swedish national registers. Propensity score matching without replacement was applied. Study outcomes included acute myocardial infarction, atrial fibrillation, unstable angina, heart failure, ischaemic stroke, and eGFR < 30 ml/min/1.73m<sup>2</sup>. Associations with cardiorenal outcomes were assessed using Cox regression. Adherence was defined as the proportion of days covered > 80% during the first year.</p><p><strong>Results: </strong>The median follow-up time was 4.0 years for cardiovascular outcomes and 3.8 years for kidney outcomes. In the matched cohort (mean age 62 years; 67% male), FDC users had higher treatment adherence (68.6 vs. 46.5%). FDC was associated with a lower rate of heart failure (HR = 0.88; 95% CI 0.79, 0.99), with adherence mediating 47% of this association. In people aged ≥ 65 years, FDC was associated with a lower rate of heart failure (HR = 0.79; 95% CI 0.69, 0.91). The observed association was attenuated with further matching for diabetes duration or when drugs were matched at the ATC code level. No associations between FDC use and other outcomes were identified.</p><p><strong>Conclusions: </strong>FDC therapy in people with type 2 diabetes was associated with a lower rate of heart failure, particularly in older adults. Higher medication adherence appeared to mediate nearly half of this association.</p>","PeriodicalId":9374,"journal":{"name":"Cardiovascular Diabetology","volume":"24 1","pages":"365"},"PeriodicalIF":10.6000,"publicationDate":"2025-09-23","publicationTypes":"Journal Article","fieldsOfStudy":null,"isOpenAccess":false,"openAccessPdf":"https://www.ncbi.nlm.nih.gov/pmc/articles/PMC12455815/pdf/","citationCount":"0","resultStr":"{\"title\":\"Fixed-dose vs loose-dose combination antidiabetic therapy and cardiorenal outcomes in type 2 diabetes: a nationwide comparative effectiveness study.\",\"authors\":\"Qiaoling Liu, Paul Welsh, Carlos Celis-Morales, Jennifer S Lees, Patrick B Mark, Laura Pazzagli\",\"doi\":\"10.1186/s12933-025-02936-w\",\"DOIUrl\":null,\"url\":null,\"abstract\":\"<p><strong>Background: </strong>Combination therapy is gaining attention in type 2 diabetes management due to its potential to reach glycaemic goals within a shorter period. However, the long-term comparative cardiorenal effectiveness of fixed- versus loose-dose combinations remains unclear. This study aimed to assess whether oral antidiabetic fixed-dose combination (FDC) therapy is associated with improved cardiorenal outcomes in adults with type 2 diabetes compared with loose-dose combination (LDC) therapy. A secondary objective was to evaluate the mediating role of medication adherence in these associations.</p><p><strong>Methods: </strong>This population-based, new-user, active-comparator cohort study used Swedish national registers. Propensity score matching without replacement was applied. Study outcomes included acute myocardial infarction, atrial fibrillation, unstable angina, heart failure, ischaemic stroke, and eGFR < 30 ml/min/1.73m<sup>2</sup>. Associations with cardiorenal outcomes were assessed using Cox regression. Adherence was defined as the proportion of days covered > 80% during the first year.</p><p><strong>Results: </strong>The median follow-up time was 4.0 years for cardiovascular outcomes and 3.8 years for kidney outcomes. In the matched cohort (mean age 62 years; 67% male), FDC users had higher treatment adherence (68.6 vs. 46.5%). FDC was associated with a lower rate of heart failure (HR = 0.88; 95% CI 0.79, 0.99), with adherence mediating 47% of this association. In people aged ≥ 65 years, FDC was associated with a lower rate of heart failure (HR = 0.79; 95% CI 0.69, 0.91). The observed association was attenuated with further matching for diabetes duration or when drugs were matched at the ATC code level. No associations between FDC use and other outcomes were identified.</p><p><strong>Conclusions: </strong>FDC therapy in people with type 2 diabetes was associated with a lower rate of heart failure, particularly in older adults. Higher medication adherence appeared to mediate nearly half of this association.</p>\",\"PeriodicalId\":9374,\"journal\":{\"name\":\"Cardiovascular Diabetology\",\"volume\":\"24 1\",\"pages\":\"365\"},\"PeriodicalIF\":10.6000,\"publicationDate\":\"2025-09-23\",\"publicationTypes\":\"Journal Article\",\"fieldsOfStudy\":null,\"isOpenAccess\":false,\"openAccessPdf\":\"https://www.ncbi.nlm.nih.gov/pmc/articles/PMC12455815/pdf/\",\"citationCount\":\"0\",\"resultStr\":null,\"platform\":\"Semanticscholar\",\"paperid\":null,\"PeriodicalName\":\"Cardiovascular Diabetology\",\"FirstCategoryId\":\"3\",\"ListUrlMain\":\"https://doi.org/10.1186/s12933-025-02936-w\",\"RegionNum\":1,\"RegionCategory\":\"医学\",\"ArticlePicture\":[],\"TitleCN\":null,\"AbstractTextCN\":null,\"PMCID\":null,\"EPubDate\":\"\",\"PubModel\":\"\",\"JCR\":\"Q1\",\"JCRName\":\"CARDIAC & CARDIOVASCULAR SYSTEMS\",\"Score\":null,\"Total\":0}","platform":"Semanticscholar","paperid":null,"PeriodicalName":"Cardiovascular Diabetology","FirstCategoryId":"3","ListUrlMain":"https://doi.org/10.1186/s12933-025-02936-w","RegionNum":1,"RegionCategory":"医学","ArticlePicture":[],"TitleCN":null,"AbstractTextCN":null,"PMCID":null,"EPubDate":"","PubModel":"","JCR":"Q1","JCRName":"CARDIAC & CARDIOVASCULAR SYSTEMS","Score":null,"Total":0}
引用次数: 0

摘要

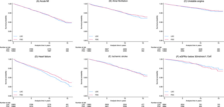
背景:联合治疗在2型糖尿病治疗中越来越受到关注,因为它有可能在较短的时间内达到血糖目标。然而,长期比较固定剂量与松散剂量组合的心肾疗效仍不清楚。本研究旨在评估口服抗糖尿病固定剂量联合(FDC)治疗与松散剂量联合(LDC)治疗相比,是否能改善成人2型糖尿病患者的心肾预后。第二个目的是评估药物依从性在这些关联中的中介作用。方法:这项基于人群、新用户、活跃比较者队列研究使用了瑞典国家登记册。采用不替换的倾向评分匹配。研究结果包括急性心肌梗死、心房颤动、不稳定型心绞痛、心力衰竭、缺血性卒中和eGFR 2。使用Cox回归评估与心肾预后的关系。依从性定义为第一年覆盖的天数比例达到80%。结果:心血管结局的中位随访时间为4.0年,肾脏结局的中位随访时间为3.8年。在匹配的队列中(平均年龄62岁,67%为男性),FDC使用者有更高的治疗依从性(68.6比46.5%)。FDC与较低的心力衰竭发生率相关(HR = 0.88; 95% CI 0.79, 0.99),其中依从性占47%。在年龄≥65岁的人群中,FDC与较低的心力衰竭发生率相关(HR = 0.79; 95% CI 0.69, 0.91)。观察到的关联随着糖尿病持续时间的进一步匹配或在ATC代码水平上匹配药物而减弱。FDC的使用与其他结果之间没有关联。结论:FDC治疗2型糖尿病患者与较低的心力衰竭发生率相关,尤其是老年人。较高的药物依从性似乎介导了这种关联的近一半。
本文章由计算机程序翻译,如有差异,请以英文原文为准。

Fixed-dose vs loose-dose combination antidiabetic therapy and cardiorenal outcomes in type 2 diabetes: a nationwide comparative effectiveness study.

Fixed-dose vs loose-dose combination antidiabetic therapy and cardiorenal outcomes in type 2 diabetes: a nationwide comparative effectiveness study.

Fixed-dose vs loose-dose combination antidiabetic therapy and cardiorenal outcomes in type 2 diabetes: a nationwide comparative effectiveness study.

Background: Combination therapy is gaining attention in type 2 diabetes management due to its potential to reach glycaemic goals within a shorter period. However, the long-term comparative cardiorenal effectiveness of fixed- versus loose-dose combinations remains unclear. This study aimed to assess whether oral antidiabetic fixed-dose combination (FDC) therapy is associated with improved cardiorenal outcomes in adults with type 2 diabetes compared with loose-dose combination (LDC) therapy. A secondary objective was to evaluate the mediating role of medication adherence in these associations.

Methods: This population-based, new-user, active-comparator cohort study used Swedish national registers. Propensity score matching without replacement was applied. Study outcomes included acute myocardial infarction, atrial fibrillation, unstable angina, heart failure, ischaemic stroke, and eGFR < 30 ml/min/1.73m2. Associations with cardiorenal outcomes were assessed using Cox regression. Adherence was defined as the proportion of days covered > 80% during the first year.

Results: The median follow-up time was 4.0 years for cardiovascular outcomes and 3.8 years for kidney outcomes. In the matched cohort (mean age 62 years; 67% male), FDC users had higher treatment adherence (68.6 vs. 46.5%). FDC was associated with a lower rate of heart failure (HR = 0.88; 95% CI 0.79, 0.99), with adherence mediating 47% of this association. In people aged ≥ 65 years, FDC was associated with a lower rate of heart failure (HR = 0.79; 95% CI 0.69, 0.91). The observed association was attenuated with further matching for diabetes duration or when drugs were matched at the ATC code level. No associations between FDC use and other outcomes were identified.

Conclusions: FDC therapy in people with type 2 diabetes was associated with a lower rate of heart failure, particularly in older adults. Higher medication adherence appeared to mediate nearly half of this association.

求助全文
通过发布文献求助,成功后即可免费获取论文全文。 去求助
来源期刊
Cardiovascular Diabetology
Cardiovascular Diabetology 医学-内分泌学与代谢
CiteScore
12.30
自引率
15.10%
发文量
240
审稿时长
1 months
期刊介绍: Cardiovascular Diabetology is a journal that welcomes manuscripts exploring various aspects of the relationship between diabetes, cardiovascular health, and the metabolic syndrome. We invite submissions related to clinical studies, genetic investigations, experimental research, pharmacological studies, epidemiological analyses, and molecular biology research in this field.
×
引用
GB/T 7714-2015
复制
MLA
复制
APA
复制
导出至
BibTeX EndNote RefMan NoteFirst NoteExpress
×
提示
您的信息不完整,为了账户安全,请先补充。
现在去补充
×
提示
您因"违规操作"
具体请查看互助需知
我知道了
×
提示
确定
请完成安全验证×
copy
已复制链接
快去分享给好友吧!
我知道了
右上角分享
点击右上角分享
0
联系我们:info@booksci.cn Book学术提供免费学术资源搜索服务,方便国内外学者检索中英文文献。致力于提供最便捷和优质的服务体验。 Copyright © 2023 布克学术 All rights reserved.
京ICP备2023020795号-1
ghs 京公网安备 11010802042870号
Book学术文献互助
Book学术文献互助群
群 号:604180095
Book学术官方微信