检查点抑制剂治疗不可切除的非转移性错配修复缺陷肠癌一个案例系列。

O J A Figaroa, I T Spaanderman, R S A Goedegebuure, G M Cirkel, F J F Jeurissen, G J Creemers, A D Bins, J Tuynman, T E Buffart
{"title":"检查点抑制剂治疗不可切除的非转移性错配修复缺陷肠癌一个案例系列。","authors":"O J A Figaroa, I T Spaanderman, R S A Goedegebuure, G M Cirkel, F J F Jeurissen, G J Creemers, A D Bins, J Tuynman, T E Buffart","doi":"10.1038/s44276-025-00171-0","DOIUrl":null,"url":null,"abstract":"<p><strong>Background: </strong>Colorectal cancer (CRC) is a common malignancy, with mismatch repair deficient (dMMR) CRC comprising approximately 15% of non-metastatic cases. dMMR tumors generate neoantigens making them highly responsive to immune checkpoint inhibitors, this became the first-line treatment for metastatic dMMR CRC. Aim of this study is to evaluate the efficacy of single-agent Pembrolizumab for patients with locally advanced unresectable dMMR intestinal cancers.</p><p><strong>Methods: </strong>We retrospectively reviewed patients with locally advanced unresectable dMMR/MSI-H CRC or small intestinal adenocarcinoma (SIA) who received PD-1 inhibitors between January 2022 and December 2023 at 1 University Medical Center and 3 regional hospitals and analyzed the treatment efficacy and survival outcomes.</p><p><strong>Results: </strong>Response rate was 78% after at least one cycle of Pembrolizumab with conversion to resection in nearly 40%. Patients who underwent primary tumor resection had a two-year overall survival (OS) of 100%, whereas those without resection had significantly lower OS (42%), progression-free survival (PFS; 36%), and cancer-specific survival (CSS; 71%) at two years. In total, 22% of the patients discontinued the treatment due to toxicity.</p><p><strong>Discussion: </strong>Although the observed response rates of Pembrolizumab are high, there is still room for improvement. Dual immune checkpoint inhibitors might be needed for these patients to improve outcomes.</p><p><strong>Clinical trial registration: </strong>A selection of patients included in this study were part of the ATAPEMBRO study, a single-centre, open label, phase 1-2 study (NCT04014530).</p>","PeriodicalId":519964,"journal":{"name":"BJC reports","volume":"3 1","pages":"67"},"PeriodicalIF":0.0000,"publicationDate":"2025-09-22","publicationTypes":"Journal Article","fieldsOfStudy":null,"isOpenAccess":false,"openAccessPdf":"https://www.ncbi.nlm.nih.gov/pmc/articles/PMC12454659/pdf/","citationCount":"0","resultStr":"{\"title\":\"Treatment with checkpoint inhibitors for unresectable non-metastatic mismatch repair deficient intestinal cancer; a case series.\",\"authors\":\"O J A Figaroa, I T Spaanderman, R S A Goedegebuure, G M Cirkel, F J F Jeurissen, G J Creemers, A D Bins, J Tuynman, T E Buffart\",\"doi\":\"10.1038/s44276-025-00171-0\",\"DOIUrl\":null,\"url\":null,\"abstract\":\"<p><strong>Background: </strong>Colorectal cancer (CRC) is a common malignancy, with mismatch repair deficient (dMMR) CRC comprising approximately 15% of non-metastatic cases. dMMR tumors generate neoantigens making them highly responsive to immune checkpoint inhibitors, this became the first-line treatment for metastatic dMMR CRC. Aim of this study is to evaluate the efficacy of single-agent Pembrolizumab for patients with locally advanced unresectable dMMR intestinal cancers.</p><p><strong>Methods: </strong>We retrospectively reviewed patients with locally advanced unresectable dMMR/MSI-H CRC or small intestinal adenocarcinoma (SIA) who received PD-1 inhibitors between January 2022 and December 2023 at 1 University Medical Center and 3 regional hospitals and analyzed the treatment efficacy and survival outcomes.</p><p><strong>Results: </strong>Response rate was 78% after at least one cycle of Pembrolizumab with conversion to resection in nearly 40%. Patients who underwent primary tumor resection had a two-year overall survival (OS) of 100%, whereas those without resection had significantly lower OS (42%), progression-free survival (PFS; 36%), and cancer-specific survival (CSS; 71%) at two years. In total, 22% of the patients discontinued the treatment due to toxicity.</p><p><strong>Discussion: </strong>Although the observed response rates of Pembrolizumab are high, there is still room for improvement. Dual immune checkpoint inhibitors might be needed for these patients to improve outcomes.</p><p><strong>Clinical trial registration: </strong>A selection of patients included in this study were part of the ATAPEMBRO study, a single-centre, open label, phase 1-2 study (NCT04014530).</p>\",\"PeriodicalId\":519964,\"journal\":{\"name\":\"BJC reports\",\"volume\":\"3 1\",\"pages\":\"67\"},\"PeriodicalIF\":0.0000,\"publicationDate\":\"2025-09-22\",\"publicationTypes\":\"Journal Article\",\"fieldsOfStudy\":null,\"isOpenAccess\":false,\"openAccessPdf\":\"https://www.ncbi.nlm.nih.gov/pmc/articles/PMC12454659/pdf/\",\"citationCount\":\"0\",\"resultStr\":null,\"platform\":\"Semanticscholar\",\"paperid\":null,\"PeriodicalName\":\"BJC reports\",\"FirstCategoryId\":\"1085\",\"ListUrlMain\":\"https://doi.org/10.1038/s44276-025-00171-0\",\"RegionNum\":0,\"RegionCategory\":null,\"ArticlePicture\":[],\"TitleCN\":null,\"AbstractTextCN\":null,\"PMCID\":null,\"EPubDate\":\"\",\"PubModel\":\"\",\"JCR\":\"\",\"JCRName\":\"\",\"Score\":null,\"Total\":0}","platform":"Semanticscholar","paperid":null,"PeriodicalName":"BJC reports","FirstCategoryId":"1085","ListUrlMain":"https://doi.org/10.1038/s44276-025-00171-0","RegionNum":0,"RegionCategory":null,"ArticlePicture":[],"TitleCN":null,"AbstractTextCN":null,"PMCID":null,"EPubDate":"","PubModel":"","JCR":"","JCRName":"","Score":null,"Total":0}
引用次数: 0

摘要

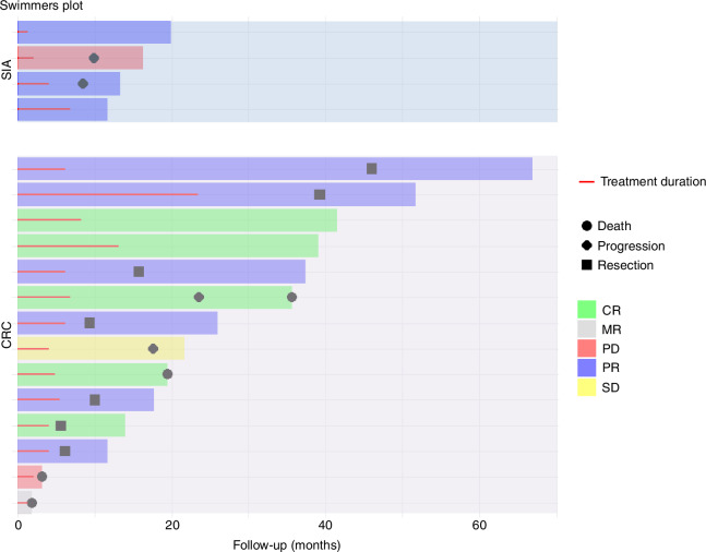
背景:结直肠癌(CRC)是一种常见的恶性肿瘤,错配修复缺陷(dMMR) CRC约占非转移性病例的15%。dMMR肿瘤产生新抗原,使其对免疫检查点抑制剂高度反应,这成为转移性dMMR CRC的一线治疗方法。本研究的目的是评估单药派姆单抗治疗局部晚期不可切除的dMMR肠癌患者的疗效。方法:回顾性分析2022年1月至2023年12月在1所大学医学中心和3所地区医院接受PD-1抑制剂治疗的局部晚期不可切除dMMR/MSI-H结直肠癌或小肠腺癌(SIA)患者的治疗效果和生存结局。结果:在至少一个周期的派姆单抗治疗后,缓解率为78%,转化为切除的比例接近40%。接受原发肿瘤切除术的患者两年总生存率(OS)为100%,而未切除的患者两年总生存率(OS)(42%)、无进展生存率(PFS; 36%)和癌症特异性生存率(CSS; 71%)明显较低。总的来说,22%的患者因毒性而停止治疗。讨论:尽管观察到派姆单抗的有效率很高,但仍有改进的空间。这些患者可能需要双重免疫检查点抑制剂来改善预后。临床试验注册:入选本研究的患者是ATAPEMBRO研究的一部分,这是一项单中心、开放标签、1-2期研究(NCT04014530)。
本文章由计算机程序翻译,如有差异,请以英文原文为准。

Treatment with checkpoint inhibitors for unresectable non-metastatic mismatch repair deficient intestinal cancer; a case series.

Treatment with checkpoint inhibitors for unresectable non-metastatic mismatch repair deficient intestinal cancer; a case series.

Treatment with checkpoint inhibitors for unresectable non-metastatic mismatch repair deficient intestinal cancer; a case series.

Background: Colorectal cancer (CRC) is a common malignancy, with mismatch repair deficient (dMMR) CRC comprising approximately 15% of non-metastatic cases. dMMR tumors generate neoantigens making them highly responsive to immune checkpoint inhibitors, this became the first-line treatment for metastatic dMMR CRC. Aim of this study is to evaluate the efficacy of single-agent Pembrolizumab for patients with locally advanced unresectable dMMR intestinal cancers.

Methods: We retrospectively reviewed patients with locally advanced unresectable dMMR/MSI-H CRC or small intestinal adenocarcinoma (SIA) who received PD-1 inhibitors between January 2022 and December 2023 at 1 University Medical Center and 3 regional hospitals and analyzed the treatment efficacy and survival outcomes.

Results: Response rate was 78% after at least one cycle of Pembrolizumab with conversion to resection in nearly 40%. Patients who underwent primary tumor resection had a two-year overall survival (OS) of 100%, whereas those without resection had significantly lower OS (42%), progression-free survival (PFS; 36%), and cancer-specific survival (CSS; 71%) at two years. In total, 22% of the patients discontinued the treatment due to toxicity.

Discussion: Although the observed response rates of Pembrolizumab are high, there is still room for improvement. Dual immune checkpoint inhibitors might be needed for these patients to improve outcomes.

Clinical trial registration: A selection of patients included in this study were part of the ATAPEMBRO study, a single-centre, open label, phase 1-2 study (NCT04014530).

求助全文
通过发布文献求助,成功后即可免费获取论文全文。 去求助
来源期刊
自引率
0.00%
发文量
0
×
引用
GB/T 7714-2015
复制
MLA
复制
APA
复制
导出至
BibTeX EndNote RefMan NoteFirst NoteExpress
×
提示
您的信息不完整,为了账户安全,请先补充。
现在去补充
×
提示
您因"违规操作"
具体请查看互助需知
我知道了
×
提示
确定
请完成安全验证×
copy
已复制链接
快去分享给好友吧!
我知道了
右上角分享
点击右上角分享
0
联系我们:info@booksci.cn Book学术提供免费学术资源搜索服务,方便国内外学者检索中英文文献。致力于提供最便捷和优质的服务体验。 Copyright © 2023 布克学术 All rights reserved.
京ICP备2023020795号-1
ghs 京公网安备 11010802042870号
Book学术文献互助
Book学术文献互助群
群 号:604180095
Book学术官方微信