人乳头瘤病毒与胸腺癌之间的关系:一项基于人群的队列研究

IF 2.6 4区 医学 Q3 ONCOLOGY
Cancer Management and Research Pub Date : 2025-09-17 eCollection Date: 2025-01-01 DOI:10.2147/CMAR.S537425
Peng-Tzu Liu, Wan-Lun Hsu, Tzu-I Chen, Chung-Ju Chiang, Mei-Hung Pan, Hui-Ling Lee, Chia-Chuan Wang, Chien-Jen Chen, Vinchi Wang, Yong-Chen Chen
{"title":"人乳头瘤病毒与胸腺癌之间的关系:一项基于人群的队列研究","authors":"Peng-Tzu Liu, Wan-Lun Hsu, Tzu-I Chen, Chung-Ju Chiang, Mei-Hung Pan, Hui-Ling Lee, Chia-Chuan Wang, Chien-Jen Chen, Vinchi Wang, Yong-Chen Chen","doi":"10.2147/CMAR.S537425","DOIUrl":null,"url":null,"abstract":"<p><strong>Background: </strong>Thymic carcinoma is an uncommon malignancy with unclear etiology. Although human papillomavirus (HPV) has been implicated in multiple cancers, its potential association with thymic cancer remains poorly studied in large population-based cohorts. This study aimed to investigate the role of HPV in developing thymic cancer and the risk of different HPV genotypes on thymic cancer.</p><p><strong>Methods: </strong>We examined the longitudinal relationship between HPV infection and thymic cancer in a cohort of 10,558 women aged 30 to 65 years who were enrolled in 1991 or 1992 in Taiwan. Cervical cells collected at the beginning of this study were tested for 39 types of HPV. The incidence of newly developed thymic cancer was determined through a computerized linkage with the National Cancer Registry by using the topography code 164 for thymic cancer in the International Classification of Diseases, Ninth Edition.</p><p><strong>Results: </strong>An increased risk of thymic cancer was associated with HPV infection, with an HR (95% CI) of 2.42 (0.62 to 9.38) after adjustment for age and body mass index. The level of risk was higher for infections with HPV types classified in the International Agency for Research on Cancer group 3, with an adjusted HR (95% CI) of 11.82 (2.51 to 55.70).</p><p><strong>Conclusion: </strong>This population-based cohort study provides longitudinal evidence that HPV infection may be associated with an increased risk of thymic cancer. While no significant overall association was observed, subgroup analysis revealed a notable association with HPV genotypes classified as IARC group 3. Additional studies are necessary to confirm the role of HPV in thymic carcinogenesis.</p>","PeriodicalId":9479,"journal":{"name":"Cancer Management and Research","volume":"17 ","pages":"2023-2033"},"PeriodicalIF":2.6000,"publicationDate":"2025-09-17","publicationTypes":"Journal Article","fieldsOfStudy":null,"isOpenAccess":false,"openAccessPdf":"https://www.ncbi.nlm.nih.gov/pmc/articles/PMC12450386/pdf/","citationCount":"0","resultStr":"{\"title\":\"Association Between Human Papillomavirus and Thymic Cancer: A Population-Based Cohort Study.\",\"authors\":\"Peng-Tzu Liu, Wan-Lun Hsu, Tzu-I Chen, Chung-Ju Chiang, Mei-Hung Pan, Hui-Ling Lee, Chia-Chuan Wang, Chien-Jen Chen, Vinchi Wang, Yong-Chen Chen\",\"doi\":\"10.2147/CMAR.S537425\",\"DOIUrl\":null,\"url\":null,\"abstract\":\"<p><strong>Background: </strong>Thymic carcinoma is an uncommon malignancy with unclear etiology. Although human papillomavirus (HPV) has been implicated in multiple cancers, its potential association with thymic cancer remains poorly studied in large population-based cohorts. This study aimed to investigate the role of HPV in developing thymic cancer and the risk of different HPV genotypes on thymic cancer.</p><p><strong>Methods: </strong>We examined the longitudinal relationship between HPV infection and thymic cancer in a cohort of 10,558 women aged 30 to 65 years who were enrolled in 1991 or 1992 in Taiwan. Cervical cells collected at the beginning of this study were tested for 39 types of HPV. The incidence of newly developed thymic cancer was determined through a computerized linkage with the National Cancer Registry by using the topography code 164 for thymic cancer in the International Classification of Diseases, Ninth Edition.</p><p><strong>Results: </strong>An increased risk of thymic cancer was associated with HPV infection, with an HR (95% CI) of 2.42 (0.62 to 9.38) after adjustment for age and body mass index. The level of risk was higher for infections with HPV types classified in the International Agency for Research on Cancer group 3, with an adjusted HR (95% CI) of 11.82 (2.51 to 55.70).</p><p><strong>Conclusion: </strong>This population-based cohort study provides longitudinal evidence that HPV infection may be associated with an increased risk of thymic cancer. While no significant overall association was observed, subgroup analysis revealed a notable association with HPV genotypes classified as IARC group 3. Additional studies are necessary to confirm the role of HPV in thymic carcinogenesis.</p>\",\"PeriodicalId\":9479,\"journal\":{\"name\":\"Cancer Management and Research\",\"volume\":\"17 \",\"pages\":\"2023-2033\"},\"PeriodicalIF\":2.6000,\"publicationDate\":\"2025-09-17\",\"publicationTypes\":\"Journal Article\",\"fieldsOfStudy\":null,\"isOpenAccess\":false,\"openAccessPdf\":\"https://www.ncbi.nlm.nih.gov/pmc/articles/PMC12450386/pdf/\",\"citationCount\":\"0\",\"resultStr\":null,\"platform\":\"Semanticscholar\",\"paperid\":null,\"PeriodicalName\":\"Cancer Management and Research\",\"FirstCategoryId\":\"3\",\"ListUrlMain\":\"https://doi.org/10.2147/CMAR.S537425\",\"RegionNum\":4,\"RegionCategory\":\"医学\",\"ArticlePicture\":[],\"TitleCN\":null,\"AbstractTextCN\":null,\"PMCID\":null,\"EPubDate\":\"2025/1/1 0:00:00\",\"PubModel\":\"eCollection\",\"JCR\":\"Q3\",\"JCRName\":\"ONCOLOGY\",\"Score\":null,\"Total\":0}","platform":"Semanticscholar","paperid":null,"PeriodicalName":"Cancer Management and Research","FirstCategoryId":"3","ListUrlMain":"https://doi.org/10.2147/CMAR.S537425","RegionNum":4,"RegionCategory":"医学","ArticlePicture":[],"TitleCN":null,"AbstractTextCN":null,"PMCID":null,"EPubDate":"2025/1/1 0:00:00","PubModel":"eCollection","JCR":"Q3","JCRName":"ONCOLOGY","Score":null,"Total":0}
引用次数: 0

摘要

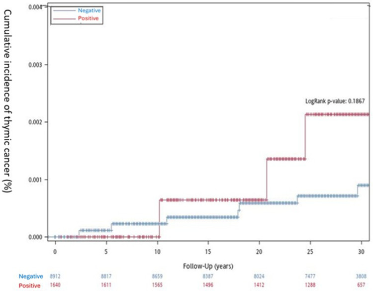
背景:胸腺癌是一种罕见的恶性肿瘤,病因不明。尽管人乳头瘤病毒(HPV)与多种癌症有关,但在基于大量人群的队列中,对其与胸腺癌的潜在关联的研究仍然很少。本研究旨在探讨HPV在发生胸腺癌中的作用以及不同HPV基因型对胸腺癌的风险。方法:我们研究了1991年或1992年在台湾登记的10,558名年龄在30至65岁之间的女性HPV感染与胸腺癌之间的纵向关系。在本研究开始时收集的宫颈细胞进行了39种HPV的检测。新发展的胸腺癌的发病率是通过与国家癌症登记处的计算机联系来确定的,使用的是国际疾病分类第九版胸腺癌的地形代码164。结果:胸腺癌风险增加与HPV感染相关,调整年龄和体重指数后的HR (95% CI)为2.42(0.62至9.38)。感染国际癌症研究机构(International Agency for Research on Cancer)第3组分类的HPV类型的风险水平更高,调整后的风险比(95% CI)为11.82(2.51至55.70)。结论:这项基于人群的队列研究提供了纵向证据,表明HPV感染可能与胸腺癌风险增加有关。虽然没有观察到明显的总体关联,但亚组分析显示与IARC分类为第3组的HPV基因型有显著关联。需要进一步的研究来证实HPV在胸腺癌发生中的作用。
本文章由计算机程序翻译,如有差异,请以英文原文为准。

Association Between Human Papillomavirus and Thymic Cancer: A Population-Based Cohort Study.

Association Between Human Papillomavirus and Thymic Cancer: A Population-Based Cohort Study.

Association Between Human Papillomavirus and Thymic Cancer: A Population-Based Cohort Study.

Association Between Human Papillomavirus and Thymic Cancer: A Population-Based Cohort Study.

Background: Thymic carcinoma is an uncommon malignancy with unclear etiology. Although human papillomavirus (HPV) has been implicated in multiple cancers, its potential association with thymic cancer remains poorly studied in large population-based cohorts. This study aimed to investigate the role of HPV in developing thymic cancer and the risk of different HPV genotypes on thymic cancer.

Methods: We examined the longitudinal relationship between HPV infection and thymic cancer in a cohort of 10,558 women aged 30 to 65 years who were enrolled in 1991 or 1992 in Taiwan. Cervical cells collected at the beginning of this study were tested for 39 types of HPV. The incidence of newly developed thymic cancer was determined through a computerized linkage with the National Cancer Registry by using the topography code 164 for thymic cancer in the International Classification of Diseases, Ninth Edition.

Results: An increased risk of thymic cancer was associated with HPV infection, with an HR (95% CI) of 2.42 (0.62 to 9.38) after adjustment for age and body mass index. The level of risk was higher for infections with HPV types classified in the International Agency for Research on Cancer group 3, with an adjusted HR (95% CI) of 11.82 (2.51 to 55.70).

Conclusion: This population-based cohort study provides longitudinal evidence that HPV infection may be associated with an increased risk of thymic cancer. While no significant overall association was observed, subgroup analysis revealed a notable association with HPV genotypes classified as IARC group 3. Additional studies are necessary to confirm the role of HPV in thymic carcinogenesis.

求助全文
通过发布文献求助,成功后即可免费获取论文全文。 去求助
来源期刊
Cancer Management and Research
Cancer Management and Research Medicine-Oncology
CiteScore
7.40
自引率
0.00%
发文量
448
审稿时长
16 weeks
期刊介绍: Cancer Management and Research is an international, peer reviewed, open access journal focusing on cancer research and the optimal use of preventative and integrated treatment interventions to achieve improved outcomes, enhanced survival, and quality of life for cancer patients. Specific topics covered in the journal include: ◦Epidemiology, detection and screening ◦Cellular research and biomarkers ◦Identification of biotargets and agents with novel mechanisms of action ◦Optimal clinical use of existing anticancer agents, including combination therapies ◦Radiation and surgery ◦Palliative care ◦Patient adherence, quality of life, satisfaction The journal welcomes submitted papers covering original research, basic science, clinical & epidemiological studies, reviews & evaluations, guidelines, expert opinion and commentary, and case series that shed novel insights on a disease or disease subtype.
×
引用
GB/T 7714-2015
复制
MLA
复制
APA
复制
导出至
BibTeX EndNote RefMan NoteFirst NoteExpress
×
提示
您的信息不完整,为了账户安全,请先补充。
现在去补充
×
提示
您因"违规操作"
具体请查看互助需知
我知道了
×
提示
确定
请完成安全验证×
copy
已复制链接
快去分享给好友吧!
我知道了
右上角分享
点击右上角分享
0
联系我们:info@booksci.cn Book学术提供免费学术资源搜索服务,方便国内外学者检索中英文文献。致力于提供最便捷和优质的服务体验。 Copyright © 2023 布克学术 All rights reserved.
京ICP备2023020795号-1
ghs 京公网安备 11010802042870号
Book学术文献互助
Book学术文献互助群
群 号:604180095
Book学术官方微信