用机器学习来调查美国健康和自杀率的政策相关社会决定因素

IF 8.7
Yunyu Xiao, Yuan Meng, Timothy T. Brown, Alexander C. Tsai, Lonnie R. Snowden, Julian Chun-Chung Chow, Jyotishman Pathak, J. John Mann
{"title":"用机器学习来调查美国健康和自杀率的政策相关社会决定因素","authors":"Yunyu Xiao, Yuan Meng, Timothy T. Brown, Alexander C. Tsai, Lonnie R. Snowden, Julian Chun-Chung Chow, Jyotishman Pathak, J. John Mann","doi":"10.1038/s44220-025-00424-4","DOIUrl":null,"url":null,"abstract":"This study aimed to categorize county clusters of multidimensional social determinants of health (SDOH) using unsupervised machine learning and to analyze their association with county-level suicide rates, considering temporal, geographic and demographic variation. We analyzed aggregated SDOH data across 3,018 US counties for 2009, 2014 and 2019, which were linked to county-level suicide rates from the National Vital Statistics System. We identified three distinct SDOH clusters: ‘REMOTE’ (rural, elderly, marginalized environments, old housing, traditional systems, empty houses), ‘COPE’ (complex family dynamics, high consumption of health services, poverty, extreme heat) and ‘DIVERSE’ (dense, immigrant rich, environmentally challenged, economically unequal, racial/ethnic diversity, saturated health care, expensive housing). We used negative binomial regression after identifying clusters to estimate the associations between county-level SDOH clusters and suicide rates. Compared with other clusters, REMOTE was associated with higher overall suicide rates, particularly among men; COPE showed elevated suicide rates among whites; and DIVERSE exhibited increased rates among women and Black and Hispanic populations. The distribution of suicide rates across US states corresponded to the variations in SDOH cluster distribution within each state. These findings provide a foundation for designing more effective, data-driven suicide prevention strategies tailored to specific regional and demographic contexts. This study addresses variations in suicide rates across the United States and the impact of three county-level clusters of social determinants of health characteristics. The authors used unsupervised machine learning to analyze data from 2009 to 2019, revealing that remote areas, characterized by rurality and older populations, had the highest suicide rates, highlighting the need for addressing disparities with targeted interventions.","PeriodicalId":74247,"journal":{"name":"Nature mental health","volume":"3 6","pages":"675-684"},"PeriodicalIF":8.7000,"publicationDate":"2025-05-12","publicationTypes":"Journal Article","fieldsOfStudy":null,"isOpenAccess":false,"openAccessPdf":"","citationCount":"0","resultStr":"{\"title\":\"Machine learning to investigate policy-relevant social determinants of health and suicide rates in the United States\",\"authors\":\"Yunyu Xiao, Yuan Meng, Timothy T. Brown, Alexander C. Tsai, Lonnie R. Snowden, Julian Chun-Chung Chow, Jyotishman Pathak, J. John Mann\",\"doi\":\"10.1038/s44220-025-00424-4\",\"DOIUrl\":null,\"url\":null,\"abstract\":\"This study aimed to categorize county clusters of multidimensional social determinants of health (SDOH) using unsupervised machine learning and to analyze their association with county-level suicide rates, considering temporal, geographic and demographic variation. We analyzed aggregated SDOH data across 3,018 US counties for 2009, 2014 and 2019, which were linked to county-level suicide rates from the National Vital Statistics System. We identified three distinct SDOH clusters: ‘REMOTE’ (rural, elderly, marginalized environments, old housing, traditional systems, empty houses), ‘COPE’ (complex family dynamics, high consumption of health services, poverty, extreme heat) and ‘DIVERSE’ (dense, immigrant rich, environmentally challenged, economically unequal, racial/ethnic diversity, saturated health care, expensive housing). We used negative binomial regression after identifying clusters to estimate the associations between county-level SDOH clusters and suicide rates. Compared with other clusters, REMOTE was associated with higher overall suicide rates, particularly among men; COPE showed elevated suicide rates among whites; and DIVERSE exhibited increased rates among women and Black and Hispanic populations. The distribution of suicide rates across US states corresponded to the variations in SDOH cluster distribution within each state. These findings provide a foundation for designing more effective, data-driven suicide prevention strategies tailored to specific regional and demographic contexts. This study addresses variations in suicide rates across the United States and the impact of three county-level clusters of social determinants of health characteristics. The authors used unsupervised machine learning to analyze data from 2009 to 2019, revealing that remote areas, characterized by rurality and older populations, had the highest suicide rates, highlighting the need for addressing disparities with targeted interventions.\",\"PeriodicalId\":74247,\"journal\":{\"name\":\"Nature mental health\",\"volume\":\"3 6\",\"pages\":\"675-684\"},\"PeriodicalIF\":8.7000,\"publicationDate\":\"2025-05-12\",\"publicationTypes\":\"Journal Article\",\"fieldsOfStudy\":null,\"isOpenAccess\":false,\"openAccessPdf\":\"\",\"citationCount\":\"0\",\"resultStr\":null,\"platform\":\"Semanticscholar\",\"paperid\":null,\"PeriodicalName\":\"Nature mental health\",\"FirstCategoryId\":\"1085\",\"ListUrlMain\":\"https://www.nature.com/articles/s44220-025-00424-4\",\"RegionNum\":0,\"RegionCategory\":null,\"ArticlePicture\":[],\"TitleCN\":null,\"AbstractTextCN\":null,\"PMCID\":null,\"EPubDate\":\"\",\"PubModel\":\"\",\"JCR\":\"\",\"JCRName\":\"\",\"Score\":null,\"Total\":0}","platform":"Semanticscholar","paperid":null,"PeriodicalName":"Nature mental health","FirstCategoryId":"1085","ListUrlMain":"https://www.nature.com/articles/s44220-025-00424-4","RegionNum":0,"RegionCategory":null,"ArticlePicture":[],"TitleCN":null,"AbstractTextCN":null,"PMCID":null,"EPubDate":"","PubModel":"","JCR":"","JCRName":"","Score":null,"Total":0}
引用次数: 0

摘要

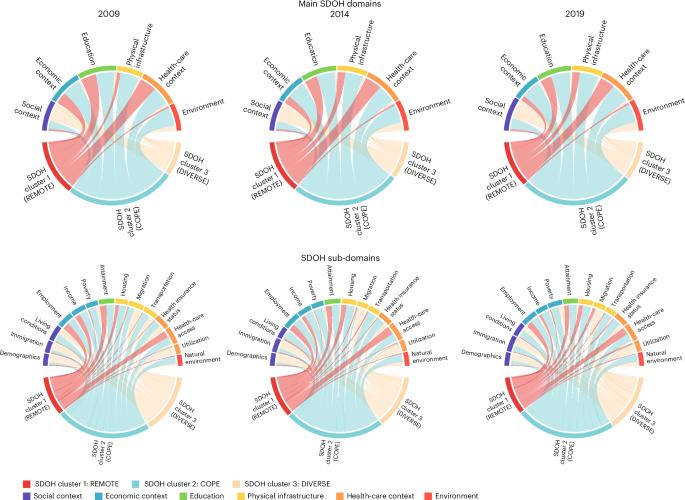
本研究旨在使用无监督机器学习对多维健康社会决定因素(SDOH)的县集群进行分类,并在考虑时间、地理和人口变化的情况下,分析它们与县级自杀率的关系。我们分析了2009年、2014年和2019年美国3018个县的综合SDOH数据,这些数据与国家生命统计系统(National Vital Statistics System)的县级自杀率有关。我们确定了三个不同的SDOH集群:“偏远”(农村,老年人,边缘化环境,旧住房,传统系统,空房子),“COPE”(复杂的家庭动态,卫生服务高消费,贫困,极端高温)和“多样化”(人口密集,移民富裕,环境挑战,经济不平等,种族/民族多样性,饱和的医疗保健,昂贵的住房)。在确定聚类后,我们使用负二项回归来估计县级SDOH聚类与自杀率之间的关系。与其他群集相比,REMOTE与较高的总体自杀率相关,尤其是男性;COPE显示白人的自杀率上升;和DIVERSE在女性、黑人和西班牙裔人群中的发病率有所上升。美国各州的自杀率分布与每个州内SDOH集群分布的变化相对应。这些发现为设计针对特定区域和人口背景的更有效、数据驱动的自杀预防战略奠定了基础。本研究探讨了美国各地自杀率的差异,以及健康特征的三个县级社会决定因素集群的影响。作者使用无监督机器学习分析了2009年至2019年的数据,揭示了以农村和老年人口为特征的偏远地区的自杀率最高,强调了通过有针对性的干预措施解决差异的必要性。
本文章由计算机程序翻译,如有差异,请以英文原文为准。

Machine learning to investigate policy-relevant social determinants of health and suicide rates in the United States

Machine learning to investigate policy-relevant social determinants of health and suicide rates in the United States
This study aimed to categorize county clusters of multidimensional social determinants of health (SDOH) using unsupervised machine learning and to analyze their association with county-level suicide rates, considering temporal, geographic and demographic variation. We analyzed aggregated SDOH data across 3,018 US counties for 2009, 2014 and 2019, which were linked to county-level suicide rates from the National Vital Statistics System. We identified three distinct SDOH clusters: ‘REMOTE’ (rural, elderly, marginalized environments, old housing, traditional systems, empty houses), ‘COPE’ (complex family dynamics, high consumption of health services, poverty, extreme heat) and ‘DIVERSE’ (dense, immigrant rich, environmentally challenged, economically unequal, racial/ethnic diversity, saturated health care, expensive housing). We used negative binomial regression after identifying clusters to estimate the associations between county-level SDOH clusters and suicide rates. Compared with other clusters, REMOTE was associated with higher overall suicide rates, particularly among men; COPE showed elevated suicide rates among whites; and DIVERSE exhibited increased rates among women and Black and Hispanic populations. The distribution of suicide rates across US states corresponded to the variations in SDOH cluster distribution within each state. These findings provide a foundation for designing more effective, data-driven suicide prevention strategies tailored to specific regional and demographic contexts. This study addresses variations in suicide rates across the United States and the impact of three county-level clusters of social determinants of health characteristics. The authors used unsupervised machine learning to analyze data from 2009 to 2019, revealing that remote areas, characterized by rurality and older populations, had the highest suicide rates, highlighting the need for addressing disparities with targeted interventions.
求助全文
通过发布文献求助,成功后即可免费获取论文全文。 去求助
来源期刊
自引率
0.00%
发文量
0
×
引用
GB/T 7714-2015
复制
MLA
复制
APA
复制
导出至
BibTeX EndNote RefMan NoteFirst NoteExpress
×
提示
您的信息不完整,为了账户安全,请先补充。
现在去补充
×
提示
您因"违规操作"
具体请查看互助需知
我知道了
×
提示
确定
请完成安全验证×
copy
已复制链接
快去分享给好友吧!
我知道了
右上角分享
点击右上角分享
0
联系我们:info@booksci.cn Book学术提供免费学术资源搜索服务,方便国内外学者检索中英文文献。致力于提供最便捷和优质的服务体验。 Copyright © 2023 布克学术 All rights reserved.
京ICP备2023020795号-1
ghs 京公网安备 11010802042870号
Book学术文献互助
Book学术文献互助群
群 号:604180095
Book学术官方微信