自旋镀膜技术沉积Gd掺杂NiO薄膜的结构和光学特性

IF 1.8 4区 物理与天体物理 Q4 PHYSICS, CONDENSED MATTER
N. V. Srinivasa, Basavaraj Angadi, H. M. Mahesh
{"title":"自旋镀膜技术沉积Gd掺杂NiO薄膜的结构和光学特性","authors":"N. V. Srinivasa,&nbsp;Basavaraj Angadi,&nbsp;H. M. Mahesh","doi":"10.1134/S1063783425600311","DOIUrl":null,"url":null,"abstract":"<p>The NiO films exhibit excellent optical and electrical properties due to their wide bandgap and <i>p</i>‑type semiconducting behaviour, making them suitable for optoelectronic and TCOs. Furthermore, the intrinsic properties of NiO are enhanced by doping with suitable elements. Pristine and Gd-doped NiO (Ni<sub>1–<i>x</i></sub>Gd<sub><i>x</i></sub>O; <i>x</i> = 0, 0.02, 0.04, and 0.06) films. The various doping concentrations are deposited using the spin deposition technique. The detailed effects of Gadolinium (Gd) doping in a NiO matrix are investigated using structural, optical, and photoluminescence analysis. The XRD results show the average crystallite size varying from 14 to 8.7 nm for pure and Gd-doped NiO films with a face-centred cubic polycrystalline nature. The Raman spectroscopy analysis confirms the quality (purity) of the prepared thin films, showing Ni–O first-order modes that shift to higher wave numbers with Gd doping. FTIR analysis exhibits Ni–O-related vibrational bands in the range of 555 to 735 cm<sup>–1</sup> and other vibrational bands linked to various functional groups. The UV-visible spectra reveal the highest average transmittance of around 90% for films with Gd doping up to 4%. The energy gap evaluated utilizing Tauc’s plot analysis, varies from 3.52 to 3.56 eV for pure and doped films. From the PL spectra, near band edge emission peaks (363 nm) and other structural defects-related emission peaks are observed. The results suggest that by varying the dopant concentration, the structural and optical parameters can be modified. These films have the potential to be used in optoelectronic and catalytic devices.</p>","PeriodicalId":731,"journal":{"name":"Physics of the Solid State","volume":"67 7","pages":"598 - 605"},"PeriodicalIF":1.8000,"publicationDate":"2025-07-02","publicationTypes":"Journal Article","fieldsOfStudy":null,"isOpenAccess":false,"openAccessPdf":"","citationCount":"0","resultStr":"{\"title\":\"Structural and Optical Characterization of Gd Doped NiO Thin Films Deposited by Spin Coating Technique\",\"authors\":\"N. V. Srinivasa,&nbsp;Basavaraj Angadi,&nbsp;H. M. Mahesh\",\"doi\":\"10.1134/S1063783425600311\",\"DOIUrl\":null,\"url\":null,\"abstract\":\"<p>The NiO films exhibit excellent optical and electrical properties due to their wide bandgap and <i>p</i>‑type semiconducting behaviour, making them suitable for optoelectronic and TCOs. Furthermore, the intrinsic properties of NiO are enhanced by doping with suitable elements. Pristine and Gd-doped NiO (Ni<sub>1–<i>x</i></sub>Gd<sub><i>x</i></sub>O; <i>x</i> = 0, 0.02, 0.04, and 0.06) films. The various doping concentrations are deposited using the spin deposition technique. The detailed effects of Gadolinium (Gd) doping in a NiO matrix are investigated using structural, optical, and photoluminescence analysis. The XRD results show the average crystallite size varying from 14 to 8.7 nm for pure and Gd-doped NiO films with a face-centred cubic polycrystalline nature. The Raman spectroscopy analysis confirms the quality (purity) of the prepared thin films, showing Ni–O first-order modes that shift to higher wave numbers with Gd doping. FTIR analysis exhibits Ni–O-related vibrational bands in the range of 555 to 735 cm<sup>–1</sup> and other vibrational bands linked to various functional groups. The UV-visible spectra reveal the highest average transmittance of around 90% for films with Gd doping up to 4%. The energy gap evaluated utilizing Tauc’s plot analysis, varies from 3.52 to 3.56 eV for pure and doped films. From the PL spectra, near band edge emission peaks (363 nm) and other structural defects-related emission peaks are observed. The results suggest that by varying the dopant concentration, the structural and optical parameters can be modified. These films have the potential to be used in optoelectronic and catalytic devices.</p>\",\"PeriodicalId\":731,\"journal\":{\"name\":\"Physics of the Solid State\",\"volume\":\"67 7\",\"pages\":\"598 - 605\"},\"PeriodicalIF\":1.8000,\"publicationDate\":\"2025-07-02\",\"publicationTypes\":\"Journal Article\",\"fieldsOfStudy\":null,\"isOpenAccess\":false,\"openAccessPdf\":\"\",\"citationCount\":\"0\",\"resultStr\":null,\"platform\":\"Semanticscholar\",\"paperid\":null,\"PeriodicalName\":\"Physics of the Solid State\",\"FirstCategoryId\":\"101\",\"ListUrlMain\":\"https://link.springer.com/article/10.1134/S1063783425600311\",\"RegionNum\":4,\"RegionCategory\":\"物理与天体物理\",\"ArticlePicture\":[],\"TitleCN\":null,\"AbstractTextCN\":null,\"PMCID\":null,\"EPubDate\":\"\",\"PubModel\":\"\",\"JCR\":\"Q4\",\"JCRName\":\"PHYSICS, CONDENSED MATTER\",\"Score\":null,\"Total\":0}","platform":"Semanticscholar","paperid":null,"PeriodicalName":"Physics of the Solid State","FirstCategoryId":"101","ListUrlMain":"https://link.springer.com/article/10.1134/S1063783425600311","RegionNum":4,"RegionCategory":"物理与天体物理","ArticlePicture":[],"TitleCN":null,"AbstractTextCN":null,"PMCID":null,"EPubDate":"","PubModel":"","JCR":"Q4","JCRName":"PHYSICS, CONDENSED MATTER","Score":null,"Total":0}
引用次数: 0

摘要

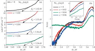
NiO薄膜由于其宽带隙和p型半导体行为而表现出优异的光学和电学性能,使其适用于光电和tco。此外,添加合适的元素可以增强NiO的本征性能。原始和gd掺杂NiO (Ni1-xGdxO; x = 0, 0.02, 0.04和0.06)薄膜。采用自旋沉积技术沉积不同浓度的掺杂。采用结构分析、光学分析和光致发光分析等方法研究了钆(Gd)掺杂在NiO基体中的详细影响。XRD结果表明,纯NiO膜和掺杂gd的NiO膜具有面心立方多晶性质,平均晶粒尺寸在14 ~ 8.7 nm之间。拉曼光谱分析证实了制备薄膜的质量(纯度),表明掺杂Gd后Ni-O一阶模式向更高波数偏移。FTIR分析显示在555 ~ 735 cm-1范围内与ni - o相关的振动带以及与各种官能团相连的其他振动带。紫外可见光谱显示,当Gd掺杂量达到4%时,薄膜的平均透过率最高,约为90%。利用Tauc的图分析,纯膜和掺杂膜的能隙从3.52到3.56 eV不等。从PL光谱中观察到近带边发射峰(363 nm)和其他与结构缺陷相关的发射峰。结果表明,通过改变掺杂剂的浓度,可以改变结构和光学参数。这些薄膜具有用于光电和催化器件的潜力。
本文章由计算机程序翻译,如有差异,请以英文原文为准。

Structural and Optical Characterization of Gd Doped NiO Thin Films Deposited by Spin Coating Technique

Structural and Optical Characterization of Gd Doped NiO Thin Films Deposited by Spin Coating Technique

The NiO films exhibit excellent optical and electrical properties due to their wide bandgap and p‑type semiconducting behaviour, making them suitable for optoelectronic and TCOs. Furthermore, the intrinsic properties of NiO are enhanced by doping with suitable elements. Pristine and Gd-doped NiO (Ni1–xGdxO; x = 0, 0.02, 0.04, and 0.06) films. The various doping concentrations are deposited using the spin deposition technique. The detailed effects of Gadolinium (Gd) doping in a NiO matrix are investigated using structural, optical, and photoluminescence analysis. The XRD results show the average crystallite size varying from 14 to 8.7 nm for pure and Gd-doped NiO films with a face-centred cubic polycrystalline nature. The Raman spectroscopy analysis confirms the quality (purity) of the prepared thin films, showing Ni–O first-order modes that shift to higher wave numbers with Gd doping. FTIR analysis exhibits Ni–O-related vibrational bands in the range of 555 to 735 cm–1 and other vibrational bands linked to various functional groups. The UV-visible spectra reveal the highest average transmittance of around 90% for films with Gd doping up to 4%. The energy gap evaluated utilizing Tauc’s plot analysis, varies from 3.52 to 3.56 eV for pure and doped films. From the PL spectra, near band edge emission peaks (363 nm) and other structural defects-related emission peaks are observed. The results suggest that by varying the dopant concentration, the structural and optical parameters can be modified. These films have the potential to be used in optoelectronic and catalytic devices.

求助全文
通过发布文献求助,成功后即可免费获取论文全文。 去求助
来源期刊
Physics of the Solid State
Physics of the Solid State 物理-物理:凝聚态物理
CiteScore
1.70
自引率
0.00%
发文量
60
审稿时长
2-4 weeks
期刊介绍: Presents the latest results from Russia’s leading researchers in condensed matter physics at the Russian Academy of Sciences and other prestigious institutions. Covers all areas of solid state physics including solid state optics, solid state acoustics, electronic and vibrational spectra, phase transitions, ferroelectricity, magnetism, and superconductivity. Also presents review papers on the most important problems in solid state physics.
×
引用
GB/T 7714-2015
复制
MLA
复制
APA
复制
导出至
BibTeX EndNote RefMan NoteFirst NoteExpress
×
提示
您的信息不完整,为了账户安全,请先补充。
现在去补充
×
提示
您因"违规操作"
具体请查看互助需知
我知道了
×
提示
确定
请完成安全验证×
copy
已复制链接
快去分享给好友吧!
我知道了
右上角分享
点击右上角分享
0
联系我们:info@booksci.cn Book学术提供免费学术资源搜索服务,方便国内外学者检索中英文文献。致力于提供最便捷和优质的服务体验。 Copyright © 2023 布克学术 All rights reserved.
京ICP备2023020795号-1
ghs 京公网安备 11010802042870号
Book学术文献互助
Book学术文献互助群
群 号:604180095
Book学术官方微信