预测严重腺病毒肺炎儿童闭塞性毛细支气管炎Nomogram:关键危险因素的识别

IF 1.7 Q2 PEDIATRICS
Pediatric health, medicine and therapeutics Pub Date : 2025-09-16 eCollection Date: 2025-01-01 DOI:10.2147/PHMT.S533387
Jiying Xiao, Li Zhang, Lin Su, Kamran Ali, Suling Wu, Min Zhao
{"title":"预测严重腺病毒肺炎儿童闭塞性毛细支气管炎Nomogram:关键危险因素的识别","authors":"Jiying Xiao, Li Zhang, Lin Su, Kamran Ali, Suling Wu, Min Zhao","doi":"10.2147/PHMT.S533387","DOIUrl":null,"url":null,"abstract":"<p><strong>Objective: </strong>This study aimed to identify the risk factors for bronchiolitis obliterans (BO) development in children with severe adenovirus pneumonia (SAP) and to construct and validate a nomogram prediction model.</p><p><strong>Methods: </strong>This retrospective study included 152 pediatric patients with SAP between January 2019 and December 2023. We categorized these patients as having developed BO (n=36) and non-BO (n=116) based on long-term follow-up outcomes. Key clinical features were optimized using the least absolute shrinkage and selection operator (LASSO) regression and a nomogram was developed using logistic regression. Model performance was assessed and validated through receiver operating characteristic (ROC) curve analysis, calibration curves, and decision curve analysis (DCA).</p><p><strong>Results: </strong>The LASSO regression analysis initially identified nine potential clinical predictors. Subsequent univariable and multivariable logistic regression revealed four independent risk factors significantly associated with BO development, namely, younger age, Odds ratio (OR) =0.94, 95% CI, 0.90-0.99, <i>p</i>=0.010; longer duration of fever, OR=2.27, 95% CI, 1.52-3.39, <i>p</i><0.001; requirement for tracheoscopy, OR=5.25, 95% CI, 1.06-26.09, <i>p</i>=0.040; and extended oxygen therapy, OR=1.64, 95% CI, 1.10-2.43, <i>p</i>=0.010. The final prediction model incorporated three key predictors (months of age, fever duration, and oxygen therapy duration) into a clinically practical nomogram. The model demonstrated excellent discrimination, with an area under the curve (AUC) of 0.95, 95% CI, 0.91-0.98, a sensitivity of 0.83, and a specificity of 0.93. The Hosmer-Lemeshow test, χ2=5.24, <i>p</i>=0.732 indicated good calibration, and the DCA demonstrated positive clinical benefits.</p><p><strong>Conclusion: </strong>We developed and validated a clinically practical nomogram, incorporating three key predictors mainly, months of age, fever duration, and oxygen therapy duration in predicting BO in children with SAP.The model demonstrates strong discriminatory power, reliable calibration, and clinical utility. This tool enables early risk stratification, facilitating timely intervention for high-risk pediatric SAP patients.</p>","PeriodicalId":74410,"journal":{"name":"Pediatric health, medicine and therapeutics","volume":"16 ","pages":"267-277"},"PeriodicalIF":1.7000,"publicationDate":"2025-09-16","publicationTypes":"Journal Article","fieldsOfStudy":null,"isOpenAccess":false,"openAccessPdf":"https://www.ncbi.nlm.nih.gov/pmc/articles/PMC12450025/pdf/","citationCount":"0","resultStr":"{\"title\":\"Development and Validation of a Nomogram for Predicting Bronchiolitis Obliterans in Children with Severe Adenovirus Pneumonia: Identification of Key Risk Factors.\",\"authors\":\"Jiying Xiao, Li Zhang, Lin Su, Kamran Ali, Suling Wu, Min Zhao\",\"doi\":\"10.2147/PHMT.S533387\",\"DOIUrl\":null,\"url\":null,\"abstract\":\"<p><strong>Objective: </strong>This study aimed to identify the risk factors for bronchiolitis obliterans (BO) development in children with severe adenovirus pneumonia (SAP) and to construct and validate a nomogram prediction model.</p><p><strong>Methods: </strong>This retrospective study included 152 pediatric patients with SAP between January 2019 and December 2023. We categorized these patients as having developed BO (n=36) and non-BO (n=116) based on long-term follow-up outcomes. Key clinical features were optimized using the least absolute shrinkage and selection operator (LASSO) regression and a nomogram was developed using logistic regression. Model performance was assessed and validated through receiver operating characteristic (ROC) curve analysis, calibration curves, and decision curve analysis (DCA).</p><p><strong>Results: </strong>The LASSO regression analysis initially identified nine potential clinical predictors. Subsequent univariable and multivariable logistic regression revealed four independent risk factors significantly associated with BO development, namely, younger age, Odds ratio (OR) =0.94, 95% CI, 0.90-0.99, <i>p</i>=0.010; longer duration of fever, OR=2.27, 95% CI, 1.52-3.39, <i>p</i><0.001; requirement for tracheoscopy, OR=5.25, 95% CI, 1.06-26.09, <i>p</i>=0.040; and extended oxygen therapy, OR=1.64, 95% CI, 1.10-2.43, <i>p</i>=0.010. The final prediction model incorporated three key predictors (months of age, fever duration, and oxygen therapy duration) into a clinically practical nomogram. The model demonstrated excellent discrimination, with an area under the curve (AUC) of 0.95, 95% CI, 0.91-0.98, a sensitivity of 0.83, and a specificity of 0.93. The Hosmer-Lemeshow test, χ2=5.24, <i>p</i>=0.732 indicated good calibration, and the DCA demonstrated positive clinical benefits.</p><p><strong>Conclusion: </strong>We developed and validated a clinically practical nomogram, incorporating three key predictors mainly, months of age, fever duration, and oxygen therapy duration in predicting BO in children with SAP.The model demonstrates strong discriminatory power, reliable calibration, and clinical utility. This tool enables early risk stratification, facilitating timely intervention for high-risk pediatric SAP patients.</p>\",\"PeriodicalId\":74410,\"journal\":{\"name\":\"Pediatric health, medicine and therapeutics\",\"volume\":\"16 \",\"pages\":\"267-277\"},\"PeriodicalIF\":1.7000,\"publicationDate\":\"2025-09-16\",\"publicationTypes\":\"Journal Article\",\"fieldsOfStudy\":null,\"isOpenAccess\":false,\"openAccessPdf\":\"https://www.ncbi.nlm.nih.gov/pmc/articles/PMC12450025/pdf/\",\"citationCount\":\"0\",\"resultStr\":null,\"platform\":\"Semanticscholar\",\"paperid\":null,\"PeriodicalName\":\"Pediatric health, medicine and therapeutics\",\"FirstCategoryId\":\"1085\",\"ListUrlMain\":\"https://doi.org/10.2147/PHMT.S533387\",\"RegionNum\":0,\"RegionCategory\":null,\"ArticlePicture\":[],\"TitleCN\":null,\"AbstractTextCN\":null,\"PMCID\":null,\"EPubDate\":\"2025/1/1 0:00:00\",\"PubModel\":\"eCollection\",\"JCR\":\"Q2\",\"JCRName\":\"PEDIATRICS\",\"Score\":null,\"Total\":0}","platform":"Semanticscholar","paperid":null,"PeriodicalName":"Pediatric health, medicine and therapeutics","FirstCategoryId":"1085","ListUrlMain":"https://doi.org/10.2147/PHMT.S533387","RegionNum":0,"RegionCategory":null,"ArticlePicture":[],"TitleCN":null,"AbstractTextCN":null,"PMCID":null,"EPubDate":"2025/1/1 0:00:00","PubModel":"eCollection","JCR":"Q2","JCRName":"PEDIATRICS","Score":null,"Total":0}
引用次数: 0

摘要

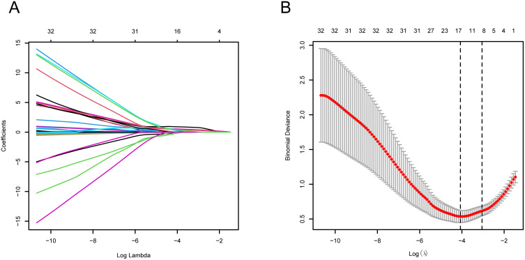
目的:探讨重症腺病毒肺炎(SAP)患儿闭塞性细支气管炎(BO)发生的危险因素,建立并验证nomogram预测模型。方法:本回顾性研究纳入了2019年1月至2023年12月期间152例SAP患儿。根据长期随访结果,我们将这些患者分为发生BO (n=36)和非BO (n=116)。使用最小绝对收缩和选择算子(LASSO)回归优化关键临床特征,并使用逻辑回归开发nomogram。通过受试者工作特征(ROC)曲线分析、校准曲线分析和决策曲线分析(DCA)对模型的性能进行评估和验证。结果:LASSO回归分析初步确定了9个潜在的临床预测因素。随后的单变量和多变量logistic回归显示与BO发生显著相关的4个独立危险因素为:年龄较轻,优势比(OR) =0.94, 95% CI, 0.90-0.99, p=0.010;发热持续时间较长,OR=2.27, 95% CI, 1.52 ~ 3.39, pp=0.040;延长氧疗,OR=1.64, 95% CI, 1.10-2.43, p=0.010。最终的预测模型将三个关键预测因子(月龄、发热持续时间和氧疗持续时间)纳入临床实用nomogram。该模型具有良好的鉴别能力,曲线下面积(AUC)为0.95,95% CI为0.91 ~ 0.98,灵敏度为0.83,特异性为0.93。Hosmer-Lemeshow检验,χ2=5.24, p=0.732表明校正效果良好,DCA具有良好的临床疗效。结论:我们开发并验证了一种临床实用的nomogram,主要包括三个关键预测因素:月龄、发热持续时间和氧疗持续时间,该模型具有很强的鉴别能力、可靠的校准和临床实用性。该工具可以实现早期风险分层,促进对高危儿童SAP患者的及时干预。
本文章由计算机程序翻译,如有差异,请以英文原文为准。

Development and Validation of a Nomogram for Predicting Bronchiolitis Obliterans in Children with Severe Adenovirus Pneumonia: Identification of Key Risk Factors.

Development and Validation of a Nomogram for Predicting Bronchiolitis Obliterans in Children with Severe Adenovirus Pneumonia: Identification of Key Risk Factors.

Development and Validation of a Nomogram for Predicting Bronchiolitis Obliterans in Children with Severe Adenovirus Pneumonia: Identification of Key Risk Factors.

Development and Validation of a Nomogram for Predicting Bronchiolitis Obliterans in Children with Severe Adenovirus Pneumonia: Identification of Key Risk Factors.

Objective: This study aimed to identify the risk factors for bronchiolitis obliterans (BO) development in children with severe adenovirus pneumonia (SAP) and to construct and validate a nomogram prediction model.

Methods: This retrospective study included 152 pediatric patients with SAP between January 2019 and December 2023. We categorized these patients as having developed BO (n=36) and non-BO (n=116) based on long-term follow-up outcomes. Key clinical features were optimized using the least absolute shrinkage and selection operator (LASSO) regression and a nomogram was developed using logistic regression. Model performance was assessed and validated through receiver operating characteristic (ROC) curve analysis, calibration curves, and decision curve analysis (DCA).

Results: The LASSO regression analysis initially identified nine potential clinical predictors. Subsequent univariable and multivariable logistic regression revealed four independent risk factors significantly associated with BO development, namely, younger age, Odds ratio (OR) =0.94, 95% CI, 0.90-0.99, p=0.010; longer duration of fever, OR=2.27, 95% CI, 1.52-3.39, p<0.001; requirement for tracheoscopy, OR=5.25, 95% CI, 1.06-26.09, p=0.040; and extended oxygen therapy, OR=1.64, 95% CI, 1.10-2.43, p=0.010. The final prediction model incorporated three key predictors (months of age, fever duration, and oxygen therapy duration) into a clinically practical nomogram. The model demonstrated excellent discrimination, with an area under the curve (AUC) of 0.95, 95% CI, 0.91-0.98, a sensitivity of 0.83, and a specificity of 0.93. The Hosmer-Lemeshow test, χ2=5.24, p=0.732 indicated good calibration, and the DCA demonstrated positive clinical benefits.

Conclusion: We developed and validated a clinically practical nomogram, incorporating three key predictors mainly, months of age, fever duration, and oxygen therapy duration in predicting BO in children with SAP.The model demonstrates strong discriminatory power, reliable calibration, and clinical utility. This tool enables early risk stratification, facilitating timely intervention for high-risk pediatric SAP patients.

求助全文
通过发布文献求助,成功后即可免费获取论文全文。 去求助
来源期刊
自引率
0.00%
发文量
0
审稿时长
16 weeks
×
引用
GB/T 7714-2015
复制
MLA
复制
APA
复制
导出至
BibTeX EndNote RefMan NoteFirst NoteExpress
×
提示
您的信息不完整,为了账户安全,请先补充。
现在去补充
×
提示
您因"违规操作"
具体请查看互助需知
我知道了
×
提示
确定
请完成安全验证×
copy
已复制链接
快去分享给好友吧!
我知道了
右上角分享
点击右上角分享
0
联系我们:info@booksci.cn Book学术提供免费学术资源搜索服务,方便国内外学者检索中英文文献。致力于提供最便捷和优质的服务体验。 Copyright © 2023 布克学术 All rights reserved.
京ICP备2023020795号-1
ghs 京公网安备 11010802042870号
Book学术文献互助
Book学术文献互助群
群 号:604180095
Book学术官方微信