可兴奋神经元网络的竞争振荡动力学。

IF 3
Frontiers in network physiology Pub Date : 2025-09-05 eCollection Date: 2025-01-01 DOI:10.3389/fnetp.2025.1613288
Zhigang Zheng, Lin Yan, Tao Li, Jiajing Liu, Lei Wang, Yu Qian
{"title":"可兴奋神经元网络的竞争振荡动力学。","authors":"Zhigang Zheng, Lin Yan, Tao Li, Jiajing Liu, Lei Wang, Yu Qian","doi":"10.3389/fnetp.2025.1613288","DOIUrl":null,"url":null,"abstract":"<p><p>Collective dynamics of networks of excitable neurons can be considered as the emergence of ordering from microscopic self-organization at the macroscopic scale. Sustained oscillation can emerge on networks of neurons even if a single neuron is dynamical excitable and non-oscillatory. Fundamental ingredients of networks such as loops, trees, and hubs, play distinct roles in supporting, propagating and impeding sustained oscillations. In this paper, we explore the mechanism of collective self-sustained oscillations on neuron networks by analyzing the functions of different topologies in shaping the oscillatory patterns on excitable neuron networks. The Winfree loops are revealed to be responsible for generating collective oscillations as the oscillation core, and other neurons act as the propagating paths. The existence of large numbers of loops in a network indicates potential competitions of the formation of collective oscillatory dynamics. The roles of loop-loop competition in homogeneous networks and loop-hub competition in heterogeneous networks are extensively discussed.</p>","PeriodicalId":73092,"journal":{"name":"Frontiers in network physiology","volume":"5 ","pages":"1613288"},"PeriodicalIF":3.0000,"publicationDate":"2025-09-05","publicationTypes":"Journal Article","fieldsOfStudy":null,"isOpenAccess":false,"openAccessPdf":"https://www.ncbi.nlm.nih.gov/pmc/articles/PMC12446225/pdf/","citationCount":"0","resultStr":"{\"title\":\"Competitive oscillatory dynamics in excitable neuron networks.\",\"authors\":\"Zhigang Zheng, Lin Yan, Tao Li, Jiajing Liu, Lei Wang, Yu Qian\",\"doi\":\"10.3389/fnetp.2025.1613288\",\"DOIUrl\":null,\"url\":null,\"abstract\":\"<p><p>Collective dynamics of networks of excitable neurons can be considered as the emergence of ordering from microscopic self-organization at the macroscopic scale. Sustained oscillation can emerge on networks of neurons even if a single neuron is dynamical excitable and non-oscillatory. Fundamental ingredients of networks such as loops, trees, and hubs, play distinct roles in supporting, propagating and impeding sustained oscillations. In this paper, we explore the mechanism of collective self-sustained oscillations on neuron networks by analyzing the functions of different topologies in shaping the oscillatory patterns on excitable neuron networks. The Winfree loops are revealed to be responsible for generating collective oscillations as the oscillation core, and other neurons act as the propagating paths. The existence of large numbers of loops in a network indicates potential competitions of the formation of collective oscillatory dynamics. The roles of loop-loop competition in homogeneous networks and loop-hub competition in heterogeneous networks are extensively discussed.</p>\",\"PeriodicalId\":73092,\"journal\":{\"name\":\"Frontiers in network physiology\",\"volume\":\"5 \",\"pages\":\"1613288\"},\"PeriodicalIF\":3.0000,\"publicationDate\":\"2025-09-05\",\"publicationTypes\":\"Journal Article\",\"fieldsOfStudy\":null,\"isOpenAccess\":false,\"openAccessPdf\":\"https://www.ncbi.nlm.nih.gov/pmc/articles/PMC12446225/pdf/\",\"citationCount\":\"0\",\"resultStr\":null,\"platform\":\"Semanticscholar\",\"paperid\":null,\"PeriodicalName\":\"Frontiers in network physiology\",\"FirstCategoryId\":\"1085\",\"ListUrlMain\":\"https://doi.org/10.3389/fnetp.2025.1613288\",\"RegionNum\":0,\"RegionCategory\":null,\"ArticlePicture\":[],\"TitleCN\":null,\"AbstractTextCN\":null,\"PMCID\":null,\"EPubDate\":\"2025/1/1 0:00:00\",\"PubModel\":\"eCollection\",\"JCR\":\"\",\"JCRName\":\"\",\"Score\":null,\"Total\":0}","platform":"Semanticscholar","paperid":null,"PeriodicalName":"Frontiers in network physiology","FirstCategoryId":"1085","ListUrlMain":"https://doi.org/10.3389/fnetp.2025.1613288","RegionNum":0,"RegionCategory":null,"ArticlePicture":[],"TitleCN":null,"AbstractTextCN":null,"PMCID":null,"EPubDate":"2025/1/1 0:00:00","PubModel":"eCollection","JCR":"","JCRName":"","Score":null,"Total":0}
引用次数: 0

摘要

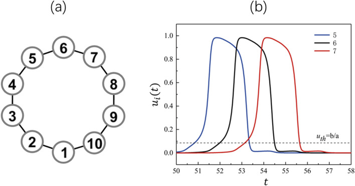
可兴奋神经元网络的集体动力学可以被认为是宏观尺度上微观自组织有序的出现。即使单个神经元具有动态可兴奋性和非振荡性,神经元网络也会出现持续振荡。网络的基本成分,如环路、树和枢纽,在支持、传播和阻碍持续振荡方面发挥着不同的作用。本文通过分析不同拓扑结构在可兴奋神经元网络振荡模式形成中的作用,探讨了神经元网络集体自持续振荡的机制。Winfree回路作为振荡核心负责产生集体振荡,其他神经元作为传播路径。网络中大量环路的存在表明了集体振荡动力学形成的潜在竞争。广泛讨论了同质网络中的环环竞争和异质网络中的环-枢纽竞争的作用。
本文章由计算机程序翻译,如有差异,请以英文原文为准。

Competitive oscillatory dynamics in excitable neuron networks.

Competitive oscillatory dynamics in excitable neuron networks.

Competitive oscillatory dynamics in excitable neuron networks.

Competitive oscillatory dynamics in excitable neuron networks.

Collective dynamics of networks of excitable neurons can be considered as the emergence of ordering from microscopic self-organization at the macroscopic scale. Sustained oscillation can emerge on networks of neurons even if a single neuron is dynamical excitable and non-oscillatory. Fundamental ingredients of networks such as loops, trees, and hubs, play distinct roles in supporting, propagating and impeding sustained oscillations. In this paper, we explore the mechanism of collective self-sustained oscillations on neuron networks by analyzing the functions of different topologies in shaping the oscillatory patterns on excitable neuron networks. The Winfree loops are revealed to be responsible for generating collective oscillations as the oscillation core, and other neurons act as the propagating paths. The existence of large numbers of loops in a network indicates potential competitions of the formation of collective oscillatory dynamics. The roles of loop-loop competition in homogeneous networks and loop-hub competition in heterogeneous networks are extensively discussed.

求助全文
通过发布文献求助,成功后即可免费获取论文全文。 去求助
来源期刊
CiteScore
2.70
自引率
0.00%
发文量
0
×
引用
GB/T 7714-2015
复制
MLA
复制
APA
复制
导出至
BibTeX EndNote RefMan NoteFirst NoteExpress
×
提示
您的信息不完整,为了账户安全,请先补充。
现在去补充
×
提示
您因"违规操作"
具体请查看互助需知
我知道了
×
提示
确定
请完成安全验证×
copy
已复制链接
快去分享给好友吧!
我知道了
右上角分享
点击右上角分享
0
联系我们:info@booksci.cn Book学术提供免费学术资源搜索服务,方便国内外学者检索中英文文献。致力于提供最便捷和优质的服务体验。 Copyright © 2023 布克学术 All rights reserved.
京ICP备2023020795号-1
ghs 京公网安备 11010802042870号
Book学术文献互助
Book学术文献互助群
群 号:604180095
Book学术官方微信