非初产顺产妇女产后出血预测模型的建立与验证。

IF 2 4区 医学 Q2 HEALTH CARE SCIENCES & SERVICES
Risk Management and Healthcare Policy Pub Date : 2025-09-16 eCollection Date: 2025-01-01 DOI:10.2147/RMHP.S537335
Cuiping Zhou, Rongsheng Zhou
{"title":"非初产顺产妇女产后出血预测模型的建立与验证。","authors":"Cuiping Zhou, Rongsheng Zhou","doi":"10.2147/RMHP.S537335","DOIUrl":null,"url":null,"abstract":"<p><strong>Objective: </strong>To analyze the risk factors for postpartum hemorrhage in non-primary women giving birth naturally and construct a predictive model.</p><p><strong>Methods: </strong>Retrospective analysis of the clinical data of 436 second-time mothers who underwent natural childbirth in the Department of Obstetrics, Hefei Third People's Hospital. The cases were divided into a bleeding group (n=41) and a non-bleeding group (n=395) based on whether there was bleeding greater than 500 mL within 24 hours after delivery. Independent risk factors were established through univariate and multivariate analyses, a logistic regression model was established, and bootstrap resampling was used to internally verify and assess the calibration of the model.</p><p><strong>Results: </strong>Among the 436 cases of maternal delivery included in the study, 41 (9.40%) were cases of postpartum hemorrhage. The results of the multifactor analysis indicated that in vitro fertilization, body mass index (BMI), episiotomy, placenta previa, newborn weight, and manual removal of the placenta were independent risk factors for postpartum hemorrhage (PPH) in non-primary mothers. Subsequently, a model was constructed, exhibiting an AUC value of 0.839 (95% CI: 0.758-0.919). The Hosmer-Lemeshow test of the calibration curve yielded a chi-squared value of 8.1013 and a P-value of 0.4236, indicating an excellent performance of the DCA curve.</p><p><strong>Conclusion: </strong>In vitro fertilization, body mass index (BMI), episiotomy, placenta previa, newborn weight, and manual removal of the placenta are identified as independent risk factors for postpartum hemorrhage (PPH) in non-primary mothers. The constructed logistic regression model is capable of more accurately identifying high-risk PPH mothers and providing a reference basis for individualized interventions.</p>","PeriodicalId":56009,"journal":{"name":"Risk Management and Healthcare Policy","volume":"18 ","pages":"3079-3088"},"PeriodicalIF":2.0000,"publicationDate":"2025-09-16","publicationTypes":"Journal Article","fieldsOfStudy":null,"isOpenAccess":false,"openAccessPdf":"https://www.ncbi.nlm.nih.gov/pmc/articles/PMC12449884/pdf/","citationCount":"0","resultStr":"{\"title\":\"Development and Validation of a Predictive Model for Postpartum Hemorrhage in Non-Primiparous Women Who Deliver Vaginally.\",\"authors\":\"Cuiping Zhou, Rongsheng Zhou\",\"doi\":\"10.2147/RMHP.S537335\",\"DOIUrl\":null,\"url\":null,\"abstract\":\"<p><strong>Objective: </strong>To analyze the risk factors for postpartum hemorrhage in non-primary women giving birth naturally and construct a predictive model.</p><p><strong>Methods: </strong>Retrospective analysis of the clinical data of 436 second-time mothers who underwent natural childbirth in the Department of Obstetrics, Hefei Third People's Hospital. The cases were divided into a bleeding group (n=41) and a non-bleeding group (n=395) based on whether there was bleeding greater than 500 mL within 24 hours after delivery. Independent risk factors were established through univariate and multivariate analyses, a logistic regression model was established, and bootstrap resampling was used to internally verify and assess the calibration of the model.</p><p><strong>Results: </strong>Among the 436 cases of maternal delivery included in the study, 41 (9.40%) were cases of postpartum hemorrhage. The results of the multifactor analysis indicated that in vitro fertilization, body mass index (BMI), episiotomy, placenta previa, newborn weight, and manual removal of the placenta were independent risk factors for postpartum hemorrhage (PPH) in non-primary mothers. Subsequently, a model was constructed, exhibiting an AUC value of 0.839 (95% CI: 0.758-0.919). The Hosmer-Lemeshow test of the calibration curve yielded a chi-squared value of 8.1013 and a P-value of 0.4236, indicating an excellent performance of the DCA curve.</p><p><strong>Conclusion: </strong>In vitro fertilization, body mass index (BMI), episiotomy, placenta previa, newborn weight, and manual removal of the placenta are identified as independent risk factors for postpartum hemorrhage (PPH) in non-primary mothers. The constructed logistic regression model is capable of more accurately identifying high-risk PPH mothers and providing a reference basis for individualized interventions.</p>\",\"PeriodicalId\":56009,\"journal\":{\"name\":\"Risk Management and Healthcare Policy\",\"volume\":\"18 \",\"pages\":\"3079-3088\"},\"PeriodicalIF\":2.0000,\"publicationDate\":\"2025-09-16\",\"publicationTypes\":\"Journal Article\",\"fieldsOfStudy\":null,\"isOpenAccess\":false,\"openAccessPdf\":\"https://www.ncbi.nlm.nih.gov/pmc/articles/PMC12449884/pdf/\",\"citationCount\":\"0\",\"resultStr\":null,\"platform\":\"Semanticscholar\",\"paperid\":null,\"PeriodicalName\":\"Risk Management and Healthcare Policy\",\"FirstCategoryId\":\"3\",\"ListUrlMain\":\"https://doi.org/10.2147/RMHP.S537335\",\"RegionNum\":4,\"RegionCategory\":\"医学\",\"ArticlePicture\":[],\"TitleCN\":null,\"AbstractTextCN\":null,\"PMCID\":null,\"EPubDate\":\"2025/1/1 0:00:00\",\"PubModel\":\"eCollection\",\"JCR\":\"Q2\",\"JCRName\":\"HEALTH CARE SCIENCES & SERVICES\",\"Score\":null,\"Total\":0}","platform":"Semanticscholar","paperid":null,"PeriodicalName":"Risk Management and Healthcare Policy","FirstCategoryId":"3","ListUrlMain":"https://doi.org/10.2147/RMHP.S537335","RegionNum":4,"RegionCategory":"医学","ArticlePicture":[],"TitleCN":null,"AbstractTextCN":null,"PMCID":null,"EPubDate":"2025/1/1 0:00:00","PubModel":"eCollection","JCR":"Q2","JCRName":"HEALTH CARE SCIENCES & SERVICES","Score":null,"Total":0}
引用次数: 0

摘要

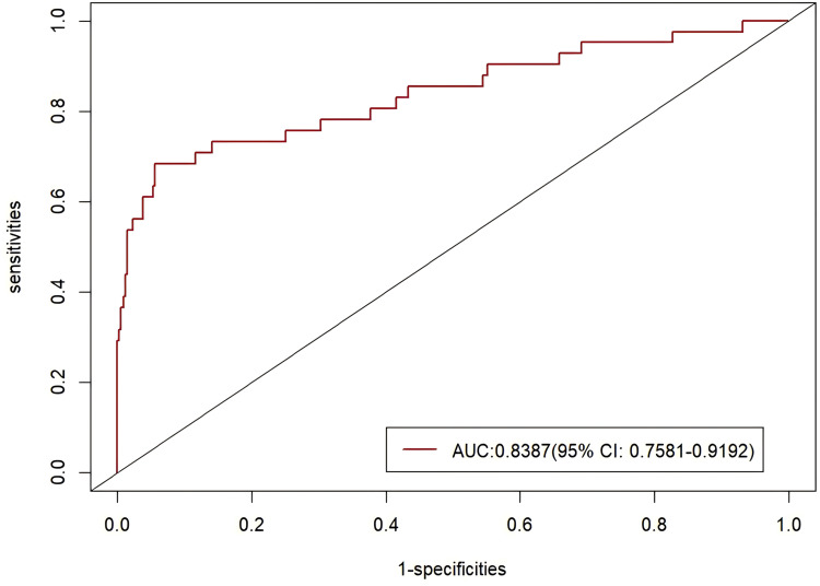
目的:分析非原发自然分娩妇女产后出血的危险因素,并建立预测模型。方法:回顾性分析合肥市第三人民医院产科436例二次产妇自然分娩的临床资料。根据分娩后24小时内出血是否大于500ml分为出血组(n=41)和非出血组(n=395)。通过单因素和多因素分析建立独立危险因素,建立logistic回归模型,并采用bootstrap重抽样对模型的校准进行内部验证和评估。结果:纳入研究的436例产妇中,产后出血41例(9.40%)。多因素分析结果显示,体外受精、体重指数(BMI)、会阴切开术、前置胎盘、新生儿体重、人工取胎盘是非原产母亲产后出血(PPH)的独立危险因素。随后建立模型,AUC值为0.839 (95% CI: 0.758-0.919)。对校准曲线进行Hosmer-Lemeshow检验,卡方值为8.1013,p值为0.4236,表明DCA曲线具有良好的性能。结论:体外受精、体重指数(BMI)、会阴切开术、前置胎盘、新生儿体重、人工取胎盘是非原产母亲产后出血(PPH)的独立危险因素。构建的logistic回归模型能够更准确地识别PPH高危母亲,为个体化干预提供参考依据。
本文章由计算机程序翻译,如有差异,请以英文原文为准。

Development and Validation of a Predictive Model for Postpartum Hemorrhage in Non-Primiparous Women Who Deliver Vaginally.

Development and Validation of a Predictive Model for Postpartum Hemorrhage in Non-Primiparous Women Who Deliver Vaginally.

Development and Validation of a Predictive Model for Postpartum Hemorrhage in Non-Primiparous Women Who Deliver Vaginally.

Development and Validation of a Predictive Model for Postpartum Hemorrhage in Non-Primiparous Women Who Deliver Vaginally.

Objective: To analyze the risk factors for postpartum hemorrhage in non-primary women giving birth naturally and construct a predictive model.

Methods: Retrospective analysis of the clinical data of 436 second-time mothers who underwent natural childbirth in the Department of Obstetrics, Hefei Third People's Hospital. The cases were divided into a bleeding group (n=41) and a non-bleeding group (n=395) based on whether there was bleeding greater than 500 mL within 24 hours after delivery. Independent risk factors were established through univariate and multivariate analyses, a logistic regression model was established, and bootstrap resampling was used to internally verify and assess the calibration of the model.

Results: Among the 436 cases of maternal delivery included in the study, 41 (9.40%) were cases of postpartum hemorrhage. The results of the multifactor analysis indicated that in vitro fertilization, body mass index (BMI), episiotomy, placenta previa, newborn weight, and manual removal of the placenta were independent risk factors for postpartum hemorrhage (PPH) in non-primary mothers. Subsequently, a model was constructed, exhibiting an AUC value of 0.839 (95% CI: 0.758-0.919). The Hosmer-Lemeshow test of the calibration curve yielded a chi-squared value of 8.1013 and a P-value of 0.4236, indicating an excellent performance of the DCA curve.

Conclusion: In vitro fertilization, body mass index (BMI), episiotomy, placenta previa, newborn weight, and manual removal of the placenta are identified as independent risk factors for postpartum hemorrhage (PPH) in non-primary mothers. The constructed logistic regression model is capable of more accurately identifying high-risk PPH mothers and providing a reference basis for individualized interventions.

求助全文
通过发布文献求助,成功后即可免费获取论文全文。 去求助
来源期刊
Risk Management and Healthcare Policy
Risk Management and Healthcare Policy Medicine-Public Health, Environmental and Occupational Health
CiteScore
6.20
自引率
2.90%
发文量
242
审稿时长
16 weeks
期刊介绍: Risk Management and Healthcare Policy is an international, peer-reviewed, open access journal focusing on all aspects of public health, policy and preventative measures to promote good health and improve morbidity and mortality in the population. Specific topics covered in the journal include: Public and community health Policy and law Preventative and predictive healthcare Risk and hazard management Epidemiology, detection and screening Lifestyle and diet modification Vaccination and disease transmission/modification programs Health and safety and occupational health Healthcare services provision Health literacy and education Advertising and promotion of health issues Health economic evaluations and resource management Risk Management and Healthcare Policy focuses on human interventional and observational research. The journal welcomes submitted papers covering original research, clinical and epidemiological studies, reviews and evaluations, guidelines, expert opinion and commentary, and extended reports. Case reports will only be considered if they make a valuable and original contribution to the literature. The journal does not accept study protocols, animal-based or cell line-based studies.
×
引用
GB/T 7714-2015
复制
MLA
复制
APA
复制
导出至
BibTeX EndNote RefMan NoteFirst NoteExpress
×
提示
您的信息不完整,为了账户安全,请先补充。
现在去补充
×
提示
您因"违规操作"
具体请查看互助需知
我知道了
×
提示
确定
请完成安全验证×
copy
已复制链接
快去分享给好友吧!
我知道了
右上角分享
点击右上角分享
0
联系我们:info@booksci.cn Book学术提供免费学术资源搜索服务,方便国内外学者检索中英文文献。致力于提供最便捷和优质的服务体验。 Copyright © 2023 布克学术 All rights reserved.
京ICP备2023020795号-1
ghs 京公网安备 11010802042870号
Book学术文献互助
Book学术文献互助群
群 号:604180095
Book学术官方微信