老年盆腔器官脱垂患者阴道炎后深静脉血栓形成预测模型的建立和内部验证。

IF 2 4区 医学 Q2 HEALTH CARE SCIENCES & SERVICES
Risk Management and Healthcare Policy Pub Date : 2025-09-15 eCollection Date: 2025-01-01 DOI:10.2147/RMHP.S535933
Qi Wang, Stefano Manodoro, Xiaoxiang Jiang, Chaoqin Lin
{"title":"老年盆腔器官脱垂患者阴道炎后深静脉血栓形成预测模型的建立和内部验证。","authors":"Qi Wang, Stefano Manodoro, Xiaoxiang Jiang, Chaoqin Lin","doi":"10.2147/RMHP.S535933","DOIUrl":null,"url":null,"abstract":"<p><strong>Purpose: </strong>Colpocleisis is a surgical option for elderly women with advanced pelvic organ prolapse (POP), often complicated by comorbidities that heighten postoperative deep venous thrombosis (DVT) risk. Effective tools for predicting postoperative DVT in these patients are lacking. This study aimed to develop a predictive model for the risk of DVT following colpocleisis and to validate its performance.</p><p><strong>Patients and methods: </strong>This retrospective study included elderly patients who underwent colpocleisis for advanced POP between August 2019 and December 2024. Demographics, obstetric history, comorbidities, preoperative tests, and surgical details were analyzed. The primary endpoint was postoperative DVT, confirmed by ultrasound examination. Univariate and multivariable logistic regression analyses identified risk factors, which informed the development of a predictive nomogram-a graphical tool that translates statistical risk into a user-friendly format for individual prediction. Model performance was assessed using the area under the receiver operating characteristic curve (AUC), calibration curves, and decision curve analysis (DCA), which evaluates the net clinical benefit across threshold probabilities.</p><p><strong>Results: </strong>Of 307 patients, 8.8% (27/307) developed postoperative DVT. Multivariable analysis identified insulin-dependent diabetes, elevated preoperative cholesterol, and D-dimer levels as independent risk factors. The nomogram demonstrated strong discriminatory ability, with AUCs of 0.809 (95% confidence interval [CI]: 0.760-0.857) in the training set and 0.802 (95% CI: 0.752-0.852) in the validation set. At the optimal threshold (0.494), sensitivity was 0.725, specificity 0.848, positive predictive value (PPV) 0.805, and negative predictive value (NPV) 0.728. Calibration curves showed alignment between predicted and observed outcomes, while DCA demonstrated significant net benefit.</p><p><strong>Conclusion: </strong>This nomogram is a valuable tool for early DVT risk stratification in elderly colpocleisis patients. External validation in prospective multicenter studies is warranted.</p>","PeriodicalId":56009,"journal":{"name":"Risk Management and Healthcare Policy","volume":"18 ","pages":"3041-3050"},"PeriodicalIF":2.0000,"publicationDate":"2025-09-15","publicationTypes":"Journal Article","fieldsOfStudy":null,"isOpenAccess":false,"openAccessPdf":"https://www.ncbi.nlm.nih.gov/pmc/articles/PMC12447959/pdf/","citationCount":"0","resultStr":"{\"title\":\"Development and Internal Validation of a Predictive Model for Deep Venous Thrombosis Following Colpocleisis in Elderly Patients with Pelvic Organ Prolapse.\",\"authors\":\"Qi Wang, Stefano Manodoro, Xiaoxiang Jiang, Chaoqin Lin\",\"doi\":\"10.2147/RMHP.S535933\",\"DOIUrl\":null,\"url\":null,\"abstract\":\"<p><strong>Purpose: </strong>Colpocleisis is a surgical option for elderly women with advanced pelvic organ prolapse (POP), often complicated by comorbidities that heighten postoperative deep venous thrombosis (DVT) risk. Effective tools for predicting postoperative DVT in these patients are lacking. This study aimed to develop a predictive model for the risk of DVT following colpocleisis and to validate its performance.</p><p><strong>Patients and methods: </strong>This retrospective study included elderly patients who underwent colpocleisis for advanced POP between August 2019 and December 2024. Demographics, obstetric history, comorbidities, preoperative tests, and surgical details were analyzed. The primary endpoint was postoperative DVT, confirmed by ultrasound examination. Univariate and multivariable logistic regression analyses identified risk factors, which informed the development of a predictive nomogram-a graphical tool that translates statistical risk into a user-friendly format for individual prediction. Model performance was assessed using the area under the receiver operating characteristic curve (AUC), calibration curves, and decision curve analysis (DCA), which evaluates the net clinical benefit across threshold probabilities.</p><p><strong>Results: </strong>Of 307 patients, 8.8% (27/307) developed postoperative DVT. Multivariable analysis identified insulin-dependent diabetes, elevated preoperative cholesterol, and D-dimer levels as independent risk factors. The nomogram demonstrated strong discriminatory ability, with AUCs of 0.809 (95% confidence interval [CI]: 0.760-0.857) in the training set and 0.802 (95% CI: 0.752-0.852) in the validation set. At the optimal threshold (0.494), sensitivity was 0.725, specificity 0.848, positive predictive value (PPV) 0.805, and negative predictive value (NPV) 0.728. Calibration curves showed alignment between predicted and observed outcomes, while DCA demonstrated significant net benefit.</p><p><strong>Conclusion: </strong>This nomogram is a valuable tool for early DVT risk stratification in elderly colpocleisis patients. External validation in prospective multicenter studies is warranted.</p>\",\"PeriodicalId\":56009,\"journal\":{\"name\":\"Risk Management and Healthcare Policy\",\"volume\":\"18 \",\"pages\":\"3041-3050\"},\"PeriodicalIF\":2.0000,\"publicationDate\":\"2025-09-15\",\"publicationTypes\":\"Journal Article\",\"fieldsOfStudy\":null,\"isOpenAccess\":false,\"openAccessPdf\":\"https://www.ncbi.nlm.nih.gov/pmc/articles/PMC12447959/pdf/\",\"citationCount\":\"0\",\"resultStr\":null,\"platform\":\"Semanticscholar\",\"paperid\":null,\"PeriodicalName\":\"Risk Management and Healthcare Policy\",\"FirstCategoryId\":\"3\",\"ListUrlMain\":\"https://doi.org/10.2147/RMHP.S535933\",\"RegionNum\":4,\"RegionCategory\":\"医学\",\"ArticlePicture\":[],\"TitleCN\":null,\"AbstractTextCN\":null,\"PMCID\":null,\"EPubDate\":\"2025/1/1 0:00:00\",\"PubModel\":\"eCollection\",\"JCR\":\"Q2\",\"JCRName\":\"HEALTH CARE SCIENCES & SERVICES\",\"Score\":null,\"Total\":0}","platform":"Semanticscholar","paperid":null,"PeriodicalName":"Risk Management and Healthcare Policy","FirstCategoryId":"3","ListUrlMain":"https://doi.org/10.2147/RMHP.S535933","RegionNum":4,"RegionCategory":"医学","ArticlePicture":[],"TitleCN":null,"AbstractTextCN":null,"PMCID":null,"EPubDate":"2025/1/1 0:00:00","PubModel":"eCollection","JCR":"Q2","JCRName":"HEALTH CARE SCIENCES & SERVICES","Score":null,"Total":0}
引用次数: 0

摘要

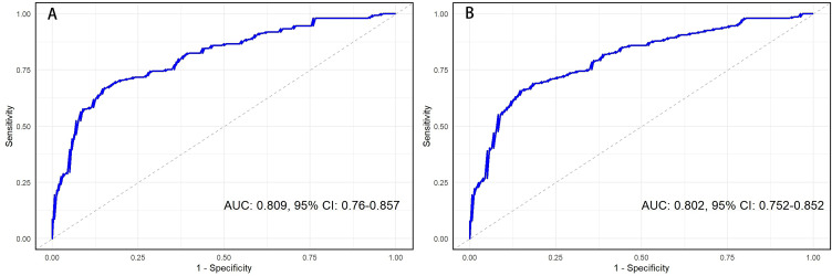
目的:阴道切开术是晚期盆腔器官脱垂(POP)的老年妇女的一种手术选择,通常合并并发症,增加术后深静脉血栓形成(DVT)的风险。目前缺乏预测这些患者术后深静脉血栓形成的有效工具。本研究旨在建立阴道破裂后DVT风险的预测模型并验证其性能。患者和方法:本回顾性研究包括2019年8月至2024年12月期间因晚期POP接受阴道冲洗术的老年患者。分析人口统计学、产科史、合并症、术前检查和手术细节。主要终点为术后DVT,超声检查证实。单变量和多变量逻辑回归分析确定了风险因素,这为预测norm图的发展提供了信息,这是一种将统计风险转化为个人预测的用户友好格式的图形工具。使用受试者工作特征曲线(AUC)、校准曲线和决策曲线分析(DCA)下的面积来评估模型的性能,该分析评估了跨阈值概率的净临床效益。结果:307例患者中,8.8%(27/307)发生了术后DVT。多变量分析确定胰岛素依赖型糖尿病、术前胆固醇升高和d -二聚体水平是独立的危险因素。nomogram表现出较强的判别能力,训练集的auc为0.809(95%置信区间[CI]: 0.760-0.857),验证集的auc为0.802(95%置信区间[CI]: 0.752-0.852)。在最佳阈值(0.494)下,敏感性为0.725,特异性为0.848,阳性预测值(PPV) 0.805,阴性预测值(NPV) 0.728。校准曲线显示预测和观察结果之间的一致性,而DCA显示出显著的净效益。结论:对老年阴道炎患者进行早期DVT风险分层是一种有价值的工具。前瞻性多中心研究的外部验证是必要的。
本文章由计算机程序翻译,如有差异,请以英文原文为准。

Development and Internal Validation of a Predictive Model for Deep Venous Thrombosis Following Colpocleisis in Elderly Patients with Pelvic Organ Prolapse.

Development and Internal Validation of a Predictive Model for Deep Venous Thrombosis Following Colpocleisis in Elderly Patients with Pelvic Organ Prolapse.

Development and Internal Validation of a Predictive Model for Deep Venous Thrombosis Following Colpocleisis in Elderly Patients with Pelvic Organ Prolapse.

Development and Internal Validation of a Predictive Model for Deep Venous Thrombosis Following Colpocleisis in Elderly Patients with Pelvic Organ Prolapse.

Purpose: Colpocleisis is a surgical option for elderly women with advanced pelvic organ prolapse (POP), often complicated by comorbidities that heighten postoperative deep venous thrombosis (DVT) risk. Effective tools for predicting postoperative DVT in these patients are lacking. This study aimed to develop a predictive model for the risk of DVT following colpocleisis and to validate its performance.

Patients and methods: This retrospective study included elderly patients who underwent colpocleisis for advanced POP between August 2019 and December 2024. Demographics, obstetric history, comorbidities, preoperative tests, and surgical details were analyzed. The primary endpoint was postoperative DVT, confirmed by ultrasound examination. Univariate and multivariable logistic regression analyses identified risk factors, which informed the development of a predictive nomogram-a graphical tool that translates statistical risk into a user-friendly format for individual prediction. Model performance was assessed using the area under the receiver operating characteristic curve (AUC), calibration curves, and decision curve analysis (DCA), which evaluates the net clinical benefit across threshold probabilities.

Results: Of 307 patients, 8.8% (27/307) developed postoperative DVT. Multivariable analysis identified insulin-dependent diabetes, elevated preoperative cholesterol, and D-dimer levels as independent risk factors. The nomogram demonstrated strong discriminatory ability, with AUCs of 0.809 (95% confidence interval [CI]: 0.760-0.857) in the training set and 0.802 (95% CI: 0.752-0.852) in the validation set. At the optimal threshold (0.494), sensitivity was 0.725, specificity 0.848, positive predictive value (PPV) 0.805, and negative predictive value (NPV) 0.728. Calibration curves showed alignment between predicted and observed outcomes, while DCA demonstrated significant net benefit.

Conclusion: This nomogram is a valuable tool for early DVT risk stratification in elderly colpocleisis patients. External validation in prospective multicenter studies is warranted.

求助全文
通过发布文献求助,成功后即可免费获取论文全文。 去求助
来源期刊
Risk Management and Healthcare Policy
Risk Management and Healthcare Policy Medicine-Public Health, Environmental and Occupational Health
CiteScore
6.20
自引率
2.90%
发文量
242
审稿时长
16 weeks
期刊介绍: Risk Management and Healthcare Policy is an international, peer-reviewed, open access journal focusing on all aspects of public health, policy and preventative measures to promote good health and improve morbidity and mortality in the population. Specific topics covered in the journal include: Public and community health Policy and law Preventative and predictive healthcare Risk and hazard management Epidemiology, detection and screening Lifestyle and diet modification Vaccination and disease transmission/modification programs Health and safety and occupational health Healthcare services provision Health literacy and education Advertising and promotion of health issues Health economic evaluations and resource management Risk Management and Healthcare Policy focuses on human interventional and observational research. The journal welcomes submitted papers covering original research, clinical and epidemiological studies, reviews and evaluations, guidelines, expert opinion and commentary, and extended reports. Case reports will only be considered if they make a valuable and original contribution to the literature. The journal does not accept study protocols, animal-based or cell line-based studies.
×
引用
GB/T 7714-2015
复制
MLA
复制
APA
复制
导出至
BibTeX EndNote RefMan NoteFirst NoteExpress
×
提示
您的信息不完整,为了账户安全,请先补充。
现在去补充
×
提示
您因"违规操作"
具体请查看互助需知
我知道了
×
提示
确定
请完成安全验证×
copy
已复制链接
快去分享给好友吧!
我知道了
右上角分享
点击右上角分享
0
联系我们:info@booksci.cn Book学术提供免费学术资源搜索服务,方便国内外学者检索中英文文献。致力于提供最便捷和优质的服务体验。 Copyright © 2023 布克学术 All rights reserved.
京ICP备2023020795号-1
ghs 京公网安备 11010802042870号
Book学术文献互助
Book学术文献互助群
群 号:604180095
Book学术官方微信