约旦医学生对病理学教育的认知:一项横断面研究。

IF 1.6 Q2 EDUCATION, SCIENTIFIC DISCIPLINES
Nesreen Bataineh, Mohammad Abdulhameed Alqudah, Anwar Rjoop, Maram Abdaljaleel, Mai Obeidat
{"title":"约旦医学生对病理学教育的认知:一项横断面研究。","authors":"Nesreen Bataineh, Mohammad Abdulhameed Alqudah, Anwar Rjoop, Maram Abdaljaleel, Mai Obeidat","doi":"10.1177/23821205251377848","DOIUrl":null,"url":null,"abstract":"<p><strong>Background: </strong>It is not entirely understood how medical students make their future career decisions or what influences them. Furthermore, the factors that affect the perception of pathology as a future career are diverse and related to the exposure of medical students to pathology education in their first 3 years in medical school.</p><p><strong>Aim of the study: </strong>We aim to assess how medical students in Jordanian Universities perceive pathology as a potential job and the variables influencing their decisions. To identify the preferred medical specialties among medical students in Jordan.</p><p><strong>Materials and methods: </strong>An observational cross-sectional study was conducted on a randomly selected sample of students from the faculties of medicine at Jordanian universities, including those in the second to sixth year and recently graduated students. Data was collected via a web-based self-administered questionnaire. Descriptive statistics were employed to summarize the responses. Pearson's Chi-squared test and Fisher's exact test were utilized for variable assessment. Statistical significance was defined as a <i>P</i>-value of <.05. All statistical analyses were performed in R 4.4.2 (Vienna, Austria).</p><p><strong>Results: </strong>When comparing students based on their perceived adequacy of pathology training in the first 3 years of medical school, several significant differences emerged across key characteristics: the understanding of the pathologist's job, case-based learning led by pathologists, ratings for a separate pathology course, and the perception of pathologists as introverts. On the other hand, no statistically significant differences were found in age, gender, secondary school background, or whether students considered pathology as a future specialty across the different training exposure groups.</p>","PeriodicalId":45121,"journal":{"name":"Journal of Medical Education and Curricular Development","volume":"12 ","pages":"23821205251377848"},"PeriodicalIF":1.6000,"publicationDate":"2025-09-18","publicationTypes":"Journal Article","fieldsOfStudy":null,"isOpenAccess":false,"openAccessPdf":"https://www.ncbi.nlm.nih.gov/pmc/articles/PMC12446856/pdf/","citationCount":"0","resultStr":"{\"title\":\"Medical Students' Perceptions of Pathology Education in Jordan: A Cross-Sectional Study.\",\"authors\":\"Nesreen Bataineh, Mohammad Abdulhameed Alqudah, Anwar Rjoop, Maram Abdaljaleel, Mai Obeidat\",\"doi\":\"10.1177/23821205251377848\",\"DOIUrl\":null,\"url\":null,\"abstract\":\"<p><strong>Background: </strong>It is not entirely understood how medical students make their future career decisions or what influences them. Furthermore, the factors that affect the perception of pathology as a future career are diverse and related to the exposure of medical students to pathology education in their first 3 years in medical school.</p><p><strong>Aim of the study: </strong>We aim to assess how medical students in Jordanian Universities perceive pathology as a potential job and the variables influencing their decisions. To identify the preferred medical specialties among medical students in Jordan.</p><p><strong>Materials and methods: </strong>An observational cross-sectional study was conducted on a randomly selected sample of students from the faculties of medicine at Jordanian universities, including those in the second to sixth year and recently graduated students. Data was collected via a web-based self-administered questionnaire. Descriptive statistics were employed to summarize the responses. Pearson's Chi-squared test and Fisher's exact test were utilized for variable assessment. Statistical significance was defined as a <i>P</i>-value of <.05. All statistical analyses were performed in R 4.4.2 (Vienna, Austria).</p><p><strong>Results: </strong>When comparing students based on their perceived adequacy of pathology training in the first 3 years of medical school, several significant differences emerged across key characteristics: the understanding of the pathologist's job, case-based learning led by pathologists, ratings for a separate pathology course, and the perception of pathologists as introverts. On the other hand, no statistically significant differences were found in age, gender, secondary school background, or whether students considered pathology as a future specialty across the different training exposure groups.</p>\",\"PeriodicalId\":45121,\"journal\":{\"name\":\"Journal of Medical Education and Curricular Development\",\"volume\":\"12 \",\"pages\":\"23821205251377848\"},\"PeriodicalIF\":1.6000,\"publicationDate\":\"2025-09-18\",\"publicationTypes\":\"Journal Article\",\"fieldsOfStudy\":null,\"isOpenAccess\":false,\"openAccessPdf\":\"https://www.ncbi.nlm.nih.gov/pmc/articles/PMC12446856/pdf/\",\"citationCount\":\"0\",\"resultStr\":null,\"platform\":\"Semanticscholar\",\"paperid\":null,\"PeriodicalName\":\"Journal of Medical Education and Curricular Development\",\"FirstCategoryId\":\"1085\",\"ListUrlMain\":\"https://doi.org/10.1177/23821205251377848\",\"RegionNum\":0,\"RegionCategory\":null,\"ArticlePicture\":[],\"TitleCN\":null,\"AbstractTextCN\":null,\"PMCID\":null,\"EPubDate\":\"2025/1/1 0:00:00\",\"PubModel\":\"eCollection\",\"JCR\":\"Q2\",\"JCRName\":\"EDUCATION, SCIENTIFIC DISCIPLINES\",\"Score\":null,\"Total\":0}","platform":"Semanticscholar","paperid":null,"PeriodicalName":"Journal of Medical Education and Curricular Development","FirstCategoryId":"1085","ListUrlMain":"https://doi.org/10.1177/23821205251377848","RegionNum":0,"RegionCategory":null,"ArticlePicture":[],"TitleCN":null,"AbstractTextCN":null,"PMCID":null,"EPubDate":"2025/1/1 0:00:00","PubModel":"eCollection","JCR":"Q2","JCRName":"EDUCATION, SCIENTIFIC DISCIPLINES","Score":null,"Total":0}
引用次数: 0

摘要

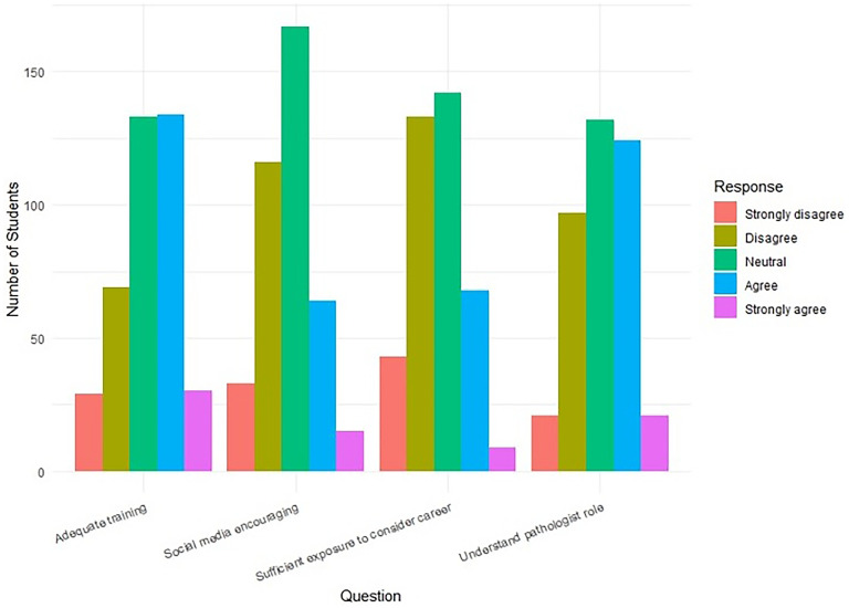
背景:目前还不完全了解医学生如何做出他们未来的职业决定或影响他们的因素。此外,影响病理学作为未来职业的因素是多种多样的,并且与医学生在医学院前三年接受病理学教育的程度有关。研究目的:我们旨在评估约旦大学的医学生如何将病理学视为一份潜在的工作,以及影响他们决定的变量。确定约旦医学生的首选医学专业。材料和方法:对约旦大学医学院随机抽取的学生样本进行了一项观察性横断面研究,其中包括二年级至六年级的学生和刚毕业的学生。数据通过基于网络的自我管理问卷收集。采用描述性统计对调查结果进行总结。变量评估采用Pearson卡方检验和Fisher精确检验。统计显著性被定义为结果的p值:当比较学生在医学院前3年的病理学训练的感知充分性时,在关键特征上出现了几个显著差异:对病理学家工作的理解,由病理学家领导的基于案例的学习,对单独病理学课程的评分,以及病理学家作为内向者的感知。另一方面,在不同的训练暴露组中,在年龄、性别、中学背景或学生是否将病理学视为未来专业方面没有统计学上的显著差异。
本文章由计算机程序翻译,如有差异,请以英文原文为准。

Medical Students' Perceptions of Pathology Education in Jordan: A Cross-Sectional Study.

Medical Students' Perceptions of Pathology Education in Jordan: A Cross-Sectional Study.

Medical Students' Perceptions of Pathology Education in Jordan: A Cross-Sectional Study.

Medical Students' Perceptions of Pathology Education in Jordan: A Cross-Sectional Study.

Background: It is not entirely understood how medical students make their future career decisions or what influences them. Furthermore, the factors that affect the perception of pathology as a future career are diverse and related to the exposure of medical students to pathology education in their first 3 years in medical school.

Aim of the study: We aim to assess how medical students in Jordanian Universities perceive pathology as a potential job and the variables influencing their decisions. To identify the preferred medical specialties among medical students in Jordan.

Materials and methods: An observational cross-sectional study was conducted on a randomly selected sample of students from the faculties of medicine at Jordanian universities, including those in the second to sixth year and recently graduated students. Data was collected via a web-based self-administered questionnaire. Descriptive statistics were employed to summarize the responses. Pearson's Chi-squared test and Fisher's exact test were utilized for variable assessment. Statistical significance was defined as a P-value of <.05. All statistical analyses were performed in R 4.4.2 (Vienna, Austria).

Results: When comparing students based on their perceived adequacy of pathology training in the first 3 years of medical school, several significant differences emerged across key characteristics: the understanding of the pathologist's job, case-based learning led by pathologists, ratings for a separate pathology course, and the perception of pathologists as introverts. On the other hand, no statistically significant differences were found in age, gender, secondary school background, or whether students considered pathology as a future specialty across the different training exposure groups.

求助全文
通过发布文献求助,成功后即可免费获取论文全文。 去求助
来源期刊
Journal of Medical Education and Curricular Development
Journal of Medical Education and Curricular Development EDUCATION, SCIENTIFIC DISCIPLINES-
自引率
0.00%
发文量
62
审稿时长
8 weeks
×
引用
GB/T 7714-2015
复制
MLA
复制
APA
复制
导出至
BibTeX EndNote RefMan NoteFirst NoteExpress
×
提示
您的信息不完整,为了账户安全,请先补充。
现在去补充
×
提示
您因"违规操作"
具体请查看互助需知
我知道了
×
提示
确定
请完成安全验证×
copy
已复制链接
快去分享给好友吧!
我知道了
右上角分享
点击右上角分享
0
联系我们:info@booksci.cn Book学术提供免费学术资源搜索服务,方便国内外学者检索中英文文献。致力于提供最便捷和优质的服务体验。 Copyright © 2023 布克学术 All rights reserved.
京ICP备2023020795号-1
ghs 京公网安备 11010802042870号
Book学术文献互助
Book学术文献互助群
群 号:604180095
Book学术官方微信