高分辨率食道压力测量在评估口咽吞咽困难中的应用。

IF 1.8 Q2 OTORHINOLARYNGOLOGY
OTO Open Pub Date : 2025-09-18 eCollection Date: 2025-07-01 DOI:10.1002/oto2.70168
David Ahmadian, Phil Tseng, Avin Aggarwal, Austin Lever, Kathleen Cazzato, Helena Yip
{"title":"高分辨率食道压力测量在评估口咽吞咽困难中的应用。","authors":"David Ahmadian, Phil Tseng, Avin Aggarwal, Austin Lever, Kathleen Cazzato, Helena Yip","doi":"10.1002/oto2.70168","DOIUrl":null,"url":null,"abstract":"<p><strong>Objective: </strong>Evaluate the utility of high-resolution esophageal manometry (HREM) in patients with symptoms of oropharyngeal dysphagia (OD) but unremarkable Modified Barium Swallow Studies (MBSS).</p><p><strong>Study design: </strong>Retrospective cohort study.</p><p><strong>Setting: </strong>Tertiary academic center.</p><p><strong>Methods: </strong>A retrospective review was conducted on patients with symptoms of oropharyngeal dysphagia from January 2021 to December 2024. Demographics, symptoms, and Charlson Comorbidity Index scores were recorded. Patients with unremarkable MBSS then underwent HREM. HREM data based on the Chicago Classification V 3.0 were analyzed, including mean residual upper esophageal sphincter (UES) pressure, median lower esophageal sphincter (LES) pressure, and ineffective swallow rates, using <i>T</i>-tests, and Chi-Squared tests.</p><p><strong>Results: </strong>Among 29 patients (mean age 53.2 years, 48.7% female), HREM findings showed mean residual UES pressure of -0.5 mmHg, median residual LES pressure of 13.9 mmHg, and 22.9% ineffective swallows. Esophageal pathologies (ineffective esophageal motility or esophagogastric junction outflow obstruction) were identified in 58.6% of cases. Symptom-specific differences in esophageal motility disorders were not statistically significant.</p><p><strong>Conclusion: </strong>HREM identified esophageal pathologies in 58.6% of patients with OD symptoms and normal MBSS, highlighting its value in the diagnostic workup of oropharyngeal dysphagia. The overlap of symptoms between oropharyngeal and esophageal motility disorders supports integrating HREM for comprehensive evaluation.</p><p><strong>Level of evidence: </strong>4.</p>","PeriodicalId":19697,"journal":{"name":"OTO Open","volume":"9 3","pages":"e70168"},"PeriodicalIF":1.8000,"publicationDate":"2025-09-18","publicationTypes":"Journal Article","fieldsOfStudy":null,"isOpenAccess":false,"openAccessPdf":"https://www.ncbi.nlm.nih.gov/pmc/articles/PMC12445191/pdf/","citationCount":"0","resultStr":"{\"title\":\"Utility of High-Resolution Esophageal Manometry in the Evaluation of Presumed Oropharyngeal Dysphagia.\",\"authors\":\"David Ahmadian, Phil Tseng, Avin Aggarwal, Austin Lever, Kathleen Cazzato, Helena Yip\",\"doi\":\"10.1002/oto2.70168\",\"DOIUrl\":null,\"url\":null,\"abstract\":\"<p><strong>Objective: </strong>Evaluate the utility of high-resolution esophageal manometry (HREM) in patients with symptoms of oropharyngeal dysphagia (OD) but unremarkable Modified Barium Swallow Studies (MBSS).</p><p><strong>Study design: </strong>Retrospective cohort study.</p><p><strong>Setting: </strong>Tertiary academic center.</p><p><strong>Methods: </strong>A retrospective review was conducted on patients with symptoms of oropharyngeal dysphagia from January 2021 to December 2024. Demographics, symptoms, and Charlson Comorbidity Index scores were recorded. Patients with unremarkable MBSS then underwent HREM. HREM data based on the Chicago Classification V 3.0 were analyzed, including mean residual upper esophageal sphincter (UES) pressure, median lower esophageal sphincter (LES) pressure, and ineffective swallow rates, using <i>T</i>-tests, and Chi-Squared tests.</p><p><strong>Results: </strong>Among 29 patients (mean age 53.2 years, 48.7% female), HREM findings showed mean residual UES pressure of -0.5 mmHg, median residual LES pressure of 13.9 mmHg, and 22.9% ineffective swallows. Esophageal pathologies (ineffective esophageal motility or esophagogastric junction outflow obstruction) were identified in 58.6% of cases. Symptom-specific differences in esophageal motility disorders were not statistically significant.</p><p><strong>Conclusion: </strong>HREM identified esophageal pathologies in 58.6% of patients with OD symptoms and normal MBSS, highlighting its value in the diagnostic workup of oropharyngeal dysphagia. The overlap of symptoms between oropharyngeal and esophageal motility disorders supports integrating HREM for comprehensive evaluation.</p><p><strong>Level of evidence: </strong>4.</p>\",\"PeriodicalId\":19697,\"journal\":{\"name\":\"OTO Open\",\"volume\":\"9 3\",\"pages\":\"e70168\"},\"PeriodicalIF\":1.8000,\"publicationDate\":\"2025-09-18\",\"publicationTypes\":\"Journal Article\",\"fieldsOfStudy\":null,\"isOpenAccess\":false,\"openAccessPdf\":\"https://www.ncbi.nlm.nih.gov/pmc/articles/PMC12445191/pdf/\",\"citationCount\":\"0\",\"resultStr\":null,\"platform\":\"Semanticscholar\",\"paperid\":null,\"PeriodicalName\":\"OTO Open\",\"FirstCategoryId\":\"1085\",\"ListUrlMain\":\"https://doi.org/10.1002/oto2.70168\",\"RegionNum\":0,\"RegionCategory\":null,\"ArticlePicture\":[],\"TitleCN\":null,\"AbstractTextCN\":null,\"PMCID\":null,\"EPubDate\":\"2025/7/1 0:00:00\",\"PubModel\":\"eCollection\",\"JCR\":\"Q2\",\"JCRName\":\"OTORHINOLARYNGOLOGY\",\"Score\":null,\"Total\":0}","platform":"Semanticscholar","paperid":null,"PeriodicalName":"OTO Open","FirstCategoryId":"1085","ListUrlMain":"https://doi.org/10.1002/oto2.70168","RegionNum":0,"RegionCategory":null,"ArticlePicture":[],"TitleCN":null,"AbstractTextCN":null,"PMCID":null,"EPubDate":"2025/7/1 0:00:00","PubModel":"eCollection","JCR":"Q2","JCRName":"OTORHINOLARYNGOLOGY","Score":null,"Total":0}
引用次数: 0

摘要

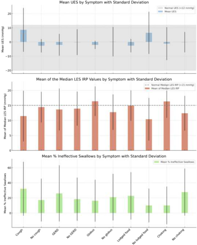
目的:评价高分辨率食管测压仪(HREM)在有口咽吞咽困难(OD)症状但效果不显著的患者中的应用。研究设计:回顾性队列研究。环境:高等教育学术中心。方法:对2021年1月至2024年12月出现口咽吞咽困难症状的患者进行回顾性分析。记录人口统计学、症状和Charlson合并症指数得分。无明显MBSS的患者进行HREM。采用t检验和Chi-Squared检验对基于芝加哥分类V 3.0的HREM数据进行分析,包括平均残余食管上括约肌(UES)压力、食管下括约肌(LES)压力中位数和无效吞咽率。结果:29例患者(平均年龄53.2岁,女性48.7%),HREM结果显示UES平均残余压力为-0.5 mmHg, LES中位残余压力为13.9 mmHg, 22.9%无效吞咽。58.6%的病例有食道病变(食管运动障碍或食管胃交界流出梗阻)。食管运动障碍的症状特异性差异无统计学意义。结论:在有OD症状和MBSS正常的患者中,58.6%的HREM能识别出食管病变,突出了其在口咽吞咽困难诊断中的价值。口咽和食管运动障碍症状的重叠支持整合HREM进行综合评估。证据等级:4。
本文章由计算机程序翻译,如有差异,请以英文原文为准。

Utility of High-Resolution Esophageal Manometry in the Evaluation of Presumed Oropharyngeal Dysphagia.

Utility of High-Resolution Esophageal Manometry in the Evaluation of Presumed Oropharyngeal Dysphagia.

Objective: Evaluate the utility of high-resolution esophageal manometry (HREM) in patients with symptoms of oropharyngeal dysphagia (OD) but unremarkable Modified Barium Swallow Studies (MBSS).

Study design: Retrospective cohort study.

Setting: Tertiary academic center.

Methods: A retrospective review was conducted on patients with symptoms of oropharyngeal dysphagia from January 2021 to December 2024. Demographics, symptoms, and Charlson Comorbidity Index scores were recorded. Patients with unremarkable MBSS then underwent HREM. HREM data based on the Chicago Classification V 3.0 were analyzed, including mean residual upper esophageal sphincter (UES) pressure, median lower esophageal sphincter (LES) pressure, and ineffective swallow rates, using T-tests, and Chi-Squared tests.

Results: Among 29 patients (mean age 53.2 years, 48.7% female), HREM findings showed mean residual UES pressure of -0.5 mmHg, median residual LES pressure of 13.9 mmHg, and 22.9% ineffective swallows. Esophageal pathologies (ineffective esophageal motility or esophagogastric junction outflow obstruction) were identified in 58.6% of cases. Symptom-specific differences in esophageal motility disorders were not statistically significant.

Conclusion: HREM identified esophageal pathologies in 58.6% of patients with OD symptoms and normal MBSS, highlighting its value in the diagnostic workup of oropharyngeal dysphagia. The overlap of symptoms between oropharyngeal and esophageal motility disorders supports integrating HREM for comprehensive evaluation.

Level of evidence: 4.

求助全文
通过发布文献求助,成功后即可免费获取论文全文。 去求助
来源期刊
OTO Open
OTO Open Medicine-Surgery
CiteScore
2.70
自引率
0.00%
发文量
115
审稿时长
15 weeks
×
引用
GB/T 7714-2015
复制
MLA
复制
APA
复制
导出至
BibTeX EndNote RefMan NoteFirst NoteExpress
×
提示
您的信息不完整,为了账户安全,请先补充。
现在去补充
×
提示
您因"违规操作"
具体请查看互助需知
我知道了
×
提示
确定
请完成安全验证×
copy
已复制链接
快去分享给好友吧!
我知道了
右上角分享
点击右上角分享
0
联系我们:info@booksci.cn Book学术提供免费学术资源搜索服务,方便国内外学者检索中英文文献。致力于提供最便捷和优质的服务体验。 Copyright © 2023 布克学术 All rights reserved.
京ICP备2023020795号-1
ghs 京公网安备 11010802042870号
Book学术文献互助
Book学术文献互助群
群 号:604180095
Book学术官方微信