基层:利用与使命一致的发展计划来加强学术健康中心。

IF 2 Q3 MEDICINE, RESEARCH & EXPERIMENTAL
Journal of Clinical and Translational Science Pub Date : 2025-08-07 eCollection Date: 2025-01-01 DOI:10.1017/cts.2025.10100
Jennifer A Croker, Keith A Jones, Anupam Agarwal, David T Redden, Robert P Kimberly
{"title":"基层:利用与使命一致的发展计划来加强学术健康中心。","authors":"Jennifer A Croker, Keith A Jones, Anupam Agarwal, David T Redden, Robert P Kimberly","doi":"10.1017/cts.2025.10100","DOIUrl":null,"url":null,"abstract":"<p><p>Academic health centers (AHC) characterized by an integrated mission serving education, research and clinical care reflect these values in the institution's vision, decision-making and culture. Embracing this strategy, the University of Alabama at Birmingham (UAB) created a novel, competitive funding initiative through its faculty practice with the Health Services Foundation General Endowment Fund (HSF-GEF). This partnership with the faculty practice leveraged faculty and staff creativity to inform and lead capacity-building and innovation in patient-oriented and laboratory research, clinical care development and education aligned with the best interests of the enterprise. Since 1996, the HSF-GEF has invested over $66M in 442 peer-reviewed proposals led by transdisciplinary teams representing strategic advances with strong potential to generate future extramural support, to improve healthcare delivery, to enhance research capacity and to promote active learning. Beyond financial return on investment, program evaluation revealed benefit on culture, collaboration, camaraderie and infrastructure. By engaging the broad workforce to articulate, select and implement projects, UAB has fostered a purpose-driven culture of collaboration within the AHC that thrives on broad representation, enthusiasm, and ingenuity as well as peer engagement across multiple schools in the academic community.</p>","PeriodicalId":15529,"journal":{"name":"Journal of Clinical and Translational Science","volume":"9 1","pages":"e187"},"PeriodicalIF":2.0000,"publicationDate":"2025-08-07","publicationTypes":"Journal Article","fieldsOfStudy":null,"isOpenAccess":false,"openAccessPdf":"https://www.ncbi.nlm.nih.gov/pmc/articles/PMC12444703/pdf/","citationCount":"0","resultStr":"{\"title\":\"Grassroots: Leveraging mission-aligned developmental programs to enhance the academic health center.\",\"authors\":\"Jennifer A Croker, Keith A Jones, Anupam Agarwal, David T Redden, Robert P Kimberly\",\"doi\":\"10.1017/cts.2025.10100\",\"DOIUrl\":null,\"url\":null,\"abstract\":\"<p><p>Academic health centers (AHC) characterized by an integrated mission serving education, research and clinical care reflect these values in the institution's vision, decision-making and culture. Embracing this strategy, the University of Alabama at Birmingham (UAB) created a novel, competitive funding initiative through its faculty practice with the Health Services Foundation General Endowment Fund (HSF-GEF). This partnership with the faculty practice leveraged faculty and staff creativity to inform and lead capacity-building and innovation in patient-oriented and laboratory research, clinical care development and education aligned with the best interests of the enterprise. Since 1996, the HSF-GEF has invested over $66M in 442 peer-reviewed proposals led by transdisciplinary teams representing strategic advances with strong potential to generate future extramural support, to improve healthcare delivery, to enhance research capacity and to promote active learning. Beyond financial return on investment, program evaluation revealed benefit on culture, collaboration, camaraderie and infrastructure. By engaging the broad workforce to articulate, select and implement projects, UAB has fostered a purpose-driven culture of collaboration within the AHC that thrives on broad representation, enthusiasm, and ingenuity as well as peer engagement across multiple schools in the academic community.</p>\",\"PeriodicalId\":15529,\"journal\":{\"name\":\"Journal of Clinical and Translational Science\",\"volume\":\"9 1\",\"pages\":\"e187\"},\"PeriodicalIF\":2.0000,\"publicationDate\":\"2025-08-07\",\"publicationTypes\":\"Journal Article\",\"fieldsOfStudy\":null,\"isOpenAccess\":false,\"openAccessPdf\":\"https://www.ncbi.nlm.nih.gov/pmc/articles/PMC12444703/pdf/\",\"citationCount\":\"0\",\"resultStr\":null,\"platform\":\"Semanticscholar\",\"paperid\":null,\"PeriodicalName\":\"Journal of Clinical and Translational Science\",\"FirstCategoryId\":\"1085\",\"ListUrlMain\":\"https://doi.org/10.1017/cts.2025.10100\",\"RegionNum\":0,\"RegionCategory\":null,\"ArticlePicture\":[],\"TitleCN\":null,\"AbstractTextCN\":null,\"PMCID\":null,\"EPubDate\":\"2025/1/1 0:00:00\",\"PubModel\":\"eCollection\",\"JCR\":\"Q3\",\"JCRName\":\"MEDICINE, RESEARCH & EXPERIMENTAL\",\"Score\":null,\"Total\":0}","platform":"Semanticscholar","paperid":null,"PeriodicalName":"Journal of Clinical and Translational Science","FirstCategoryId":"1085","ListUrlMain":"https://doi.org/10.1017/cts.2025.10100","RegionNum":0,"RegionCategory":null,"ArticlePicture":[],"TitleCN":null,"AbstractTextCN":null,"PMCID":null,"EPubDate":"2025/1/1 0:00:00","PubModel":"eCollection","JCR":"Q3","JCRName":"MEDICINE, RESEARCH & EXPERIMENTAL","Score":null,"Total":0}
引用次数: 0

摘要

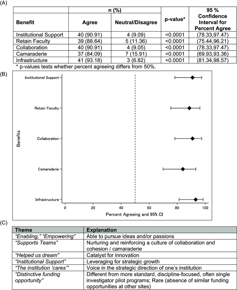
学术健康中心(AHC)以服务于教育、研究和临床护理的综合使命为特征,在机构的愿景、决策和文化中反映了这些价值观。采用这一策略,阿拉巴马大学伯明翰分校(UAB)通过其教师实践与卫生服务基金会普通捐赠基金(HSF-GEF)建立了一项新颖的竞争性资助计划。这种与教师实践的合作利用了教师和员工的创造力,在以患者为导向的实验室研究、临床护理发展和教育方面,为企业的最佳利益提供信息和领导能力建设和创新。自1996年以来,HSF-GEF已投资超过6600万美元,用于442项由跨学科团队领导的同行评审提案,这些提案代表了具有强大潜力的战略进展,可以产生未来的外部支持,改善医疗保健服务,增强研究能力和促进主动学习。除了投资的经济回报,项目评估还揭示了文化、合作、友情和基础设施方面的好处。通过让广泛的员工参与表达、选择和实施项目,UAB在AHC内部培养了一种以目标为导向的合作文化,这种文化在学术界多所学校的广泛代表性、热情和独创性以及同行参与中蓬勃发展。
本文章由计算机程序翻译,如有差异,请以英文原文为准。

Grassroots: Leveraging mission-aligned developmental programs to enhance the academic health center.

Grassroots: Leveraging mission-aligned developmental programs to enhance the academic health center.

Grassroots: Leveraging mission-aligned developmental programs to enhance the academic health center.

Grassroots: Leveraging mission-aligned developmental programs to enhance the academic health center.

Academic health centers (AHC) characterized by an integrated mission serving education, research and clinical care reflect these values in the institution's vision, decision-making and culture. Embracing this strategy, the University of Alabama at Birmingham (UAB) created a novel, competitive funding initiative through its faculty practice with the Health Services Foundation General Endowment Fund (HSF-GEF). This partnership with the faculty practice leveraged faculty and staff creativity to inform and lead capacity-building and innovation in patient-oriented and laboratory research, clinical care development and education aligned with the best interests of the enterprise. Since 1996, the HSF-GEF has invested over $66M in 442 peer-reviewed proposals led by transdisciplinary teams representing strategic advances with strong potential to generate future extramural support, to improve healthcare delivery, to enhance research capacity and to promote active learning. Beyond financial return on investment, program evaluation revealed benefit on culture, collaboration, camaraderie and infrastructure. By engaging the broad workforce to articulate, select and implement projects, UAB has fostered a purpose-driven culture of collaboration within the AHC that thrives on broad representation, enthusiasm, and ingenuity as well as peer engagement across multiple schools in the academic community.

求助全文
通过发布文献求助,成功后即可免费获取论文全文。 去求助
来源期刊
Journal of Clinical and Translational Science
Journal of Clinical and Translational Science MEDICINE, RESEARCH & EXPERIMENTAL-
CiteScore
2.80
自引率
26.90%
发文量
437
审稿时长
18 weeks
×
引用
GB/T 7714-2015
复制
MLA
复制
APA
复制
导出至
BibTeX EndNote RefMan NoteFirst NoteExpress
×
提示
您的信息不完整,为了账户安全,请先补充。
现在去补充
×
提示
您因"违规操作"
具体请查看互助需知
我知道了
×
提示
确定
请完成安全验证×
copy
已复制链接
快去分享给好友吧!
我知道了
右上角分享
点击右上角分享
0
联系我们:info@booksci.cn Book学术提供免费学术资源搜索服务,方便国内外学者检索中英文文献。致力于提供最便捷和优质的服务体验。 Copyright © 2023 布克学术 All rights reserved.
京ICP备2023020795号-1
ghs 京公网安备 11010802042870号
Book学术文献互助
Book学术文献互助群
群 号:604180095
Book学术官方微信