甘油三酯-葡萄糖指数与n端前b型利钠肽和中老年人群死亡率的关系

IF 4.6 2区 医学 Q2 ENDOCRINOLOGY & METABOLISM
Frontiers in Endocrinology Pub Date : 2025-09-15 eCollection Date: 2025-01-01 DOI:10.3389/fendo.2025.1657724
Haitao Xie, Le Shen, Jianghong Li, Chuxin Lv, Tong Sun, Peng Yu, Xiaohu Chen, Shuhua Tang
{"title":"甘油三酯-葡萄糖指数与n端前b型利钠肽和中老年人群死亡率的关系","authors":"Haitao Xie, Le Shen, Jianghong Li, Chuxin Lv, Tong Sun, Peng Yu, Xiaohu Chen, Shuhua Tang","doi":"10.3389/fendo.2025.1657724","DOIUrl":null,"url":null,"abstract":"<p><strong>Background: </strong>The triglyceride-glucose (TYG) index is a simple marker for insulin resistance (IR). However, its relationship with elevated NT-proBNP levels is not well understood in middle-aged and elderly individuals without known cardiovascular diseases (CVD).</p><p><strong>Methods: </strong>The study cohort data were derived from National Health and Nutrition Examination Survey (NHANES) and inpatients of the Department of Cardiology at Jiangsu Provincial Hospital of Traditional Chinese Medicine (JSHTCM). Multivariable logistic regression was employed to assess the relationship between the TYG index and elevated NT-proBNP. Multivariable Cox proportional hazards models were used to estimate the adjusted risk ratio of the TYG index for all-cause mortality. Furthermore, restricted cubic spline (RCS) plots were generated to visually represent the linear or non-linear relationships between the TYG index and elevated NT-proBNP as well as all-cause mortality.</p><p><strong>Results: </strong>The age-standardized prevalence of elevated NT-proBNP among middle-aged and elderly individuals was 29.21% in females and 17.08% in males. A negative correlation was observed between the TYG index and elevated NT-proBNP, study cohort 1: [T3 vs T1: OR (95% CI): 0.73 (0.55, 0.96), <i>p</i> for trend= 0.027]; study cohort 2: [β (95% CI): -37.58 (-59.11, -16.06), <i>p</i> for trend=0.002]. Each unit increase in the TYG index is correlated with a 25% increase in the adjusted risk of all-cause mortality [HR (95% CI): 1.25 (1.08, 1.44), <i>p</i>=0.003]. The RCS plots supported the multivariate regression model findings.</p><p><strong>Conclusions: </strong>The TYG index level is negatively correlated with the incidence of elevated NT-proBNP and is associated with all-cause mortality, regardless of the presence of elevated NT-proBNP.</p>","PeriodicalId":12447,"journal":{"name":"Frontiers in Endocrinology","volume":"16 ","pages":"1657724"},"PeriodicalIF":4.6000,"publicationDate":"2025-09-15","publicationTypes":"Journal Article","fieldsOfStudy":null,"isOpenAccess":false,"openAccessPdf":"https://www.ncbi.nlm.nih.gov/pmc/articles/PMC12444021/pdf/","citationCount":"0","resultStr":"{\"title\":\"Associations of triglyceride-glucose index with N-terminal pro-B-type natriuretic peptide and mortality in middle-aged and elderly individuals.\",\"authors\":\"Haitao Xie, Le Shen, Jianghong Li, Chuxin Lv, Tong Sun, Peng Yu, Xiaohu Chen, Shuhua Tang\",\"doi\":\"10.3389/fendo.2025.1657724\",\"DOIUrl\":null,\"url\":null,\"abstract\":\"<p><strong>Background: </strong>The triglyceride-glucose (TYG) index is a simple marker for insulin resistance (IR). However, its relationship with elevated NT-proBNP levels is not well understood in middle-aged and elderly individuals without known cardiovascular diseases (CVD).</p><p><strong>Methods: </strong>The study cohort data were derived from National Health and Nutrition Examination Survey (NHANES) and inpatients of the Department of Cardiology at Jiangsu Provincial Hospital of Traditional Chinese Medicine (JSHTCM). Multivariable logistic regression was employed to assess the relationship between the TYG index and elevated NT-proBNP. Multivariable Cox proportional hazards models were used to estimate the adjusted risk ratio of the TYG index for all-cause mortality. Furthermore, restricted cubic spline (RCS) plots were generated to visually represent the linear or non-linear relationships between the TYG index and elevated NT-proBNP as well as all-cause mortality.</p><p><strong>Results: </strong>The age-standardized prevalence of elevated NT-proBNP among middle-aged and elderly individuals was 29.21% in females and 17.08% in males. A negative correlation was observed between the TYG index and elevated NT-proBNP, study cohort 1: [T3 vs T1: OR (95% CI): 0.73 (0.55, 0.96), <i>p</i> for trend= 0.027]; study cohort 2: [β (95% CI): -37.58 (-59.11, -16.06), <i>p</i> for trend=0.002]. Each unit increase in the TYG index is correlated with a 25% increase in the adjusted risk of all-cause mortality [HR (95% CI): 1.25 (1.08, 1.44), <i>p</i>=0.003]. The RCS plots supported the multivariate regression model findings.</p><p><strong>Conclusions: </strong>The TYG index level is negatively correlated with the incidence of elevated NT-proBNP and is associated with all-cause mortality, regardless of the presence of elevated NT-proBNP.</p>\",\"PeriodicalId\":12447,\"journal\":{\"name\":\"Frontiers in Endocrinology\",\"volume\":\"16 \",\"pages\":\"1657724\"},\"PeriodicalIF\":4.6000,\"publicationDate\":\"2025-09-15\",\"publicationTypes\":\"Journal Article\",\"fieldsOfStudy\":null,\"isOpenAccess\":false,\"openAccessPdf\":\"https://www.ncbi.nlm.nih.gov/pmc/articles/PMC12444021/pdf/\",\"citationCount\":\"0\",\"resultStr\":null,\"platform\":\"Semanticscholar\",\"paperid\":null,\"PeriodicalName\":\"Frontiers in Endocrinology\",\"FirstCategoryId\":\"3\",\"ListUrlMain\":\"https://doi.org/10.3389/fendo.2025.1657724\",\"RegionNum\":2,\"RegionCategory\":\"医学\",\"ArticlePicture\":[],\"TitleCN\":null,\"AbstractTextCN\":null,\"PMCID\":null,\"EPubDate\":\"2025/1/1 0:00:00\",\"PubModel\":\"eCollection\",\"JCR\":\"Q2\",\"JCRName\":\"ENDOCRINOLOGY & METABOLISM\",\"Score\":null,\"Total\":0}","platform":"Semanticscholar","paperid":null,"PeriodicalName":"Frontiers in Endocrinology","FirstCategoryId":"3","ListUrlMain":"https://doi.org/10.3389/fendo.2025.1657724","RegionNum":2,"RegionCategory":"医学","ArticlePicture":[],"TitleCN":null,"AbstractTextCN":null,"PMCID":null,"EPubDate":"2025/1/1 0:00:00","PubModel":"eCollection","JCR":"Q2","JCRName":"ENDOCRINOLOGY & METABOLISM","Score":null,"Total":0}
引用次数: 0

摘要

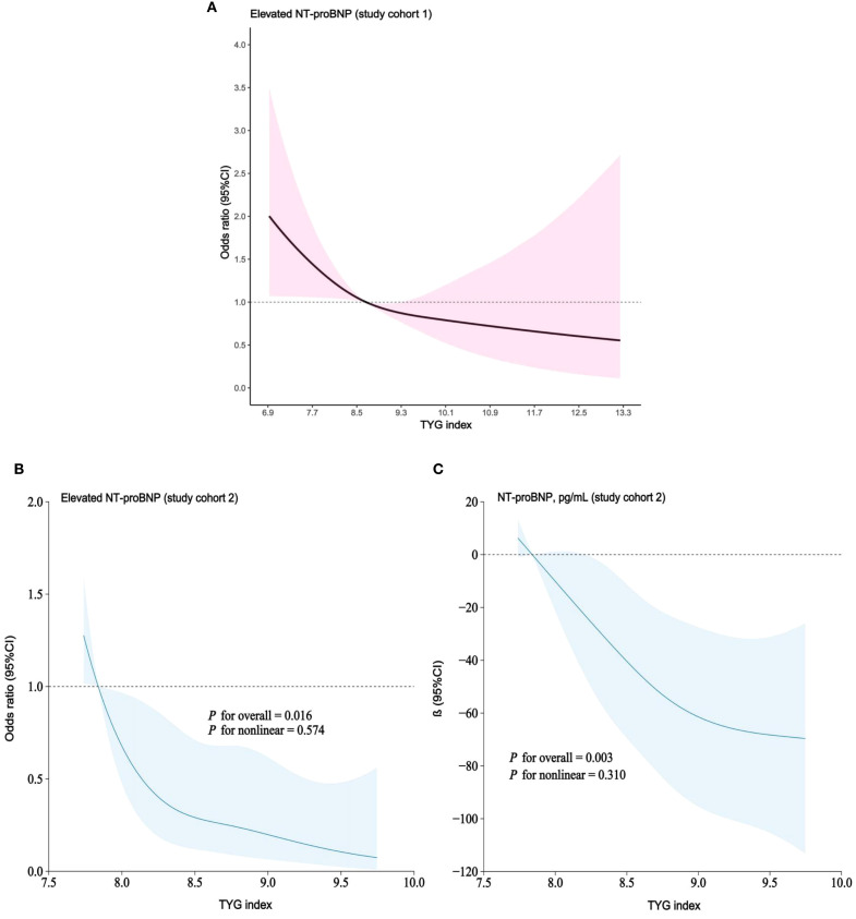
背景:甘油三酯-葡萄糖(TYG)指数是胰岛素抵抗(IR)的简单指标。然而,在没有已知心血管疾病(CVD)的中老年个体中,其与NT-proBNP水平升高的关系尚不清楚。方法:研究队列数据来源于全国健康与营养调查(NHANES)和江苏省中医院心内科住院患者。采用多变量logistic回归评估TYG指数与NT-proBNP升高之间的关系。采用多变量Cox比例风险模型估计TYG指数对全因死亡率的调整风险比。此外,生成了限制性三次样条(RCS)图,直观地表示TYG指数与NT-proBNP升高以及全因死亡率之间的线性或非线性关系。结果:中老年人群NT-proBNP升高的年龄标准化患病率女性为29.21%,男性为17.08%。TYG指数与NT-proBNP升高呈负相关,研究队列1:[T3 vs T1: OR (95% CI): 0.73 (0.55, 0.96), p为趋势= 0.027];研究队列2:[β (95% CI): -37.58 (-59.11, -16.06), p为趋势=0.002]。TYG指数每增加一个单位,调整后的全因死亡风险就增加25% [HR (95% CI): 1.25 (1.08, 1.44), p=0.003]。RCS图支持多元回归模型的结果。结论:无论NT-proBNP是否升高,TYG指数水平与NT-proBNP升高的发生率呈负相关,且与全因死亡率相关。
本文章由计算机程序翻译,如有差异,请以英文原文为准。

Associations of triglyceride-glucose index with N-terminal pro-B-type natriuretic peptide and mortality in middle-aged and elderly individuals.

Associations of triglyceride-glucose index with N-terminal pro-B-type natriuretic peptide and mortality in middle-aged and elderly individuals.

Associations of triglyceride-glucose index with N-terminal pro-B-type natriuretic peptide and mortality in middle-aged and elderly individuals.

Associations of triglyceride-glucose index with N-terminal pro-B-type natriuretic peptide and mortality in middle-aged and elderly individuals.

Background: The triglyceride-glucose (TYG) index is a simple marker for insulin resistance (IR). However, its relationship with elevated NT-proBNP levels is not well understood in middle-aged and elderly individuals without known cardiovascular diseases (CVD).

Methods: The study cohort data were derived from National Health and Nutrition Examination Survey (NHANES) and inpatients of the Department of Cardiology at Jiangsu Provincial Hospital of Traditional Chinese Medicine (JSHTCM). Multivariable logistic regression was employed to assess the relationship between the TYG index and elevated NT-proBNP. Multivariable Cox proportional hazards models were used to estimate the adjusted risk ratio of the TYG index for all-cause mortality. Furthermore, restricted cubic spline (RCS) plots were generated to visually represent the linear or non-linear relationships between the TYG index and elevated NT-proBNP as well as all-cause mortality.

Results: The age-standardized prevalence of elevated NT-proBNP among middle-aged and elderly individuals was 29.21% in females and 17.08% in males. A negative correlation was observed between the TYG index and elevated NT-proBNP, study cohort 1: [T3 vs T1: OR (95% CI): 0.73 (0.55, 0.96), p for trend= 0.027]; study cohort 2: [β (95% CI): -37.58 (-59.11, -16.06), p for trend=0.002]. Each unit increase in the TYG index is correlated with a 25% increase in the adjusted risk of all-cause mortality [HR (95% CI): 1.25 (1.08, 1.44), p=0.003]. The RCS plots supported the multivariate regression model findings.

Conclusions: The TYG index level is negatively correlated with the incidence of elevated NT-proBNP and is associated with all-cause mortality, regardless of the presence of elevated NT-proBNP.

求助全文
通过发布文献求助,成功后即可免费获取论文全文。 去求助
来源期刊
Frontiers in Endocrinology
Frontiers in Endocrinology Medicine-Endocrinology, Diabetes and Metabolism
CiteScore
5.70
自引率
9.60%
发文量
3023
审稿时长
14 weeks
期刊介绍: Frontiers in Endocrinology is a field journal of the "Frontiers in" journal series. In today’s world, endocrinology is becoming increasingly important as it underlies many of the challenges societies face - from obesity and diabetes to reproduction, population control and aging. Endocrinology covers a broad field from basic molecular and cellular communication through to clinical care and some of the most crucial public health issues. The journal, thus, welcomes outstanding contributions in any domain of endocrinology. Frontiers in Endocrinology publishes articles on the most outstanding discoveries across a wide research spectrum of Endocrinology. The mission of Frontiers in Endocrinology is to bring all relevant Endocrinology areas together on a single platform.
×
引用
GB/T 7714-2015
复制
MLA
复制
APA
复制
导出至
BibTeX EndNote RefMan NoteFirst NoteExpress
×
提示
您的信息不完整,为了账户安全,请先补充。
现在去补充
×
提示
您因"违规操作"
具体请查看互助需知
我知道了
×
提示
确定
请完成安全验证×
copy
已复制链接
快去分享给好友吧!
我知道了
右上角分享
点击右上角分享
0
联系我们:info@booksci.cn Book学术提供免费学术资源搜索服务,方便国内外学者检索中英文文献。致力于提供最便捷和优质的服务体验。 Copyright © 2023 布克学术 All rights reserved.
京ICP备2023020795号-1
ghs 京公网安备 11010802042870号
Book学术文献互助
Book学术文献互助群
群 号:604180095
Book学术官方微信