右美托咪定联合异丙酚在宫腔镜手术患者中的最佳剂量:一项随机对照试验。

IF 5.1 2区 医学 Q1 CHEMISTRY, MEDICINAL
Drug Design, Development and Therapy Pub Date : 2025-09-16 eCollection Date: 2025-01-01 DOI:10.2147/DDDT.S544566
Hongchun Xu, Tong Peng, Dan Xie, Biqian Dong, Tiantian An, Fangjun Wang
{"title":"右美托咪定联合异丙酚在宫腔镜手术患者中的最佳剂量:一项随机对照试验。","authors":"Hongchun Xu, Tong Peng, Dan Xie, Biqian Dong, Tiantian An, Fangjun Wang","doi":"10.2147/DDDT.S544566","DOIUrl":null,"url":null,"abstract":"<p><strong>Background: </strong>Dexmedetomidine has been reported to be utilized in conjunction with propofol during hysteroscopic surgery. However, both dexmedetomidine and propofol have benefits and side-effects, and the optimal doses of dexmedetomidine when utilized in combination with propofol during hysteroscopic surgery remain unestablished.</p><p><strong>Methods: </strong>One hundred and fifty patients undergoing hysteroscopic surgery at the affiliated hospital of North Sichuan Medical College were randomly divided into five groups and administered dexmedetomidine at a dose of 0.4 µg/kg, 0.6 µg/kg, 0.8 µg/kg, or 1.0 µg/kg, or saline, prior to anesthesia induction. Before the surgery, propofol was administered via target-controlled infusion using a pump with the Marsh model. The EC<sub>50</sub> of propofol was determined using an up-and-down sequential method with an adjacent concentration gradient of 1.2 to prevent purposeful movements. Hemodynamic parameters and adverse events related to anesthesia were also evaluated. The duration of the procedure and recovery, the amount of propofol required, and the postoperative recovery characteristics were documented.</p><p><strong>Results: </strong>The EC50 of propofol was significantly lower in the Dex 0.6, Dex 0.8, and Dex 1.0 groups compared to the S group (<i>p</i><0.05). As the dose of dexmedetomidine increased, the demand for propofol gradually decreased (<i>p</i><0.01), whereas the incidence of respiratory depression decreased (<i>p</i><0.01). Nevertheless, the incidence of bradycardia slightly increased (<i>p</i>=0.02). No significant differences in the incidence of hypotension were observed among the five groups (<i>p</i>>0.05). The patients in the Dex1.0 groups had higher postoperative comfort scores than those in the S group. At both t1 and t2, Ramsay scores were higher in the Dex0.8 and Dex1.0 groups than in the S group (<i>p</i><0.05). No significant differences were observed in the VAS scores among the five groups.</p><p><strong>Conclusion: </strong>Dexmedetomidine 0.8 µg/kg offers an optimal balance between propofol-sparing effects, sedation quality, and manageable side effects for hysteroscopic surgery.</p><p><strong>Trial registration: </strong>Date of registration: 24/05/2020, registration number: ChiCTR2000033220.</p>","PeriodicalId":11290,"journal":{"name":"Drug Design, Development and Therapy","volume":"19 ","pages":"8441-8450"},"PeriodicalIF":5.1000,"publicationDate":"2025-09-16","publicationTypes":"Journal Article","fieldsOfStudy":null,"isOpenAccess":false,"openAccessPdf":"https://www.ncbi.nlm.nih.gov/pmc/articles/PMC12449882/pdf/","citationCount":"0","resultStr":"{\"title\":\"The Optimal Doses of Dexmedetomidine Combined with Propofol in Patients in Hysteroscopic Surgery: A Randomized Controlled Trial.\",\"authors\":\"Hongchun Xu, Tong Peng, Dan Xie, Biqian Dong, Tiantian An, Fangjun Wang\",\"doi\":\"10.2147/DDDT.S544566\",\"DOIUrl\":null,\"url\":null,\"abstract\":\"<p><strong>Background: </strong>Dexmedetomidine has been reported to be utilized in conjunction with propofol during hysteroscopic surgery. However, both dexmedetomidine and propofol have benefits and side-effects, and the optimal doses of dexmedetomidine when utilized in combination with propofol during hysteroscopic surgery remain unestablished.</p><p><strong>Methods: </strong>One hundred and fifty patients undergoing hysteroscopic surgery at the affiliated hospital of North Sichuan Medical College were randomly divided into five groups and administered dexmedetomidine at a dose of 0.4 µg/kg, 0.6 µg/kg, 0.8 µg/kg, or 1.0 µg/kg, or saline, prior to anesthesia induction. Before the surgery, propofol was administered via target-controlled infusion using a pump with the Marsh model. The EC<sub>50</sub> of propofol was determined using an up-and-down sequential method with an adjacent concentration gradient of 1.2 to prevent purposeful movements. Hemodynamic parameters and adverse events related to anesthesia were also evaluated. The duration of the procedure and recovery, the amount of propofol required, and the postoperative recovery characteristics were documented.</p><p><strong>Results: </strong>The EC50 of propofol was significantly lower in the Dex 0.6, Dex 0.8, and Dex 1.0 groups compared to the S group (<i>p</i><0.05). As the dose of dexmedetomidine increased, the demand for propofol gradually decreased (<i>p</i><0.01), whereas the incidence of respiratory depression decreased (<i>p</i><0.01). Nevertheless, the incidence of bradycardia slightly increased (<i>p</i>=0.02). No significant differences in the incidence of hypotension were observed among the five groups (<i>p</i>>0.05). The patients in the Dex1.0 groups had higher postoperative comfort scores than those in the S group. At both t1 and t2, Ramsay scores were higher in the Dex0.8 and Dex1.0 groups than in the S group (<i>p</i><0.05). No significant differences were observed in the VAS scores among the five groups.</p><p><strong>Conclusion: </strong>Dexmedetomidine 0.8 µg/kg offers an optimal balance between propofol-sparing effects, sedation quality, and manageable side effects for hysteroscopic surgery.</p><p><strong>Trial registration: </strong>Date of registration: 24/05/2020, registration number: ChiCTR2000033220.</p>\",\"PeriodicalId\":11290,\"journal\":{\"name\":\"Drug Design, Development and Therapy\",\"volume\":\"19 \",\"pages\":\"8441-8450\"},\"PeriodicalIF\":5.1000,\"publicationDate\":\"2025-09-16\",\"publicationTypes\":\"Journal Article\",\"fieldsOfStudy\":null,\"isOpenAccess\":false,\"openAccessPdf\":\"https://www.ncbi.nlm.nih.gov/pmc/articles/PMC12449882/pdf/\",\"citationCount\":\"0\",\"resultStr\":null,\"platform\":\"Semanticscholar\",\"paperid\":null,\"PeriodicalName\":\"Drug Design, Development and Therapy\",\"FirstCategoryId\":\"3\",\"ListUrlMain\":\"https://doi.org/10.2147/DDDT.S544566\",\"RegionNum\":2,\"RegionCategory\":\"医学\",\"ArticlePicture\":[],\"TitleCN\":null,\"AbstractTextCN\":null,\"PMCID\":null,\"EPubDate\":\"2025/1/1 0:00:00\",\"PubModel\":\"eCollection\",\"JCR\":\"Q1\",\"JCRName\":\"CHEMISTRY, MEDICINAL\",\"Score\":null,\"Total\":0}","platform":"Semanticscholar","paperid":null,"PeriodicalName":"Drug Design, Development and Therapy","FirstCategoryId":"3","ListUrlMain":"https://doi.org/10.2147/DDDT.S544566","RegionNum":2,"RegionCategory":"医学","ArticlePicture":[],"TitleCN":null,"AbstractTextCN":null,"PMCID":null,"EPubDate":"2025/1/1 0:00:00","PubModel":"eCollection","JCR":"Q1","JCRName":"CHEMISTRY, MEDICINAL","Score":null,"Total":0}
引用次数: 0

摘要

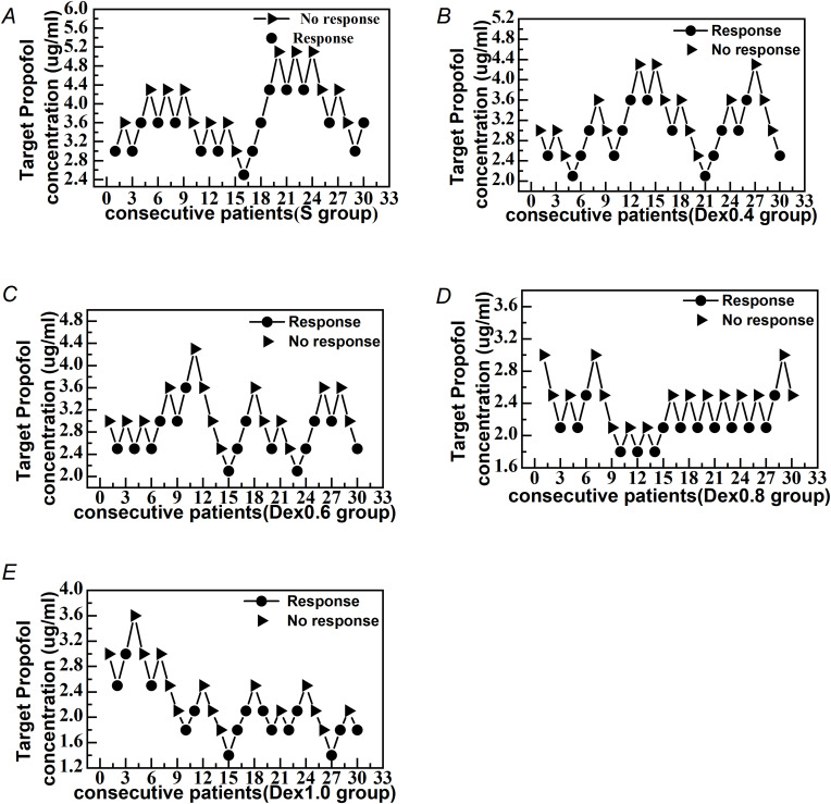
背景:据报道,右美托咪定在宫腔镜手术中与异丙酚联合使用。然而,右美托咪定和异丙酚都有益处和副作用,宫腔镜手术中右美托咪定与异丙酚联合使用的最佳剂量仍未确定。方法:选取川北医学院附属医院宫腔镜手术患者150例,随机分为5组,麻醉诱导前分别给予0.4、0.6、0.8、1.0 μ g/kg剂量的右美托咪定或生理盐水。在手术前,使用Marsh模型的泵通过靶控输注异丙酚。采用上下顺序法测定异丙酚的EC50,相邻浓度梯度为1.2,以防止有目的的移动。血流动力学参数和麻醉相关的不良事件也进行了评估。记录手术时间和恢复情况、丙泊酚用量以及术后恢复情况。结果:Dex 0.6、Dex 0.8、Dex 1.0组异丙酚EC50明显低于S组(pppp=0.02)。五组患者低血压发生率比较,差异无统计学意义(p < 0.05)。Dex1.0组患者术后舒适度评分高于S组。在t1和t2时,Dex0.8和Dex1.0组的Ramsay评分均高于S组(结论:0.8µg/kg右美托咪定在宫腔镜手术中具有异丙酚保留效果、镇静质量和可控制的副作用之间的最佳平衡。试验注册:注册日期:24/05/2020,注册号:ChiCTR2000033220。
本文章由计算机程序翻译,如有差异,请以英文原文为准。

The Optimal Doses of Dexmedetomidine Combined with Propofol in Patients in Hysteroscopic Surgery: A Randomized Controlled Trial.

The Optimal Doses of Dexmedetomidine Combined with Propofol in Patients in Hysteroscopic Surgery: A Randomized Controlled Trial.

The Optimal Doses of Dexmedetomidine Combined with Propofol in Patients in Hysteroscopic Surgery: A Randomized Controlled Trial.

The Optimal Doses of Dexmedetomidine Combined with Propofol in Patients in Hysteroscopic Surgery: A Randomized Controlled Trial.

Background: Dexmedetomidine has been reported to be utilized in conjunction with propofol during hysteroscopic surgery. However, both dexmedetomidine and propofol have benefits and side-effects, and the optimal doses of dexmedetomidine when utilized in combination with propofol during hysteroscopic surgery remain unestablished.

Methods: One hundred and fifty patients undergoing hysteroscopic surgery at the affiliated hospital of North Sichuan Medical College were randomly divided into five groups and administered dexmedetomidine at a dose of 0.4 µg/kg, 0.6 µg/kg, 0.8 µg/kg, or 1.0 µg/kg, or saline, prior to anesthesia induction. Before the surgery, propofol was administered via target-controlled infusion using a pump with the Marsh model. The EC50 of propofol was determined using an up-and-down sequential method with an adjacent concentration gradient of 1.2 to prevent purposeful movements. Hemodynamic parameters and adverse events related to anesthesia were also evaluated. The duration of the procedure and recovery, the amount of propofol required, and the postoperative recovery characteristics were documented.

Results: The EC50 of propofol was significantly lower in the Dex 0.6, Dex 0.8, and Dex 1.0 groups compared to the S group (p<0.05). As the dose of dexmedetomidine increased, the demand for propofol gradually decreased (p<0.01), whereas the incidence of respiratory depression decreased (p<0.01). Nevertheless, the incidence of bradycardia slightly increased (p=0.02). No significant differences in the incidence of hypotension were observed among the five groups (p>0.05). The patients in the Dex1.0 groups had higher postoperative comfort scores than those in the S group. At both t1 and t2, Ramsay scores were higher in the Dex0.8 and Dex1.0 groups than in the S group (p<0.05). No significant differences were observed in the VAS scores among the five groups.

Conclusion: Dexmedetomidine 0.8 µg/kg offers an optimal balance between propofol-sparing effects, sedation quality, and manageable side effects for hysteroscopic surgery.

Trial registration: Date of registration: 24/05/2020, registration number: ChiCTR2000033220.

求助全文
通过发布文献求助,成功后即可免费获取论文全文。 去求助
来源期刊
Drug Design, Development and Therapy
Drug Design, Development and Therapy CHEMISTRY, MEDICINAL-PHARMACOLOGY & PHARMACY
CiteScore
9.00
自引率
0.00%
发文量
382
审稿时长
>12 weeks
期刊介绍: Drug Design, Development and Therapy is an international, peer-reviewed, open access journal that spans the spectrum of drug design, discovery and development through to clinical applications. The journal is characterized by the rapid reporting of high-quality original research, reviews, expert opinions, commentary and clinical studies in all therapeutic areas. Specific topics covered by the journal include: Drug target identification and validation Phenotypic screening and target deconvolution Biochemical analyses of drug targets and their pathways New methods or relevant applications in molecular/drug design and computer-aided drug discovery* Design, synthesis, and biological evaluation of novel biologically active compounds (including diagnostics or chemical probes) Structural or molecular biological studies elucidating molecular recognition processes Fragment-based drug discovery Pharmaceutical/red biotechnology Isolation, structural characterization, (bio)synthesis, bioengineering and pharmacological evaluation of natural products** Distribution, pharmacokinetics and metabolic transformations of drugs or biologically active compounds in drug development Drug delivery and formulation (design and characterization of dosage forms, release mechanisms and in vivo testing) Preclinical development studies Translational animal models Mechanisms of action and signalling pathways Toxicology Gene therapy, cell therapy and immunotherapy Personalized medicine and pharmacogenomics Clinical drug evaluation Patient safety and sustained use of medicines.
×
引用
GB/T 7714-2015
复制
MLA
复制
APA
复制
导出至
BibTeX EndNote RefMan NoteFirst NoteExpress
×
提示
您的信息不完整,为了账户安全,请先补充。
现在去补充
×
提示
您因"违规操作"
具体请查看互助需知
我知道了
×
提示
确定
请完成安全验证×
copy
已复制链接
快去分享给好友吧!
我知道了
右上角分享
点击右上角分享
0
联系我们:info@booksci.cn Book学术提供免费学术资源搜索服务,方便国内外学者检索中英文文献。致力于提供最便捷和优质的服务体验。 Copyright © 2023 布克学术 All rights reserved.
京ICP备2023020795号-1
ghs 京公网安备 11010802042870号
Book学术文献互助
Book学术文献互助群
群 号:604180095
Book学术官方微信