神经退行性疾病脑脊液神经丝介质、轻链和重链的比较分析,采用内部检测法检测神经丝介质链。

IF 10.8 1区 医学 Q1 MEDICINE, RESEARCH & EXPERIMENTAL
EBioMedicine Pub Date : 2025-10-01 Epub Date: 2025-09-19 DOI:10.1016/j.ebiom.2025.105930
Badrieh Fazeli, Sara Botzenhardt, Franziska Bachhuber, Paula Klassen, Veronika Klose, Johannes Dorst, Maximilian Wiesenfarth, Zeljko Uzelac, Sarah Jesse, David Brenner, Sarah Anderl-Straub, Albert C Ludolph, Markus Otto, Jochen Weishaupt, Hayrettin Tumani, Steffen Halbgebauer
{"title":"神经退行性疾病脑脊液神经丝介质、轻链和重链的比较分析,采用内部检测法检测神经丝介质链。","authors":"Badrieh Fazeli, Sara Botzenhardt, Franziska Bachhuber, Paula Klassen, Veronika Klose, Johannes Dorst, Maximilian Wiesenfarth, Zeljko Uzelac, Sarah Jesse, David Brenner, Sarah Anderl-Straub, Albert C Ludolph, Markus Otto, Jochen Weishaupt, Hayrettin Tumani, Steffen Halbgebauer","doi":"10.1016/j.ebiom.2025.105930","DOIUrl":null,"url":null,"abstract":"<p><strong>Background: </strong>Neurofilaments are key axonal proteins, with neurofilament light (NfL) and heavy (NfH) chain recognised as promising biomarkers for neurodegenerative diseases such as amyotrophic lateral sclerosis (ALS). However, neurofilament medium chain (NfM) remained previously underexplored due to a lack of quantitative assays. In this study, we developed a sensitive immunoassay to measure NfM in cerebrospinal fluid (CSF) and analysed its levels in ALS, Alzheimer's disease (AD), frontotemporal dementia (FTD), and Lewy body dementia (LBD). Correlations among neurofilaments and their diagnostic performance were also evaluated.</p><p><strong>Methods: </strong>In this study CSF levels of three neurofilament proteins were measured in 305 participants, including patients with ALS (n = 91), AD (n = 59), FTD (n = 38), LBD (n = 18), non-neurodegenerative controls (CTRL, n = 51), and 48 individuals initially evaluated for ALS but ultimately diagnosed with other conditions (CTRL.DD). NfM levels were quantified using a homemade sandwich ELISA, while NfL and NfH were measured using commercialised Ella cartridges.</p><p><strong>Findings: </strong>All three neurofilaments were significantly elevated in ALS compared to CTRL and CTRL.DD groups (p < 0.0001 for both), with NfM and NfL also increased in FTD (p < 0.0001 for both) and AD (NfM, p < 0.0001; NfL, p = 0.0001) compared to CTRL. NfH demonstrated the greatest distinction between ALS and FTD (p < 0.0001). Strong correlations were observed among neurofilament subunits, particularly between NfM and NfL (r = 0.93, 95% CI: 0.91-0.94, p < 0.0001). All neurofilaments effectively distinguished ALS from CTRL and CTRL.DD, with AUC values ranging from 0.92 to 0.99. NfM and NfL showed high accuracy in differentiating AD (NfM, AUC: 0.91; NfL, AUC: 0.89) and FTD (NfM, AUC: 0.91; NfL, AUC: 0.92) from CTRL, while NfH best separated ALS from FTD (AUC: 0.96).</p><p><strong>Interpretation: </strong>This study provides a quantitative comparison of NfM with NfL and NfH in a neurodegenerative cohort, highlighting its potential diagnostic value. Further research with larger cohorts, longitudinal studies, and investigations into neurofilament distribution in different compartments is needed to clarify the distinct roles of NfM, NfL, and NfH in the diagnosis and treatment of neurological diseases.</p><p><strong>Funding: </strong>The present study was supported by the Else Kroener-Fresenius Foundation (2024-EKEA.126) and Chemische Fabrik Karl Bucher GmbH.</p>","PeriodicalId":11494,"journal":{"name":"EBioMedicine","volume":"120 ","pages":"105930"},"PeriodicalIF":10.8000,"publicationDate":"2025-10-01","publicationTypes":"Journal Article","fieldsOfStudy":null,"isOpenAccess":false,"openAccessPdf":"https://www.ncbi.nlm.nih.gov/pmc/articles/PMC12481134/pdf/","citationCount":"0","resultStr":"{\"title\":\"Comparative analysis of cerebrospinal fluid neurofilament medium, light and heavy chain in neurodegenerative diseases using an in-house assay for the detection of neurofilament medium chain.\",\"authors\":\"Badrieh Fazeli, Sara Botzenhardt, Franziska Bachhuber, Paula Klassen, Veronika Klose, Johannes Dorst, Maximilian Wiesenfarth, Zeljko Uzelac, Sarah Jesse, David Brenner, Sarah Anderl-Straub, Albert C Ludolph, Markus Otto, Jochen Weishaupt, Hayrettin Tumani, Steffen Halbgebauer\",\"doi\":\"10.1016/j.ebiom.2025.105930\",\"DOIUrl\":null,\"url\":null,\"abstract\":\"<p><strong>Background: </strong>Neurofilaments are key axonal proteins, with neurofilament light (NfL) and heavy (NfH) chain recognised as promising biomarkers for neurodegenerative diseases such as amyotrophic lateral sclerosis (ALS). However, neurofilament medium chain (NfM) remained previously underexplored due to a lack of quantitative assays. In this study, we developed a sensitive immunoassay to measure NfM in cerebrospinal fluid (CSF) and analysed its levels in ALS, Alzheimer's disease (AD), frontotemporal dementia (FTD), and Lewy body dementia (LBD). Correlations among neurofilaments and their diagnostic performance were also evaluated.</p><p><strong>Methods: </strong>In this study CSF levels of three neurofilament proteins were measured in 305 participants, including patients with ALS (n = 91), AD (n = 59), FTD (n = 38), LBD (n = 18), non-neurodegenerative controls (CTRL, n = 51), and 48 individuals initially evaluated for ALS but ultimately diagnosed with other conditions (CTRL.DD). NfM levels were quantified using a homemade sandwich ELISA, while NfL and NfH were measured using commercialised Ella cartridges.</p><p><strong>Findings: </strong>All three neurofilaments were significantly elevated in ALS compared to CTRL and CTRL.DD groups (p < 0.0001 for both), with NfM and NfL also increased in FTD (p < 0.0001 for both) and AD (NfM, p < 0.0001; NfL, p = 0.0001) compared to CTRL. NfH demonstrated the greatest distinction between ALS and FTD (p < 0.0001). Strong correlations were observed among neurofilament subunits, particularly between NfM and NfL (r = 0.93, 95% CI: 0.91-0.94, p < 0.0001). All neurofilaments effectively distinguished ALS from CTRL and CTRL.DD, with AUC values ranging from 0.92 to 0.99. NfM and NfL showed high accuracy in differentiating AD (NfM, AUC: 0.91; NfL, AUC: 0.89) and FTD (NfM, AUC: 0.91; NfL, AUC: 0.92) from CTRL, while NfH best separated ALS from FTD (AUC: 0.96).</p><p><strong>Interpretation: </strong>This study provides a quantitative comparison of NfM with NfL and NfH in a neurodegenerative cohort, highlighting its potential diagnostic value. Further research with larger cohorts, longitudinal studies, and investigations into neurofilament distribution in different compartments is needed to clarify the distinct roles of NfM, NfL, and NfH in the diagnosis and treatment of neurological diseases.</p><p><strong>Funding: </strong>The present study was supported by the Else Kroener-Fresenius Foundation (2024-EKEA.126) and Chemische Fabrik Karl Bucher GmbH.</p>\",\"PeriodicalId\":11494,\"journal\":{\"name\":\"EBioMedicine\",\"volume\":\"120 \",\"pages\":\"105930\"},\"PeriodicalIF\":10.8000,\"publicationDate\":\"2025-10-01\",\"publicationTypes\":\"Journal Article\",\"fieldsOfStudy\":null,\"isOpenAccess\":false,\"openAccessPdf\":\"https://www.ncbi.nlm.nih.gov/pmc/articles/PMC12481134/pdf/\",\"citationCount\":\"0\",\"resultStr\":null,\"platform\":\"Semanticscholar\",\"paperid\":null,\"PeriodicalName\":\"EBioMedicine\",\"FirstCategoryId\":\"3\",\"ListUrlMain\":\"https://doi.org/10.1016/j.ebiom.2025.105930\",\"RegionNum\":1,\"RegionCategory\":\"医学\",\"ArticlePicture\":[],\"TitleCN\":null,\"AbstractTextCN\":null,\"PMCID\":null,\"EPubDate\":\"2025/9/19 0:00:00\",\"PubModel\":\"Epub\",\"JCR\":\"Q1\",\"JCRName\":\"MEDICINE, RESEARCH & EXPERIMENTAL\",\"Score\":null,\"Total\":0}","platform":"Semanticscholar","paperid":null,"PeriodicalName":"EBioMedicine","FirstCategoryId":"3","ListUrlMain":"https://doi.org/10.1016/j.ebiom.2025.105930","RegionNum":1,"RegionCategory":"医学","ArticlePicture":[],"TitleCN":null,"AbstractTextCN":null,"PMCID":null,"EPubDate":"2025/9/19 0:00:00","PubModel":"Epub","JCR":"Q1","JCRName":"MEDICINE, RESEARCH & EXPERIMENTAL","Score":null,"Total":0}
引用次数: 0

摘要

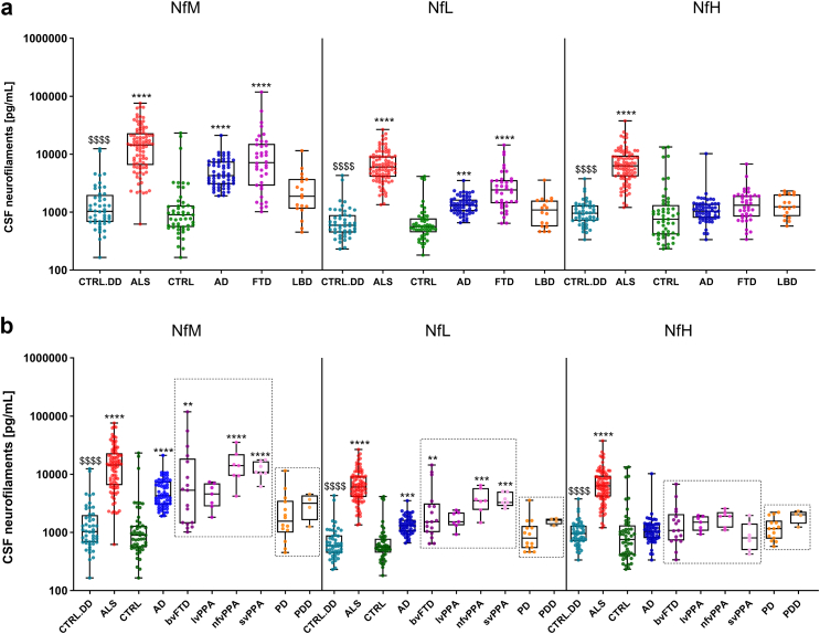
背景:神经丝是关键的轴突蛋白,神经丝轻链(NfL)和重链(NfH)被认为是神经退行性疾病(如肌萎缩侧索硬化症(ALS))的有前途的生物标志物。然而,由于缺乏定量分析,神经丝介质链(NfM)以前仍未得到充分研究。在这项研究中,我们开发了一种灵敏的免疫分析法来测量脑脊液(CSF)中的NfM,并分析其在ALS、阿尔茨海默病(AD)、额颞叶痴呆(FTD)和路易体痴呆(LBD)中的水平。神经丝之间的相关性及其诊断性能也进行了评估。方法:在这项研究中,测量了305名参与者的CSF中三种神经丝蛋白的水平,包括ALS (n = 91)、AD (n = 59)、FTD (n = 38)、LBD (n = 18)、非神经退行性对照(CTRL, n = 51)和48名最初被评估为ALS但最终被诊断为其他疾病(CTRL. dd)的患者。采用自制夹心ELISA定量测定NfM水平,采用商业化Ella试剂盒测定NfL和NfH水平。结果:与CTRL和CTRL相比,ALS患者的三条神经丝均明显升高。与CTRL组相比,合并NfM和NfL的DD组(两组均p < 0.0001) FTD(两组均p < 0.0001)和AD (NfM, p < 0.0001; NfL, p = 0.0001)也增加。NfH在ALS和FTD之间表现出最大的差异(p < 0.0001)。神经丝亚基之间存在很强的相关性,特别是在NfM和NfL之间(r = 0.93, 95% CI: 0.91-0.94, p < 0.0001)。所有神经丝均能有效区分ALS与CTRL和CTRL。d, AUC值为0.92 ~ 0.99。NfM和NfL对AD (NfM, AUC: 0.91; NfL, AUC: 0.89)和FTD (NfM, AUC: 0.91; NfL, AUC: 0.92)与CTRL的鉴别准确度较高,而NfH对ALS与FTD的鉴别准确度最高(AUC: 0.96)。本研究提供了神经退行性队列中NfM与NfL和NfH的定量比较,突出了其潜在的诊断价值。为了明确NfM、NfL和NfH在神经系统疾病的诊断和治疗中的不同作用,需要进一步的研究,包括更大的队列、纵向研究和对不同隔室神经丝分布的调查。本研究由Else Kroener-Fresenius Foundation (2024-EKEA.126)和Chemische Fabrik Karl Bucher GmbH支持。
本文章由计算机程序翻译,如有差异,请以英文原文为准。

Comparative analysis of cerebrospinal fluid neurofilament medium, light and heavy chain in neurodegenerative diseases using an in-house assay for the detection of neurofilament medium chain.

Comparative analysis of cerebrospinal fluid neurofilament medium, light and heavy chain in neurodegenerative diseases using an in-house assay for the detection of neurofilament medium chain.

Comparative analysis of cerebrospinal fluid neurofilament medium, light and heavy chain in neurodegenerative diseases using an in-house assay for the detection of neurofilament medium chain.

Comparative analysis of cerebrospinal fluid neurofilament medium, light and heavy chain in neurodegenerative diseases using an in-house assay for the detection of neurofilament medium chain.

Background: Neurofilaments are key axonal proteins, with neurofilament light (NfL) and heavy (NfH) chain recognised as promising biomarkers for neurodegenerative diseases such as amyotrophic lateral sclerosis (ALS). However, neurofilament medium chain (NfM) remained previously underexplored due to a lack of quantitative assays. In this study, we developed a sensitive immunoassay to measure NfM in cerebrospinal fluid (CSF) and analysed its levels in ALS, Alzheimer's disease (AD), frontotemporal dementia (FTD), and Lewy body dementia (LBD). Correlations among neurofilaments and their diagnostic performance were also evaluated.

Methods: In this study CSF levels of three neurofilament proteins were measured in 305 participants, including patients with ALS (n = 91), AD (n = 59), FTD (n = 38), LBD (n = 18), non-neurodegenerative controls (CTRL, n = 51), and 48 individuals initially evaluated for ALS but ultimately diagnosed with other conditions (CTRL.DD). NfM levels were quantified using a homemade sandwich ELISA, while NfL and NfH were measured using commercialised Ella cartridges.

Findings: All three neurofilaments were significantly elevated in ALS compared to CTRL and CTRL.DD groups (p < 0.0001 for both), with NfM and NfL also increased in FTD (p < 0.0001 for both) and AD (NfM, p < 0.0001; NfL, p = 0.0001) compared to CTRL. NfH demonstrated the greatest distinction between ALS and FTD (p < 0.0001). Strong correlations were observed among neurofilament subunits, particularly between NfM and NfL (r = 0.93, 95% CI: 0.91-0.94, p < 0.0001). All neurofilaments effectively distinguished ALS from CTRL and CTRL.DD, with AUC values ranging from 0.92 to 0.99. NfM and NfL showed high accuracy in differentiating AD (NfM, AUC: 0.91; NfL, AUC: 0.89) and FTD (NfM, AUC: 0.91; NfL, AUC: 0.92) from CTRL, while NfH best separated ALS from FTD (AUC: 0.96).

Interpretation: This study provides a quantitative comparison of NfM with NfL and NfH in a neurodegenerative cohort, highlighting its potential diagnostic value. Further research with larger cohorts, longitudinal studies, and investigations into neurofilament distribution in different compartments is needed to clarify the distinct roles of NfM, NfL, and NfH in the diagnosis and treatment of neurological diseases.

Funding: The present study was supported by the Else Kroener-Fresenius Foundation (2024-EKEA.126) and Chemische Fabrik Karl Bucher GmbH.

求助全文
通过发布文献求助,成功后即可免费获取论文全文。 去求助
来源期刊
EBioMedicine
EBioMedicine Biochemistry, Genetics and Molecular Biology-General Biochemistry,Genetics and Molecular Biology
CiteScore
17.70
自引率
0.90%
发文量
579
审稿时长
5 weeks
期刊介绍: eBioMedicine is a comprehensive biomedical research journal that covers a wide range of studies that are relevant to human health. Our focus is on original research that explores the fundamental factors influencing human health and disease, including the discovery of new therapeutic targets and treatments, the identification of biomarkers and diagnostic tools, and the investigation and modification of disease pathways and mechanisms. We welcome studies from any biomedical discipline that contribute to our understanding of disease and aim to improve human health.
×
引用
GB/T 7714-2015
复制
MLA
复制
APA
复制
导出至
BibTeX EndNote RefMan NoteFirst NoteExpress
×
提示
您的信息不完整,为了账户安全,请先补充。
现在去补充
×
提示
您因"违规操作"
具体请查看互助需知
我知道了
×
提示
确定
请完成安全验证×
copy
已复制链接
快去分享给好友吧!
我知道了
右上角分享
点击右上角分享
0
联系我们:info@booksci.cn Book学术提供免费学术资源搜索服务,方便国内外学者检索中英文文献。致力于提供最便捷和优质的服务体验。 Copyright © 2023 布克学术 All rights reserved.
京ICP备2023020795号-1
ghs 京公网安备 11010802042870号
Book学术文献互助
Book学术文献互助群
群 号:604180095
Book学术官方微信