代谢功能障碍相关脂肪性肝炎药物雷司替罗的替代和有效合成工艺

IF 3.5 3区 化学 Q2 CHEMISTRY, APPLIED
Youbao Cui, Jiachen Zhang, Shuyu Liu, Zhenhang Zhao, Mengya Shan, Nan Jiang* and Xin Zhai*, 
{"title":"代谢功能障碍相关脂肪性肝炎药物雷司替罗的替代和有效合成工艺","authors":"Youbao Cui,&nbsp;Jiachen Zhang,&nbsp;Shuyu Liu,&nbsp;Zhenhang Zhao,&nbsp;Mengya Shan,&nbsp;Nan Jiang* and Xin Zhai*,&nbsp;","doi":"10.1021/acs.oprd.5c00149","DOIUrl":null,"url":null,"abstract":"<p >A novel, efficient, and streamlined process was developed for resmetirom, a first-in-class THR-β agonist for the treatment of MASH. The key innovation of this novel process was the ingenious utilization of a “one-pot” reaction, which simultaneously accomplished aromatic cyclization and the hydrolysis of 3-chloro-4-isopropylpyridazine. This breakthrough circumvented steps of amino protection and deprotection, effectively streamlining the synthetic route from eight linear steps to four steps while maintaining mild reaction conditions. Using commercially available raw materials, the optimized process provided a rapid pathway to synthesize multigram quantities of resmetirom with an assay purity of 98.8% and a corrected overall yield of 44.3%.</p>","PeriodicalId":55,"journal":{"name":"Organic Process Research & Development","volume":"29 9","pages":"2230–2237"},"PeriodicalIF":3.5000,"publicationDate":"2025-09-10","publicationTypes":"Journal Article","fieldsOfStudy":null,"isOpenAccess":false,"openAccessPdf":"","citationCount":"0","resultStr":"{\"title\":\"An Alternate and Efficient Synthetic Process for a Metabolic Dysfunction-Associated Steatohepatitis Drug: Resmetirom\",\"authors\":\"Youbao Cui,&nbsp;Jiachen Zhang,&nbsp;Shuyu Liu,&nbsp;Zhenhang Zhao,&nbsp;Mengya Shan,&nbsp;Nan Jiang* and Xin Zhai*,&nbsp;\",\"doi\":\"10.1021/acs.oprd.5c00149\",\"DOIUrl\":null,\"url\":null,\"abstract\":\"<p >A novel, efficient, and streamlined process was developed for resmetirom, a first-in-class THR-β agonist for the treatment of MASH. The key innovation of this novel process was the ingenious utilization of a “one-pot” reaction, which simultaneously accomplished aromatic cyclization and the hydrolysis of 3-chloro-4-isopropylpyridazine. This breakthrough circumvented steps of amino protection and deprotection, effectively streamlining the synthetic route from eight linear steps to four steps while maintaining mild reaction conditions. Using commercially available raw materials, the optimized process provided a rapid pathway to synthesize multigram quantities of resmetirom with an assay purity of 98.8% and a corrected overall yield of 44.3%.</p>\",\"PeriodicalId\":55,\"journal\":{\"name\":\"Organic Process Research & Development\",\"volume\":\"29 9\",\"pages\":\"2230–2237\"},\"PeriodicalIF\":3.5000,\"publicationDate\":\"2025-09-10\",\"publicationTypes\":\"Journal Article\",\"fieldsOfStudy\":null,\"isOpenAccess\":false,\"openAccessPdf\":\"\",\"citationCount\":\"0\",\"resultStr\":null,\"platform\":\"Semanticscholar\",\"paperid\":null,\"PeriodicalName\":\"Organic Process Research & Development\",\"FirstCategoryId\":\"92\",\"ListUrlMain\":\"https://pubs.acs.org/doi/10.1021/acs.oprd.5c00149\",\"RegionNum\":3,\"RegionCategory\":\"化学\",\"ArticlePicture\":[],\"TitleCN\":null,\"AbstractTextCN\":null,\"PMCID\":null,\"EPubDate\":\"\",\"PubModel\":\"\",\"JCR\":\"Q2\",\"JCRName\":\"CHEMISTRY, APPLIED\",\"Score\":null,\"Total\":0}","platform":"Semanticscholar","paperid":null,"PeriodicalName":"Organic Process Research & Development","FirstCategoryId":"92","ListUrlMain":"https://pubs.acs.org/doi/10.1021/acs.oprd.5c00149","RegionNum":3,"RegionCategory":"化学","ArticlePicture":[],"TitleCN":null,"AbstractTextCN":null,"PMCID":null,"EPubDate":"","PubModel":"","JCR":"Q2","JCRName":"CHEMISTRY, APPLIED","Score":null,"Total":0}
引用次数: 0

摘要

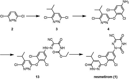
resmetirom是一种用于治疗MASH的一流THR-β激动剂,开发了一种新颖、高效和简化的工艺。该新工艺的关键创新之处在于巧妙地利用了“一锅”反应,同时完成了芳香环化和3-氯-4-异丙基吡啶的水解。该突破绕过了氨基保护和去保护步骤,有效地将合成路线从八个线性步骤简化为四个步骤,同时保持温和的反应条件。优化后的工艺以市售原料为原料,可快速合成多组分雷司替米,检测纯度为98.8%,校正后的总收率为44.3%。
本文章由计算机程序翻译,如有差异,请以英文原文为准。

An Alternate and Efficient Synthetic Process for a Metabolic Dysfunction-Associated Steatohepatitis Drug: Resmetirom

An Alternate and Efficient Synthetic Process for a Metabolic Dysfunction-Associated Steatohepatitis Drug: Resmetirom

A novel, efficient, and streamlined process was developed for resmetirom, a first-in-class THR-β agonist for the treatment of MASH. The key innovation of this novel process was the ingenious utilization of a “one-pot” reaction, which simultaneously accomplished aromatic cyclization and the hydrolysis of 3-chloro-4-isopropylpyridazine. This breakthrough circumvented steps of amino protection and deprotection, effectively streamlining the synthetic route from eight linear steps to four steps while maintaining mild reaction conditions. Using commercially available raw materials, the optimized process provided a rapid pathway to synthesize multigram quantities of resmetirom with an assay purity of 98.8% and a corrected overall yield of 44.3%.

求助全文
通过发布文献求助,成功后即可免费获取论文全文。 去求助
来源期刊
CiteScore
6.90
自引率
14.70%
发文量
251
审稿时长
2 months
期刊介绍: The journal Organic Process Research & Development serves as a communication tool between industrial chemists and chemists working in universities and research institutes. As such, it reports original work from the broad field of industrial process chemistry but also presents academic results that are relevant, or potentially relevant, to industrial applications. Process chemistry is the science that enables the safe, environmentally benign and ultimately economical manufacturing of organic compounds that are required in larger amounts to help address the needs of society. Consequently, the Journal encompasses every aspect of organic chemistry, including all aspects of catalysis, synthetic methodology development and synthetic strategy exploration, but also includes aspects from analytical and solid-state chemistry and chemical engineering, such as work-up tools,process safety, or flow-chemistry. The goal of development and optimization of chemical reactions and processes is their transfer to a larger scale; original work describing such studies and the actual implementation on scale is highly relevant to the journal. However, studies on new developments from either industry, research institutes or academia that have not yet been demonstrated on scale, but where an industrial utility can be expected and where the study has addressed important prerequisites for a scale-up and has given confidence into the reliability and practicality of the chemistry, also serve the mission of OPR&D as a communication tool between the different contributors to the field.
×
引用
GB/T 7714-2015
复制
MLA
复制
APA
复制
导出至
BibTeX EndNote RefMan NoteFirst NoteExpress
×
提示
您的信息不完整,为了账户安全,请先补充。
现在去补充
×
提示
您因"违规操作"
具体请查看互助需知
我知道了
×
提示
确定
请完成安全验证×
copy
已复制链接
快去分享给好友吧!
我知道了
右上角分享
点击右上角分享
0
联系我们:info@booksci.cn Book学术提供免费学术资源搜索服务,方便国内外学者检索中英文文献。致力于提供最便捷和优质的服务体验。 Copyright © 2023 布克学术 All rights reserved.
京ICP备2023020795号-1
ghs 京公网安备 11010802042870号
Book学术文献互助
Book学术文献互助群
群 号:604180095
Book学术官方微信