性别分层和抗坏血酸摄入改变身体圆度指数与生物衰老之间的关联:一项基于nhanes的相互作用和中介研究。

IF 3.9 2区 医学 Q2 BIOCHEMISTRY & MOLECULAR BIOLOGY
Xinxing Wang, Xiaoxiao Qu, Guosong Jiang
{"title":"性别分层和抗坏血酸摄入改变身体圆度指数与生物衰老之间的关联:一项基于nhanes的相互作用和中介研究。","authors":"Xinxing Wang, Xiaoxiao Qu, Guosong Jiang","doi":"10.1186/s12944-025-02708-1","DOIUrl":null,"url":null,"abstract":"<p><strong>Background: </strong>Biological aging, defined as the biological age (BA) or phenotypic age (PA) exceeding the chronological age (CA), is a key indicator of premature aging. Obesity accelerates aging; however, the effect of Body Roundness Index (BRI), an indicator of abdominal obesity, combined with sex or Ascorbic acid (Asc), on biological aging remains unclear. This study examined the association between BRI and biological aging, its interaction with sex and Asc intake, and its mediating mechanisms.</p><p><strong>Methods: </strong>Data from the 1999-2018 U.S. National Health and Nutrition Examination Survey (NHANES) formed the basis of this study. Biological aging is characterized by BA or PA surpassing CA. Association between the BRI and biological aging was evaluated using multivariable-adjusted weighted regression. To assess for nonlinearity, restricted cubic splines were utilized, while interactions were investigated through both additive and multiplicative analyses. The bootstrap method was used to examine the potential mediating effects of biomarkers of metabolic dysfunction, oxidative stress, and protective pathways.</p><p><strong>Results: </strong>The final analysis included 14,337 U.S. adults (mean age 47.5 years; 50.27% women). A total of 49.32% of the participants showed signs of biological aging, with BRI being positively associated with biological aging in a nonlinear manner, including a threshold effect. The increase in the risk per BRI unit was more significant in women, and high doses of Asc reduced the risk of biological aging associated with increased BRI. Mediation analysis indicated that the association between BRI and accelerated aging was partly mediated by metabolic dysfunction (mediated by the triglyceride-glucose index [18.73%] and by triglycerides [9.21%], oxidative stress mediated by uric acid [17.92%] and by white blood cell count [5.80%], and depletion of protective factors mediated by vitamin D [- 3.85%] and by high-density lipoprotein [- 4.24%]). A sensitivity analysis confirmed the reliability of the findings.</p><p><strong>Conclusions: </strong>A higher BRI showed a nonlinear positive association with accelerated biological aging, a relationship that appears to be modified by female sex and Asc intake. Clinical approaches targeting metabolic dysfunction, oxidative stress, and antioxidant and vasoprotective reserves may help combat obesity-related aging. BRI thresholds enable early identification of individuals at high risk for personalized interventions.</p>","PeriodicalId":18073,"journal":{"name":"Lipids in Health and Disease","volume":"24 1","pages":"281"},"PeriodicalIF":3.9000,"publicationDate":"2025-09-19","publicationTypes":"Journal Article","fieldsOfStudy":null,"isOpenAccess":false,"openAccessPdf":"https://www.ncbi.nlm.nih.gov/pmc/articles/PMC12447621/pdf/","citationCount":"0","resultStr":"{\"title\":\"Sex-stratified and ascorbic acid intake-modified associations between body roundness index and biological aging: a NHANES-based study on interactions and mediation.\",\"authors\":\"Xinxing Wang, Xiaoxiao Qu, Guosong Jiang\",\"doi\":\"10.1186/s12944-025-02708-1\",\"DOIUrl\":null,\"url\":null,\"abstract\":\"<p><strong>Background: </strong>Biological aging, defined as the biological age (BA) or phenotypic age (PA) exceeding the chronological age (CA), is a key indicator of premature aging. Obesity accelerates aging; however, the effect of Body Roundness Index (BRI), an indicator of abdominal obesity, combined with sex or Ascorbic acid (Asc), on biological aging remains unclear. This study examined the association between BRI and biological aging, its interaction with sex and Asc intake, and its mediating mechanisms.</p><p><strong>Methods: </strong>Data from the 1999-2018 U.S. National Health and Nutrition Examination Survey (NHANES) formed the basis of this study. Biological aging is characterized by BA or PA surpassing CA. Association between the BRI and biological aging was evaluated using multivariable-adjusted weighted regression. To assess for nonlinearity, restricted cubic splines were utilized, while interactions were investigated through both additive and multiplicative analyses. The bootstrap method was used to examine the potential mediating effects of biomarkers of metabolic dysfunction, oxidative stress, and protective pathways.</p><p><strong>Results: </strong>The final analysis included 14,337 U.S. adults (mean age 47.5 years; 50.27% women). A total of 49.32% of the participants showed signs of biological aging, with BRI being positively associated with biological aging in a nonlinear manner, including a threshold effect. The increase in the risk per BRI unit was more significant in women, and high doses of Asc reduced the risk of biological aging associated with increased BRI. Mediation analysis indicated that the association between BRI and accelerated aging was partly mediated by metabolic dysfunction (mediated by the triglyceride-glucose index [18.73%] and by triglycerides [9.21%], oxidative stress mediated by uric acid [17.92%] and by white blood cell count [5.80%], and depletion of protective factors mediated by vitamin D [- 3.85%] and by high-density lipoprotein [- 4.24%]). A sensitivity analysis confirmed the reliability of the findings.</p><p><strong>Conclusions: </strong>A higher BRI showed a nonlinear positive association with accelerated biological aging, a relationship that appears to be modified by female sex and Asc intake. Clinical approaches targeting metabolic dysfunction, oxidative stress, and antioxidant and vasoprotective reserves may help combat obesity-related aging. BRI thresholds enable early identification of individuals at high risk for personalized interventions.</p>\",\"PeriodicalId\":18073,\"journal\":{\"name\":\"Lipids in Health and Disease\",\"volume\":\"24 1\",\"pages\":\"281\"},\"PeriodicalIF\":3.9000,\"publicationDate\":\"2025-09-19\",\"publicationTypes\":\"Journal Article\",\"fieldsOfStudy\":null,\"isOpenAccess\":false,\"openAccessPdf\":\"https://www.ncbi.nlm.nih.gov/pmc/articles/PMC12447621/pdf/\",\"citationCount\":\"0\",\"resultStr\":null,\"platform\":\"Semanticscholar\",\"paperid\":null,\"PeriodicalName\":\"Lipids in Health and Disease\",\"FirstCategoryId\":\"3\",\"ListUrlMain\":\"https://doi.org/10.1186/s12944-025-02708-1\",\"RegionNum\":2,\"RegionCategory\":\"医学\",\"ArticlePicture\":[],\"TitleCN\":null,\"AbstractTextCN\":null,\"PMCID\":null,\"EPubDate\":\"\",\"PubModel\":\"\",\"JCR\":\"Q2\",\"JCRName\":\"BIOCHEMISTRY & MOLECULAR BIOLOGY\",\"Score\":null,\"Total\":0}","platform":"Semanticscholar","paperid":null,"PeriodicalName":"Lipids in Health and Disease","FirstCategoryId":"3","ListUrlMain":"https://doi.org/10.1186/s12944-025-02708-1","RegionNum":2,"RegionCategory":"医学","ArticlePicture":[],"TitleCN":null,"AbstractTextCN":null,"PMCID":null,"EPubDate":"","PubModel":"","JCR":"Q2","JCRName":"BIOCHEMISTRY & MOLECULAR BIOLOGY","Score":null,"Total":0}
引用次数: 0

摘要

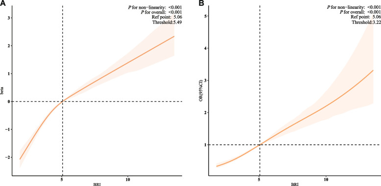
背景:生物老化是指生物年龄(BA)或表型年龄(PA)超过实足年龄(CA),是早衰的关键指标。肥胖加速衰老;然而,身体圆度指数(BRI),腹部肥胖的指标,结合性别或抗坏血酸(Asc),对生物衰老的影响尚不清楚。本研究探讨了BRI与生物衰老之间的关系,其与性别和Asc摄入量的相互作用及其介导机制。方法:1999-2018年美国国家健康与营养检查调查(NHANES)的数据构成了本研究的基础。生物老化的特征是BA或PA超过CA。使用多变量调整加权回归评估BRI与生物老化之间的关系。为了评估非线性,使用了限制三次样条,同时通过加法和乘法分析研究了相互作用。自举法用于检测代谢功能障碍、氧化应激和保护途径的生物标志物的潜在介导作用。结果:最终分析包括14337名美国成年人(平均年龄47.5岁,50.27%为女性)。共有49.32%的参与者表现出生物衰老的迹象,BRI与生物衰老呈非线性正相关,包括阈值效应。每单位BRI风险的增加在女性中更为显著,高剂量的Asc降低了与BRI增加相关的生物衰老风险。中介分析表明,BRI与加速衰老之间的关联部分是由代谢功能障碍介导的(由甘油三酯-葡萄糖指数介导的[18.73%]和甘油三酯介导的[9.21%],由尿酸介导的[17.92%]和白细胞计数介导的[5.80%]氧化应激,以及由维生素D介导的[- 3.85%]和高密度脂蛋白介导的[- 4.24%]保护因子的消耗)。敏感性分析证实了研究结果的可靠性。结论:较高的BRI与加速的生物衰老呈非线性正相关,这种关系似乎被女性性别和Asc摄入量所改变。针对代谢功能障碍、氧化应激、抗氧化和血管保护储备的临床方法可能有助于对抗肥胖相关的衰老。BRI阈值能够早期识别高风险个体,以便进行个性化干预。
本文章由计算机程序翻译,如有差异,请以英文原文为准。

Sex-stratified and ascorbic acid intake-modified associations between body roundness index and biological aging: a NHANES-based study on interactions and mediation.

Sex-stratified and ascorbic acid intake-modified associations between body roundness index and biological aging: a NHANES-based study on interactions and mediation.

Sex-stratified and ascorbic acid intake-modified associations between body roundness index and biological aging: a NHANES-based study on interactions and mediation.

Sex-stratified and ascorbic acid intake-modified associations between body roundness index and biological aging: a NHANES-based study on interactions and mediation.

Background: Biological aging, defined as the biological age (BA) or phenotypic age (PA) exceeding the chronological age (CA), is a key indicator of premature aging. Obesity accelerates aging; however, the effect of Body Roundness Index (BRI), an indicator of abdominal obesity, combined with sex or Ascorbic acid (Asc), on biological aging remains unclear. This study examined the association between BRI and biological aging, its interaction with sex and Asc intake, and its mediating mechanisms.

Methods: Data from the 1999-2018 U.S. National Health and Nutrition Examination Survey (NHANES) formed the basis of this study. Biological aging is characterized by BA or PA surpassing CA. Association between the BRI and biological aging was evaluated using multivariable-adjusted weighted regression. To assess for nonlinearity, restricted cubic splines were utilized, while interactions were investigated through both additive and multiplicative analyses. The bootstrap method was used to examine the potential mediating effects of biomarkers of metabolic dysfunction, oxidative stress, and protective pathways.

Results: The final analysis included 14,337 U.S. adults (mean age 47.5 years; 50.27% women). A total of 49.32% of the participants showed signs of biological aging, with BRI being positively associated with biological aging in a nonlinear manner, including a threshold effect. The increase in the risk per BRI unit was more significant in women, and high doses of Asc reduced the risk of biological aging associated with increased BRI. Mediation analysis indicated that the association between BRI and accelerated aging was partly mediated by metabolic dysfunction (mediated by the triglyceride-glucose index [18.73%] and by triglycerides [9.21%], oxidative stress mediated by uric acid [17.92%] and by white blood cell count [5.80%], and depletion of protective factors mediated by vitamin D [- 3.85%] and by high-density lipoprotein [- 4.24%]). A sensitivity analysis confirmed the reliability of the findings.

Conclusions: A higher BRI showed a nonlinear positive association with accelerated biological aging, a relationship that appears to be modified by female sex and Asc intake. Clinical approaches targeting metabolic dysfunction, oxidative stress, and antioxidant and vasoprotective reserves may help combat obesity-related aging. BRI thresholds enable early identification of individuals at high risk for personalized interventions.

求助全文
通过发布文献求助,成功后即可免费获取论文全文。 去求助
来源期刊
Lipids in Health and Disease
Lipids in Health and Disease 生物-生化与分子生物学
CiteScore
7.70
自引率
2.20%
发文量
122
审稿时长
3-8 weeks
期刊介绍: Lipids in Health and Disease is an open access, peer-reviewed, journal that publishes articles on all aspects of lipids: their biochemistry, pharmacology, toxicology, role in health and disease, and the synthesis of new lipid compounds. Lipids in Health and Disease is aimed at all scientists, health professionals and physicians interested in the area of lipids. Lipids are defined here in their broadest sense, to include: cholesterol, essential fatty acids, saturated fatty acids, phospholipids, inositol lipids, second messenger lipids, enzymes and synthetic machinery that is involved in the metabolism of various lipids in the cells and tissues, and also various aspects of lipid transport, etc. In addition, the journal also publishes research that investigates and defines the role of lipids in various physiological processes, pathology and disease. In particular, the journal aims to bridge the gap between the bench and the clinic by publishing articles that are particularly relevant to human diseases and the role of lipids in the management of various diseases.
×
引用
GB/T 7714-2015
复制
MLA
复制
APA
复制
导出至
BibTeX EndNote RefMan NoteFirst NoteExpress
×
提示
您的信息不完整,为了账户安全,请先补充。
现在去补充
×
提示
您因"违规操作"
具体请查看互助需知
我知道了
×
提示
确定
请完成安全验证×
copy
已复制链接
快去分享给好友吧!
我知道了
右上角分享
点击右上角分享
0
联系我们:info@booksci.cn Book学术提供免费学术资源搜索服务,方便国内外学者检索中英文文献。致力于提供最便捷和优质的服务体验。 Copyright © 2023 布克学术 All rights reserved.
京ICP备2023020795号-1
ghs 京公网安备 11010802042870号
Book学术文献互助
Book学术文献互助群
群 号:604180095
Book学术官方微信