优化ena7075基板上冷喷涂CuAlFeB粉末的耐腐蚀和耐磨性能

IF 2 4区 材料科学 Q3 MATERIALS SCIENCE, MULTIDISCIPLINARY
Shilabati Hembram, Naveen Manhar Chavan, Avishek Roy, S. Kumar, Abhijit Majumdar, Manojit Ghosh
{"title":"优化ena7075基板上冷喷涂CuAlFeB粉末的耐腐蚀和耐磨性能","authors":"Shilabati Hembram,&nbsp;Naveen Manhar Chavan,&nbsp;Avishek Roy,&nbsp;S. Kumar,&nbsp;Abhijit Majumdar,&nbsp;Manojit Ghosh","doi":"10.1007/s11665-025-10651-6","DOIUrl":null,"url":null,"abstract":"<div><p>This work summarizes an attempt to develop a coating with mixtures of Cu, Al, Fe, and B powder through the cold spray (CS) process. The addition of B to AlCuFeB Complex Metallic Alloys (CMA) has been found to reduce friction forces. The addition of B to CMA alloys can also improve the material’s hardness, toughness, and resistance to wear and corrosion. These properties make AlCuFeB CMA compounds highly desirable for use in a range of applications, including in the aerospace, automotive, and industrial sectors (Moore in Proc R Soc London Ser A, Math Phys Sci 212(1111): 452–458, 1952). In this study, mixtures of powders bearing the composition Cu<sub>41</sub>Al<sub>40</sub>Fe<sub>18.18</sub> B<sub>.82</sub> were mechanically milled for 5 h and subsequently deposited onto an EN AW 7075 substrate. This study examined the microstructure, hardness, the effect on corrosion and wear behaviour, and the wettability of the coating. Results show that the contact angle of the surface increases significantly with increasing temperature and pressure during CS. The contact angle measurement indicates an average enhancement in the non-wetting characteristics of the coated samples. A notable reduction in the corrosion rate from 438.31 <span>\\({\\upmu }_{\\text{m}}\\)</span>/Y to 5.3092 <span>\\({\\upmu }_{\\text{m}}\\)</span>/Y was reported due to increased stagnation temperature and pressure during CS. With the rise of stagnation temperature (400 to <span>\\(500^\\circ \\text{C}\\)</span> and pressure 10 to 20 bars), the specific wear rate was reduced from 1.76024x <span>\\({10}^{-05}\\frac{{\\text{m}}^{3}}{\\text{Nm}}\\)</span> to 9.96x <span>\\({10}^{-06}\\frac{{\\text{m}}^{3}}{\\text{Nm}}\\)</span>.</p></div>","PeriodicalId":644,"journal":{"name":"Journal of Materials Engineering and Performance","volume":"34 18","pages":"20448 - 20458"},"PeriodicalIF":2.0000,"publicationDate":"2025-01-31","publicationTypes":"Journal Article","fieldsOfStudy":null,"isOpenAccess":false,"openAccessPdf":"","citationCount":"0","resultStr":"{\"title\":\"Optimizing Properties of Cold Sprayed CuAlFeB Powder on EN AW 7075 Substrate for Corrosion and Wear Resistance Applications\",\"authors\":\"Shilabati Hembram,&nbsp;Naveen Manhar Chavan,&nbsp;Avishek Roy,&nbsp;S. Kumar,&nbsp;Abhijit Majumdar,&nbsp;Manojit Ghosh\",\"doi\":\"10.1007/s11665-025-10651-6\",\"DOIUrl\":null,\"url\":null,\"abstract\":\"<div><p>This work summarizes an attempt to develop a coating with mixtures of Cu, Al, Fe, and B powder through the cold spray (CS) process. The addition of B to AlCuFeB Complex Metallic Alloys (CMA) has been found to reduce friction forces. The addition of B to CMA alloys can also improve the material’s hardness, toughness, and resistance to wear and corrosion. These properties make AlCuFeB CMA compounds highly desirable for use in a range of applications, including in the aerospace, automotive, and industrial sectors (Moore in Proc R Soc London Ser A, Math Phys Sci 212(1111): 452–458, 1952). In this study, mixtures of powders bearing the composition Cu<sub>41</sub>Al<sub>40</sub>Fe<sub>18.18</sub> B<sub>.82</sub> were mechanically milled for 5 h and subsequently deposited onto an EN AW 7075 substrate. This study examined the microstructure, hardness, the effect on corrosion and wear behaviour, and the wettability of the coating. Results show that the contact angle of the surface increases significantly with increasing temperature and pressure during CS. The contact angle measurement indicates an average enhancement in the non-wetting characteristics of the coated samples. A notable reduction in the corrosion rate from 438.31 <span>\\\\({\\\\upmu }_{\\\\text{m}}\\\\)</span>/Y to 5.3092 <span>\\\\({\\\\upmu }_{\\\\text{m}}\\\\)</span>/Y was reported due to increased stagnation temperature and pressure during CS. With the rise of stagnation temperature (400 to <span>\\\\(500^\\\\circ \\\\text{C}\\\\)</span> and pressure 10 to 20 bars), the specific wear rate was reduced from 1.76024x <span>\\\\({10}^{-05}\\\\frac{{\\\\text{m}}^{3}}{\\\\text{Nm}}\\\\)</span> to 9.96x <span>\\\\({10}^{-06}\\\\frac{{\\\\text{m}}^{3}}{\\\\text{Nm}}\\\\)</span>.</p></div>\",\"PeriodicalId\":644,\"journal\":{\"name\":\"Journal of Materials Engineering and Performance\",\"volume\":\"34 18\",\"pages\":\"20448 - 20458\"},\"PeriodicalIF\":2.0000,\"publicationDate\":\"2025-01-31\",\"publicationTypes\":\"Journal Article\",\"fieldsOfStudy\":null,\"isOpenAccess\":false,\"openAccessPdf\":\"\",\"citationCount\":\"0\",\"resultStr\":null,\"platform\":\"Semanticscholar\",\"paperid\":null,\"PeriodicalName\":\"Journal of Materials Engineering and Performance\",\"FirstCategoryId\":\"88\",\"ListUrlMain\":\"https://link.springer.com/article/10.1007/s11665-025-10651-6\",\"RegionNum\":4,\"RegionCategory\":\"材料科学\",\"ArticlePicture\":[],\"TitleCN\":null,\"AbstractTextCN\":null,\"PMCID\":null,\"EPubDate\":\"\",\"PubModel\":\"\",\"JCR\":\"Q3\",\"JCRName\":\"MATERIALS SCIENCE, MULTIDISCIPLINARY\",\"Score\":null,\"Total\":0}","platform":"Semanticscholar","paperid":null,"PeriodicalName":"Journal of Materials Engineering and Performance","FirstCategoryId":"88","ListUrlMain":"https://link.springer.com/article/10.1007/s11665-025-10651-6","RegionNum":4,"RegionCategory":"材料科学","ArticlePicture":[],"TitleCN":null,"AbstractTextCN":null,"PMCID":null,"EPubDate":"","PubModel":"","JCR":"Q3","JCRName":"MATERIALS SCIENCE, MULTIDISCIPLINARY","Score":null,"Total":0}
引用次数: 0

摘要

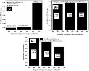
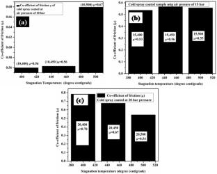
本文总结了利用冷喷涂(CS)工艺制备Cu、Al、Fe和B混合粉末涂层的尝试。在AlCuFeB复合金属合金(CMA)中加入B可以减小摩擦力。在CMA合金中加入B还可以提高材料的硬度、韧性以及耐磨损和耐腐蚀性能。这些特性使得AlCuFeB CMA化合物在一系列应用中非常理想,包括在航空航天,汽车和工业领域(Moore in Proc R Soc London Ser a, Math physics Sci 212(1111): 452-458, 1952)。在这项研究中,将含有Cu41Al40Fe18.18 B.82成分的粉末混合物机械研磨5小时,然后沉积在EN AW 7075基体上。本研究考察了涂层的显微组织、硬度、对腐蚀和磨损行为的影响以及涂层的润湿性。结果表明:在连续压缩过程中,表面接触角随温度和压力的升高而显著增大;接触角测量表明,涂层样品的非润湿特性有平均增强。据报道,由于CS过程中停滞温度和压力的增加,腐蚀速率从438.31 \({\upmu }_{\text{m}}\) /Y显著降低到5.3092 \({\upmu }_{\text{m}}\) /Y。随着滞止温度(400 ~ \(500^\circ \text{C}\),压力10 ~ 20 bar)的升高,比磨损率从1.76024 × \({10}^{-05}\frac{{\text{m}}^{3}}{\text{Nm}}\)降低到9.96 × \({10}^{-06}\frac{{\text{m}}^{3}}{\text{Nm}}\)。
本文章由计算机程序翻译,如有差异,请以英文原文为准。

Optimizing Properties of Cold Sprayed CuAlFeB Powder on EN AW 7075 Substrate for Corrosion and Wear Resistance Applications

Optimizing Properties of Cold Sprayed CuAlFeB Powder on EN AW 7075 Substrate for Corrosion and Wear Resistance Applications

Optimizing Properties of Cold Sprayed CuAlFeB Powder on EN AW 7075 Substrate for Corrosion and Wear Resistance Applications

This work summarizes an attempt to develop a coating with mixtures of Cu, Al, Fe, and B powder through the cold spray (CS) process. The addition of B to AlCuFeB Complex Metallic Alloys (CMA) has been found to reduce friction forces. The addition of B to CMA alloys can also improve the material’s hardness, toughness, and resistance to wear and corrosion. These properties make AlCuFeB CMA compounds highly desirable for use in a range of applications, including in the aerospace, automotive, and industrial sectors (Moore in Proc R Soc London Ser A, Math Phys Sci 212(1111): 452–458, 1952). In this study, mixtures of powders bearing the composition Cu41Al40Fe18.18 B.82 were mechanically milled for 5 h and subsequently deposited onto an EN AW 7075 substrate. This study examined the microstructure, hardness, the effect on corrosion and wear behaviour, and the wettability of the coating. Results show that the contact angle of the surface increases significantly with increasing temperature and pressure during CS. The contact angle measurement indicates an average enhancement in the non-wetting characteristics of the coated samples. A notable reduction in the corrosion rate from 438.31 \({\upmu }_{\text{m}}\)/Y to 5.3092 \({\upmu }_{\text{m}}\)/Y was reported due to increased stagnation temperature and pressure during CS. With the rise of stagnation temperature (400 to \(500^\circ \text{C}\) and pressure 10 to 20 bars), the specific wear rate was reduced from 1.76024x \({10}^{-05}\frac{{\text{m}}^{3}}{\text{Nm}}\) to 9.96x \({10}^{-06}\frac{{\text{m}}^{3}}{\text{Nm}}\).

求助全文
通过发布文献求助,成功后即可免费获取论文全文。 去求助
来源期刊
Journal of Materials Engineering and Performance
Journal of Materials Engineering and Performance 工程技术-材料科学:综合
CiteScore
3.90
自引率
13.00%
发文量
1120
审稿时长
4.9 months
期刊介绍: ASM International''s Journal of Materials Engineering and Performance focuses on solving day-to-day engineering challenges, particularly those involving components for larger systems. The journal presents a clear understanding of relationships between materials selection, processing, applications and performance. The Journal of Materials Engineering covers all aspects of materials selection, design, processing, characterization and evaluation, including how to improve materials properties through processes and process control of casting, forming, heat treating, surface modification and coating, and fabrication. Testing and characterization (including mechanical and physical tests, NDE, metallography, failure analysis, corrosion resistance, chemical analysis, surface characterization, and microanalysis of surfaces, features and fractures), and industrial performance measurement are also covered
×
引用
GB/T 7714-2015
复制
MLA
复制
APA
复制
导出至
BibTeX EndNote RefMan NoteFirst NoteExpress
×
提示
您的信息不完整,为了账户安全,请先补充。
现在去补充
×
提示
您因"违规操作"
具体请查看互助需知
我知道了
×
提示
确定
请完成安全验证×
copy
已复制链接
快去分享给好友吧!
我知道了
右上角分享
点击右上角分享
0
联系我们:info@booksci.cn Book学术提供免费学术资源搜索服务,方便国内外学者检索中英文文献。致力于提供最便捷和优质的服务体验。 Copyright © 2023 布克学术 All rights reserved.
京ICP备2023020795号-1
ghs 京公网安备 11010802042870号
Book学术文献互助
Book学术文献互助群
群 号:604180095
Book学术官方微信