脊髓小脑性共济失调患者的临床与日常步态特征。

IF 3.2 Q1 HEALTH CARE SCIENCES & SERVICES
Frontiers in digital health Pub Date : 2025-09-03 eCollection Date: 2025-01-01 DOI:10.3389/fdgth.2025.1590150
Vrutangkumar V Shah, Daniel Muzyka, Adam Jagodinsky, Hannah Casey, James McNames, Mahmoud El-Gohary, Kristen Sowalsky, Delaram Safarpour, Patricia Carlson-Kuhta, Fay B Horak, Christopher M Gomez
{"title":"脊髓小脑性共济失调患者的临床与日常步态特征。","authors":"Vrutangkumar V Shah, Daniel Muzyka, Adam Jagodinsky, Hannah Casey, James McNames, Mahmoud El-Gohary, Kristen Sowalsky, Delaram Safarpour, Patricia Carlson-Kuhta, Fay B Horak, Christopher M Gomez","doi":"10.3389/fdgth.2025.1590150","DOIUrl":null,"url":null,"abstract":"<p><strong>Background: </strong>Recent findings suggest that a single gait assessment in a clinic may not reflect everyday mobility.</p><p><strong>Objective: </strong>We compared gait measures that best differentiated individuals with spinocerebellar ataxia (SCA) from age-matched healthy controls (HC) during a supervised gait test in the clinic vs. a week of unsupervised gait during daily life.</p><p><strong>Methods: </strong>Twenty-six individuals with SCA types 1, 2, 3, and 6, and 13 (HC) wore three Opal inertial sensors (on both feet and lower back) during a 2-minute walk in the clinic and for seven days in daily life. Seventeen gait measures were analyzed to investigate the group differences using Mann-Whitney <i>U</i>-tests and area under the curve (AUC).</p><p><strong>Results: </strong>Ten gait measures were significantly worse in SCA than HC for the clinic test (<i>p</i> < 0.003), but only 3 were worse in daily life (<i>p</i> < 0.003). Only a few gait measures consistently discriminated groups in both environments. Specifically, variability in Swing Time and Double Support Time had AUCs of 0.99 (<i>p</i> < 0.0001) and 0.96 (<i>p</i> < 0.0001) in the clinic, and 0.84 (<i>p</i> < 0.0003) and 0.80 (<i>p</i> < 0.002) in daily life, respectively. Clinical gait measures showed stronger correlations with clinical outcomes (ie, SARA and FARS-ADL; r = 0.50-0.77) than between daily life gait measures (r = 0.31-0.49). Gait activity in daily life was not statistically significant between the SCA and HC groups (<i>p</i> > 0.06).</p><p><strong>Conclusions: </strong>Digital gait measures discriminate SCA in both environments. In-clinic measures are more sensitive, while daily life measures provide ecological validity, highlighting a trade-off and offering complementary insights.</p>","PeriodicalId":73078,"journal":{"name":"Frontiers in digital health","volume":"7 ","pages":"1590150"},"PeriodicalIF":3.2000,"publicationDate":"2025-09-03","publicationTypes":"Journal Article","fieldsOfStudy":null,"isOpenAccess":false,"openAccessPdf":"https://www.ncbi.nlm.nih.gov/pmc/articles/PMC12440962/pdf/","citationCount":"0","resultStr":"{\"title\":\"Clinic vs. daily life gait characteristics in patients with spinocerebellar ataxia.\",\"authors\":\"Vrutangkumar V Shah, Daniel Muzyka, Adam Jagodinsky, Hannah Casey, James McNames, Mahmoud El-Gohary, Kristen Sowalsky, Delaram Safarpour, Patricia Carlson-Kuhta, Fay B Horak, Christopher M Gomez\",\"doi\":\"10.3389/fdgth.2025.1590150\",\"DOIUrl\":null,\"url\":null,\"abstract\":\"<p><strong>Background: </strong>Recent findings suggest that a single gait assessment in a clinic may not reflect everyday mobility.</p><p><strong>Objective: </strong>We compared gait measures that best differentiated individuals with spinocerebellar ataxia (SCA) from age-matched healthy controls (HC) during a supervised gait test in the clinic vs. a week of unsupervised gait during daily life.</p><p><strong>Methods: </strong>Twenty-six individuals with SCA types 1, 2, 3, and 6, and 13 (HC) wore three Opal inertial sensors (on both feet and lower back) during a 2-minute walk in the clinic and for seven days in daily life. Seventeen gait measures were analyzed to investigate the group differences using Mann-Whitney <i>U</i>-tests and area under the curve (AUC).</p><p><strong>Results: </strong>Ten gait measures were significantly worse in SCA than HC for the clinic test (<i>p</i> < 0.003), but only 3 were worse in daily life (<i>p</i> < 0.003). Only a few gait measures consistently discriminated groups in both environments. Specifically, variability in Swing Time and Double Support Time had AUCs of 0.99 (<i>p</i> < 0.0001) and 0.96 (<i>p</i> < 0.0001) in the clinic, and 0.84 (<i>p</i> < 0.0003) and 0.80 (<i>p</i> < 0.002) in daily life, respectively. Clinical gait measures showed stronger correlations with clinical outcomes (ie, SARA and FARS-ADL; r = 0.50-0.77) than between daily life gait measures (r = 0.31-0.49). Gait activity in daily life was not statistically significant between the SCA and HC groups (<i>p</i> > 0.06).</p><p><strong>Conclusions: </strong>Digital gait measures discriminate SCA in both environments. In-clinic measures are more sensitive, while daily life measures provide ecological validity, highlighting a trade-off and offering complementary insights.</p>\",\"PeriodicalId\":73078,\"journal\":{\"name\":\"Frontiers in digital health\",\"volume\":\"7 \",\"pages\":\"1590150\"},\"PeriodicalIF\":3.2000,\"publicationDate\":\"2025-09-03\",\"publicationTypes\":\"Journal Article\",\"fieldsOfStudy\":null,\"isOpenAccess\":false,\"openAccessPdf\":\"https://www.ncbi.nlm.nih.gov/pmc/articles/PMC12440962/pdf/\",\"citationCount\":\"0\",\"resultStr\":null,\"platform\":\"Semanticscholar\",\"paperid\":null,\"PeriodicalName\":\"Frontiers in digital health\",\"FirstCategoryId\":\"1085\",\"ListUrlMain\":\"https://doi.org/10.3389/fdgth.2025.1590150\",\"RegionNum\":0,\"RegionCategory\":null,\"ArticlePicture\":[],\"TitleCN\":null,\"AbstractTextCN\":null,\"PMCID\":null,\"EPubDate\":\"2025/1/1 0:00:00\",\"PubModel\":\"eCollection\",\"JCR\":\"Q1\",\"JCRName\":\"HEALTH CARE SCIENCES & SERVICES\",\"Score\":null,\"Total\":0}","platform":"Semanticscholar","paperid":null,"PeriodicalName":"Frontiers in digital health","FirstCategoryId":"1085","ListUrlMain":"https://doi.org/10.3389/fdgth.2025.1590150","RegionNum":0,"RegionCategory":null,"ArticlePicture":[],"TitleCN":null,"AbstractTextCN":null,"PMCID":null,"EPubDate":"2025/1/1 0:00:00","PubModel":"eCollection","JCR":"Q1","JCRName":"HEALTH CARE SCIENCES & SERVICES","Score":null,"Total":0}
引用次数: 0

摘要

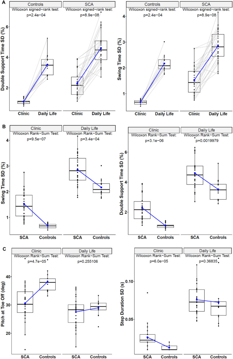
背景:最近的研究结果表明,在临床单一的步态评估可能不能反映日常活动。目的:我们比较了在临床监督步态测试中最好地区分脊髓小脑性共济失调(SCA)个体与年龄匹配的健康对照(HC)的步态测量,以及在日常生活中一周的无监督步态。方法:26名SCA类型1、2、3、6和13 (HC)的个体在诊所步行2分钟和日常生活7天时佩戴三个Opal惯性传感器(在双脚和下背部)。采用Mann-Whitney u检验和曲线下面积(area under the curve, AUC)对17项步态测量进行分析,探讨组间差异。结果:在临床试验中,SCA组的10项步态指标明显差于HC组(p p p p p p > 0.06)。结论:数字步态测量可以区分两种环境下的SCA。临床测量更敏感,而日常生活测量提供生态有效性,强调权衡并提供互补的见解。
本文章由计算机程序翻译,如有差异,请以英文原文为准。

Clinic vs. daily life gait characteristics in patients with spinocerebellar ataxia.

Clinic vs. daily life gait characteristics in patients with spinocerebellar ataxia.

Clinic vs. daily life gait characteristics in patients with spinocerebellar ataxia.

Clinic vs. daily life gait characteristics in patients with spinocerebellar ataxia.

Background: Recent findings suggest that a single gait assessment in a clinic may not reflect everyday mobility.

Objective: We compared gait measures that best differentiated individuals with spinocerebellar ataxia (SCA) from age-matched healthy controls (HC) during a supervised gait test in the clinic vs. a week of unsupervised gait during daily life.

Methods: Twenty-six individuals with SCA types 1, 2, 3, and 6, and 13 (HC) wore three Opal inertial sensors (on both feet and lower back) during a 2-minute walk in the clinic and for seven days in daily life. Seventeen gait measures were analyzed to investigate the group differences using Mann-Whitney U-tests and area under the curve (AUC).

Results: Ten gait measures were significantly worse in SCA than HC for the clinic test (p < 0.003), but only 3 were worse in daily life (p < 0.003). Only a few gait measures consistently discriminated groups in both environments. Specifically, variability in Swing Time and Double Support Time had AUCs of 0.99 (p < 0.0001) and 0.96 (p < 0.0001) in the clinic, and 0.84 (p < 0.0003) and 0.80 (p < 0.002) in daily life, respectively. Clinical gait measures showed stronger correlations with clinical outcomes (ie, SARA and FARS-ADL; r = 0.50-0.77) than between daily life gait measures (r = 0.31-0.49). Gait activity in daily life was not statistically significant between the SCA and HC groups (p > 0.06).

Conclusions: Digital gait measures discriminate SCA in both environments. In-clinic measures are more sensitive, while daily life measures provide ecological validity, highlighting a trade-off and offering complementary insights.

求助全文
通过发布文献求助,成功后即可免费获取论文全文。 去求助
来源期刊
CiteScore
4.20
自引率
0.00%
发文量
0
审稿时长
13 weeks
×
引用
GB/T 7714-2015
复制
MLA
复制
APA
复制
导出至
BibTeX EndNote RefMan NoteFirst NoteExpress
×
提示
您的信息不完整,为了账户安全,请先补充。
现在去补充
×
提示
您因"违规操作"
具体请查看互助需知
我知道了
×
提示
确定
请完成安全验证×
copy
已复制链接
快去分享给好友吧!
我知道了
右上角分享
点击右上角分享
0
联系我们:info@booksci.cn Book学术提供免费学术资源搜索服务,方便国内外学者检索中英文文献。致力于提供最便捷和优质的服务体验。 Copyright © 2023 布克学术 All rights reserved.
京ICP备2023020795号-1
ghs 京公网安备 11010802042870号
Book学术文献互助
Book学术文献互助群
群 号:604180095
Book学术官方微信