基于免疫疗法的一线联合治疗晚期肺癌患者报告的结果:一项前瞻性、多中心、观察性研究

IF 2.3 3区 医学 Q3 ONCOLOGY
Rong Jia, Junyi Zou, Han Hu, Xiaoshan Wang, Yuzhu Zheng, Fan Yang, Yan Pang, Ke Wang, Yi Wang, Jianning Tang, Lingna Kou, Yang Liu, Jing Ding, Xin Li, Wei Dai, Xing Wei, Qiuling Shi, Jin Zhou
{"title":"基于免疫疗法的一线联合治疗晚期肺癌患者报告的结果:一项前瞻性、多中心、观察性研究","authors":"Rong Jia, Junyi Zou, Han Hu, Xiaoshan Wang, Yuzhu Zheng, Fan Yang, Yan Pang, Ke Wang, Yi Wang, Jianning Tang, Lingna Kou, Yang Liu, Jing Ding, Xin Li, Wei Dai, Xing Wei, Qiuling Shi, Jin Zhou","doi":"10.1111/1759-7714.70155","DOIUrl":null,"url":null,"abstract":"<p><strong>Background: </strong>This study aimed to characterize longitudinal trajectories of tumor burden and treatment-related symptoms following immune checkpoint inhibitor (ICI) therapy in patients with advanced lung cancer, based on electronic patient-reported outcomes (ePRO).</p><p><strong>Methods: </strong>Using the MD Anderson Symptom Inventory-Lung Cancer module and an immune-related adverse event symptom item scale, we collected the ePRO data of patients undergoing first-line immunotherapy-based combination treatment for advanced unresectable primary lung cancer. Evaluating trajectories of primary symptoms and symptom differences between treatment groups using linear mixed-effects models.</p><p><strong>Results: </strong>A total of 168 patients were included in the study. The top five symptoms with the highest severity before treatment were coughing, distress, shortness of breath, disturbed sleep, and pain. Coughing was gradually attenuated with ongoing treatment. Symptoms of distress, shortness of breath, disturbed sleep, and pain also showed an overall decreasing trend. The top five immunotherapy-related symptoms, with the highest severity, were early satiety, abdominal distension, night sweats, altered sense of taste, and bloated pain, which demonstrated a cyclical gradual increase throughout treatment. Compared to the ICIs + chemotherapy group, the ICIs + chemotherapy + VEGFR-TKIs group showed significantly lower burden in four of the top five immunotherapy-related symptoms, with the exception of night sweats, which demonstrated no significant difference.</p><p><strong>Conclusions: </strong>Patients with advanced lung cancer experienced reduced severity of lung cancer-related symptoms after receiving immunotherapy-based combination treatment, and immune-specific symptoms showed cyclical exacerbation with ongoing treatment. The addition of VEGFR-TKIs to ICIs + chemotherapy did not increase the associated toxicity burden.</p>","PeriodicalId":23338,"journal":{"name":"Thoracic Cancer","volume":"16 18","pages":"e70155"},"PeriodicalIF":2.3000,"publicationDate":"2025-09-01","publicationTypes":"Journal Article","fieldsOfStudy":null,"isOpenAccess":false,"openAccessPdf":"https://www.ncbi.nlm.nih.gov/pmc/articles/PMC12445973/pdf/","citationCount":"0","resultStr":"{\"title\":\"Patient-Reported Outcomes With First-Line Immunotherapy-Based Combination Treatment for Advanced Lung Cancer: A Prospective, Multicenter, Observational Study.\",\"authors\":\"Rong Jia, Junyi Zou, Han Hu, Xiaoshan Wang, Yuzhu Zheng, Fan Yang, Yan Pang, Ke Wang, Yi Wang, Jianning Tang, Lingna Kou, Yang Liu, Jing Ding, Xin Li, Wei Dai, Xing Wei, Qiuling Shi, Jin Zhou\",\"doi\":\"10.1111/1759-7714.70155\",\"DOIUrl\":null,\"url\":null,\"abstract\":\"<p><strong>Background: </strong>This study aimed to characterize longitudinal trajectories of tumor burden and treatment-related symptoms following immune checkpoint inhibitor (ICI) therapy in patients with advanced lung cancer, based on electronic patient-reported outcomes (ePRO).</p><p><strong>Methods: </strong>Using the MD Anderson Symptom Inventory-Lung Cancer module and an immune-related adverse event symptom item scale, we collected the ePRO data of patients undergoing first-line immunotherapy-based combination treatment for advanced unresectable primary lung cancer. Evaluating trajectories of primary symptoms and symptom differences between treatment groups using linear mixed-effects models.</p><p><strong>Results: </strong>A total of 168 patients were included in the study. The top five symptoms with the highest severity before treatment were coughing, distress, shortness of breath, disturbed sleep, and pain. Coughing was gradually attenuated with ongoing treatment. Symptoms of distress, shortness of breath, disturbed sleep, and pain also showed an overall decreasing trend. The top five immunotherapy-related symptoms, with the highest severity, were early satiety, abdominal distension, night sweats, altered sense of taste, and bloated pain, which demonstrated a cyclical gradual increase throughout treatment. Compared to the ICIs + chemotherapy group, the ICIs + chemotherapy + VEGFR-TKIs group showed significantly lower burden in four of the top five immunotherapy-related symptoms, with the exception of night sweats, which demonstrated no significant difference.</p><p><strong>Conclusions: </strong>Patients with advanced lung cancer experienced reduced severity of lung cancer-related symptoms after receiving immunotherapy-based combination treatment, and immune-specific symptoms showed cyclical exacerbation with ongoing treatment. The addition of VEGFR-TKIs to ICIs + chemotherapy did not increase the associated toxicity burden.</p>\",\"PeriodicalId\":23338,\"journal\":{\"name\":\"Thoracic Cancer\",\"volume\":\"16 18\",\"pages\":\"e70155\"},\"PeriodicalIF\":2.3000,\"publicationDate\":\"2025-09-01\",\"publicationTypes\":\"Journal Article\",\"fieldsOfStudy\":null,\"isOpenAccess\":false,\"openAccessPdf\":\"https://www.ncbi.nlm.nih.gov/pmc/articles/PMC12445973/pdf/\",\"citationCount\":\"0\",\"resultStr\":null,\"platform\":\"Semanticscholar\",\"paperid\":null,\"PeriodicalName\":\"Thoracic Cancer\",\"FirstCategoryId\":\"3\",\"ListUrlMain\":\"https://doi.org/10.1111/1759-7714.70155\",\"RegionNum\":3,\"RegionCategory\":\"医学\",\"ArticlePicture\":[],\"TitleCN\":null,\"AbstractTextCN\":null,\"PMCID\":null,\"EPubDate\":\"\",\"PubModel\":\"\",\"JCR\":\"Q3\",\"JCRName\":\"ONCOLOGY\",\"Score\":null,\"Total\":0}","platform":"Semanticscholar","paperid":null,"PeriodicalName":"Thoracic Cancer","FirstCategoryId":"3","ListUrlMain":"https://doi.org/10.1111/1759-7714.70155","RegionNum":3,"RegionCategory":"医学","ArticlePicture":[],"TitleCN":null,"AbstractTextCN":null,"PMCID":null,"EPubDate":"","PubModel":"","JCR":"Q3","JCRName":"ONCOLOGY","Score":null,"Total":0}
引用次数: 0

摘要

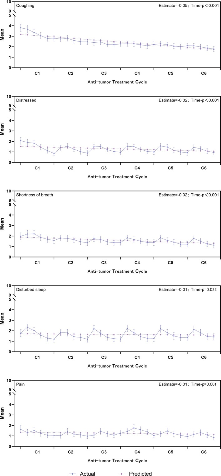
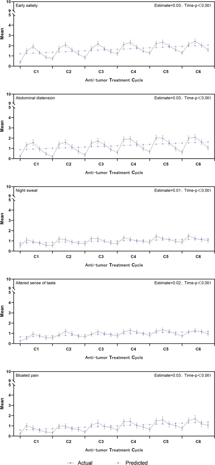
背景:本研究旨在描述基于电子患者报告结局(ePRO)的晚期肺癌患者免疫检查点抑制剂(ICI)治疗后肿瘤负担和治疗相关症状的纵向轨迹。方法:采用MD安德森症状量表-肺癌模块和免疫相关不良事件症状条目量表,收集一线免疫治疗联合治疗晚期不可切除原发性肺癌患者的ePRO数据。使用线性混合效应模型评估治疗组间原发性症状的轨迹和症状差异。结果:共纳入168例患者。治疗前最严重的五大症状是咳嗽、痛苦、呼吸短促、睡眠不安和疼痛。咳嗽随着持续治疗逐渐减轻。焦虑、呼吸短促、睡眠不安和疼痛的症状也总体呈下降趋势。最严重的免疫治疗相关症状为早饱、腹胀、盗汗、味觉改变和肿胀疼痛,在整个治疗过程中呈周期性逐渐增加。与ICIs +化疗组相比,ICIs +化疗+ VEGFR-TKIs组五大免疫治疗相关症状中,除盗汗外,其余四项负担均显著降低,差异无统计学意义。结论:晚期肺癌患者在接受以免疫治疗为基础的联合治疗后,肺癌相关症状的严重程度有所减轻,且免疫特异性症状随着治疗的持续而周期性加重。在ICIs +化疗中添加VEGFR-TKIs不会增加相关的毒性负担。
本文章由计算机程序翻译,如有差异,请以英文原文为准。

Patient-Reported Outcomes With First-Line Immunotherapy-Based Combination Treatment for Advanced Lung Cancer: A Prospective, Multicenter, Observational Study.

Patient-Reported Outcomes With First-Line Immunotherapy-Based Combination Treatment for Advanced Lung Cancer: A Prospective, Multicenter, Observational Study.

Patient-Reported Outcomes With First-Line Immunotherapy-Based Combination Treatment for Advanced Lung Cancer: A Prospective, Multicenter, Observational Study.

Patient-Reported Outcomes With First-Line Immunotherapy-Based Combination Treatment for Advanced Lung Cancer: A Prospective, Multicenter, Observational Study.

Background: This study aimed to characterize longitudinal trajectories of tumor burden and treatment-related symptoms following immune checkpoint inhibitor (ICI) therapy in patients with advanced lung cancer, based on electronic patient-reported outcomes (ePRO).

Methods: Using the MD Anderson Symptom Inventory-Lung Cancer module and an immune-related adverse event symptom item scale, we collected the ePRO data of patients undergoing first-line immunotherapy-based combination treatment for advanced unresectable primary lung cancer. Evaluating trajectories of primary symptoms and symptom differences between treatment groups using linear mixed-effects models.

Results: A total of 168 patients were included in the study. The top five symptoms with the highest severity before treatment were coughing, distress, shortness of breath, disturbed sleep, and pain. Coughing was gradually attenuated with ongoing treatment. Symptoms of distress, shortness of breath, disturbed sleep, and pain also showed an overall decreasing trend. The top five immunotherapy-related symptoms, with the highest severity, were early satiety, abdominal distension, night sweats, altered sense of taste, and bloated pain, which demonstrated a cyclical gradual increase throughout treatment. Compared to the ICIs + chemotherapy group, the ICIs + chemotherapy + VEGFR-TKIs group showed significantly lower burden in four of the top five immunotherapy-related symptoms, with the exception of night sweats, which demonstrated no significant difference.

Conclusions: Patients with advanced lung cancer experienced reduced severity of lung cancer-related symptoms after receiving immunotherapy-based combination treatment, and immune-specific symptoms showed cyclical exacerbation with ongoing treatment. The addition of VEGFR-TKIs to ICIs + chemotherapy did not increase the associated toxicity burden.

求助全文
通过发布文献求助,成功后即可免费获取论文全文。 去求助
来源期刊
Thoracic Cancer
Thoracic Cancer ONCOLOGY-RESPIRATORY SYSTEM
CiteScore
5.20
自引率
3.40%
发文量
439
审稿时长
2 months
期刊介绍: Thoracic Cancer aims to facilitate international collaboration and exchange of comprehensive and cutting-edge information on basic, translational, and applied clinical research in lung cancer, esophageal cancer, mediastinal cancer, breast cancer and other thoracic malignancies. Prevention, treatment and research relevant to Asia-Pacific is a focus area, but submissions from all regions are welcomed. The editors encourage contributions relevant to prevention, general thoracic surgery, medical oncology, radiology, radiation medicine, pathology, basic cancer research, as well as epidemiological and translational studies in thoracic cancer. Thoracic Cancer is the official publication of the Chinese Society of Lung Cancer, International Chinese Society of Thoracic Surgery and is endorsed by the Korean Association for the Study of Lung Cancer and the Hong Kong Cancer Therapy Society. The Journal publishes a range of article types including: Editorials, Invited Reviews, Mini Reviews, Original Articles, Clinical Guidelines, Technological Notes, Imaging in thoracic cancer, Meeting Reports, Case Reports, Letters to the Editor, Commentaries, and Brief Reports.
×
引用
GB/T 7714-2015
复制
MLA
复制
APA
复制
导出至
BibTeX EndNote RefMan NoteFirst NoteExpress
×
提示
您的信息不完整,为了账户安全,请先补充。
现在去补充
×
提示
您因"违规操作"
具体请查看互助需知
我知道了
×
提示
确定
请完成安全验证×
copy
已复制链接
快去分享给好友吧!
我知道了
右上角分享
点击右上角分享
0
联系我们:info@booksci.cn Book学术提供免费学术资源搜索服务,方便国内外学者检索中英文文献。致力于提供最便捷和优质的服务体验。 Copyright © 2023 布克学术 All rights reserved.
京ICP备2023020795号-1
ghs 京公网安备 11010802042870号
Book学术文献互助
Book学术文献互助群
群 号:604180095
Book学术官方微信