全规模二级生物废水处理系统的病毒对数减少值和主导机制。

IF 1.9 4区 环境科学与生态学 Q3 ENGINEERING, ENVIRONMENTAL
Phillip Wang, Tyler Hill, Christina Morrison, Katherine Crank, Jacimaria Batista, Daniel Gerrity
{"title":"全规模二级生物废水处理系统的病毒对数减少值和主导机制。","authors":"Phillip Wang, Tyler Hill, Christina Morrison, Katherine Crank, Jacimaria Batista, Daniel Gerrity","doi":"10.1002/wer.70180","DOIUrl":null,"url":null,"abstract":"<p><p>Secondary biological wastewater treatment is a core component of potable reuse treatment trains, but it is often uncredited for virus attenuation. This study evaluated virus log reduction values (LRVs) at two full-scale water resource recovery facilities in Southern Nevada: one with conventional activated sludge and another with lagoon treatment. Four human enteric viruses and four fecal indicator viruses were quantified using molecular assays; culture assays quantified F-specific and somatic coliphages. Median LRVs were low (< 1.0) for plant viruses and generally higher (> 1.0) for adenovirus and crAssphage, consistent with predictions from a solids partitioning model. The fifth percentile LRVs that often drive regulatory determinations were < 0.5 for norovirus GI/GII. For conventional activated sludge, nucleic acid decay was a significant contributor to the molecular LRVs, whereas culturable coliphage data (median LRV = 2.5) highlighted solids attachment and subsequent physical removal as a dominant mechanism. In contrast, lagoon treatment sometimes achieved LRVs > 4.0 for culturable coliphages, primarily due to temperature-dependent inactivation. Based on the collective insight from recent studies, adoption of a broad virus LRV crediting framework for conventional activated sludge systems in potable reuse applications will require better alignment between molecular and culture methods and a deeper understanding of virus attenuation mechanisms.</p>","PeriodicalId":23621,"journal":{"name":"Water Environment Research","volume":"97 9","pages":"e70180"},"PeriodicalIF":1.9000,"publicationDate":"2025-09-01","publicationTypes":"Journal Article","fieldsOfStudy":null,"isOpenAccess":false,"openAccessPdf":"https://www.ncbi.nlm.nih.gov/pmc/articles/PMC12446742/pdf/","citationCount":"0","resultStr":"{\"title\":\"Virus Log Reduction Values and Dominant Mechanisms in Full-Scale Secondary Biological Wastewater Treatment Systems.\",\"authors\":\"Phillip Wang, Tyler Hill, Christina Morrison, Katherine Crank, Jacimaria Batista, Daniel Gerrity\",\"doi\":\"10.1002/wer.70180\",\"DOIUrl\":null,\"url\":null,\"abstract\":\"<p><p>Secondary biological wastewater treatment is a core component of potable reuse treatment trains, but it is often uncredited for virus attenuation. This study evaluated virus log reduction values (LRVs) at two full-scale water resource recovery facilities in Southern Nevada: one with conventional activated sludge and another with lagoon treatment. Four human enteric viruses and four fecal indicator viruses were quantified using molecular assays; culture assays quantified F-specific and somatic coliphages. Median LRVs were low (< 1.0) for plant viruses and generally higher (> 1.0) for adenovirus and crAssphage, consistent with predictions from a solids partitioning model. The fifth percentile LRVs that often drive regulatory determinations were < 0.5 for norovirus GI/GII. For conventional activated sludge, nucleic acid decay was a significant contributor to the molecular LRVs, whereas culturable coliphage data (median LRV = 2.5) highlighted solids attachment and subsequent physical removal as a dominant mechanism. In contrast, lagoon treatment sometimes achieved LRVs > 4.0 for culturable coliphages, primarily due to temperature-dependent inactivation. Based on the collective insight from recent studies, adoption of a broad virus LRV crediting framework for conventional activated sludge systems in potable reuse applications will require better alignment between molecular and culture methods and a deeper understanding of virus attenuation mechanisms.</p>\",\"PeriodicalId\":23621,\"journal\":{\"name\":\"Water Environment Research\",\"volume\":\"97 9\",\"pages\":\"e70180\"},\"PeriodicalIF\":1.9000,\"publicationDate\":\"2025-09-01\",\"publicationTypes\":\"Journal Article\",\"fieldsOfStudy\":null,\"isOpenAccess\":false,\"openAccessPdf\":\"https://www.ncbi.nlm.nih.gov/pmc/articles/PMC12446742/pdf/\",\"citationCount\":\"0\",\"resultStr\":null,\"platform\":\"Semanticscholar\",\"paperid\":null,\"PeriodicalName\":\"Water Environment Research\",\"FirstCategoryId\":\"93\",\"ListUrlMain\":\"https://doi.org/10.1002/wer.70180\",\"RegionNum\":4,\"RegionCategory\":\"环境科学与生态学\",\"ArticlePicture\":[],\"TitleCN\":null,\"AbstractTextCN\":null,\"PMCID\":null,\"EPubDate\":\"\",\"PubModel\":\"\",\"JCR\":\"Q3\",\"JCRName\":\"ENGINEERING, ENVIRONMENTAL\",\"Score\":null,\"Total\":0}","platform":"Semanticscholar","paperid":null,"PeriodicalName":"Water Environment Research","FirstCategoryId":"93","ListUrlMain":"https://doi.org/10.1002/wer.70180","RegionNum":4,"RegionCategory":"环境科学与生态学","ArticlePicture":[],"TitleCN":null,"AbstractTextCN":null,"PMCID":null,"EPubDate":"","PubModel":"","JCR":"Q3","JCRName":"ENGINEERING, ENVIRONMENTAL","Score":null,"Total":0}
引用次数: 0

摘要

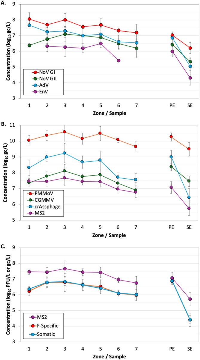
二级生物废水处理是饮用水回用处理系统的核心组成部分,但它往往不被认为是病毒衰减。本研究评估了内华达州南部两个全面的水资源回收设施的病毒对数减少值(lrv):一个采用传统活性污泥处理,另一个采用泻湖处理。采用分子分析法对4种人肠道病毒和4种粪便指示病毒进行定量分析;培养测定定量的f特异性和体细胞噬菌体。腺病毒和噬菌体的中位lrv较低(1.0),与固体分割模型的预测一致。对于可培养的噬菌体,通常驱动调控决定的第5百分位lrv为4.0,主要是由于温度依赖性失活。基于最近研究的集体见解,在饮用水再利用应用中采用传统活性污泥系统的广泛病毒LRV信用框架将需要更好地结合分子和培养方法,并更深入地了解病毒衰减机制。
本文章由计算机程序翻译,如有差异,请以英文原文为准。

Virus Log Reduction Values and Dominant Mechanisms in Full-Scale Secondary Biological Wastewater Treatment Systems.

Virus Log Reduction Values and Dominant Mechanisms in Full-Scale Secondary Biological Wastewater Treatment Systems.

Virus Log Reduction Values and Dominant Mechanisms in Full-Scale Secondary Biological Wastewater Treatment Systems.

Virus Log Reduction Values and Dominant Mechanisms in Full-Scale Secondary Biological Wastewater Treatment Systems.

Secondary biological wastewater treatment is a core component of potable reuse treatment trains, but it is often uncredited for virus attenuation. This study evaluated virus log reduction values (LRVs) at two full-scale water resource recovery facilities in Southern Nevada: one with conventional activated sludge and another with lagoon treatment. Four human enteric viruses and four fecal indicator viruses were quantified using molecular assays; culture assays quantified F-specific and somatic coliphages. Median LRVs were low (< 1.0) for plant viruses and generally higher (> 1.0) for adenovirus and crAssphage, consistent with predictions from a solids partitioning model. The fifth percentile LRVs that often drive regulatory determinations were < 0.5 for norovirus GI/GII. For conventional activated sludge, nucleic acid decay was a significant contributor to the molecular LRVs, whereas culturable coliphage data (median LRV = 2.5) highlighted solids attachment and subsequent physical removal as a dominant mechanism. In contrast, lagoon treatment sometimes achieved LRVs > 4.0 for culturable coliphages, primarily due to temperature-dependent inactivation. Based on the collective insight from recent studies, adoption of a broad virus LRV crediting framework for conventional activated sludge systems in potable reuse applications will require better alignment between molecular and culture methods and a deeper understanding of virus attenuation mechanisms.

求助全文
通过发布文献求助,成功后即可免费获取论文全文。 去求助
来源期刊
Water Environment Research
Water Environment Research 环境科学-工程:环境
CiteScore
6.30
自引率
0.00%
发文量
138
审稿时长
11 months
期刊介绍: Published since 1928, Water Environment Research (WER) is an international multidisciplinary water resource management journal for the dissemination of fundamental and applied research in all scientific and technical areas related to water quality and resource recovery. WER''s goal is to foster communication and interdisciplinary research between water sciences and related fields such as environmental toxicology, agriculture, public and occupational health, microbiology, and ecology. In addition to original research articles, short communications, case studies, reviews, and perspectives are encouraged.
×
引用
GB/T 7714-2015
复制
MLA
复制
APA
复制
导出至
BibTeX EndNote RefMan NoteFirst NoteExpress
×
提示
您的信息不完整,为了账户安全,请先补充。
现在去补充
×
提示
您因"违规操作"
具体请查看互助需知
我知道了
×
提示
确定
请完成安全验证×
copy
已复制链接
快去分享给好友吧!
我知道了
右上角分享
点击右上角分享
0
联系我们:info@booksci.cn Book学术提供免费学术资源搜索服务,方便国内外学者检索中英文文献。致力于提供最便捷和优质的服务体验。 Copyright © 2023 布克学术 All rights reserved.
京ICP备2023020795号-1
ghs 京公网安备 11010802042870号
Book学术文献互助
Book学术文献互助群
群 号:604180095
Book学术官方微信