基于机器学习的异位妊娠破裂预测临床模型的开发和验证:基于网络的Nomogram方法。

IF 2.4 3区 医学 Q2 HEALTH CARE SCIENCES & SERVICES
Journal of Multidisciplinary Healthcare Pub Date : 2025-09-13 eCollection Date: 2025-01-01 DOI:10.2147/JMDH.S536476
Xiongying Zhao, Tianchen Wu, Simin Zeng, Xiaoyun Yuan, Xiaoying Liang, Hui Yang, Lihui Ye
{"title":"基于机器学习的异位妊娠破裂预测临床模型的开发和验证:基于网络的Nomogram方法。","authors":"Xiongying Zhao, Tianchen Wu, Simin Zeng, Xiaoyun Yuan, Xiaoying Liang, Hui Yang, Lihui Ye","doi":"10.2147/JMDH.S536476","DOIUrl":null,"url":null,"abstract":"<p><strong>Objective: </strong>The aim of this study is to develop a predictive model for rupture-associated bleeding in ectopic pregnancy (EP) and to construct a web-based nomogram to support early clinical intervention in women at elevated risk.</p><p><strong>Methods: </strong>Clinical data were retrospectively collected from 543 women with EP at Hexian Memorial Affiliated Hospital of Southern Medical University, Guangzhou, China, between June 2019 and June 2022. Among these, 58 cases were confirmed intraoperatively to have experienced rupture with bleeding. The cohort was randomly divided into training (70%) and validation (30%) subsets. Key predictive variables were selected using the Extreme Gradient Boosting (XGBoost) algorithm, guided by SHapley Additive exPlanations (SHAP) values. Model performance was assessed using the area under the receiver operating characteristic (ROC) curve, calibration analysis, decision curve analysis (DCA), and clinical impact curve (CIC). A web-based nomogram was subsequently developed for clinical implementation.</p><p><strong>Results: </strong>Seven predictive variables were identified and used to construct the model. The ROC curve yielded an area under the curve (AUC) of 0.941 (95% CI: 0.882-0.968) in the training subset and 0.970 (95% CI: 0.9405-0.990) in the validation subset. Calibration curves demonstrated strong concordance between predicted probabilities and observed outcomes. DCA indicated a clinically meaningful predictive probability range between 1% and 94.82%. A dynamic, web-based nomogram was created to facilitate practical application.</p><p><strong>Conclusion: </strong>A clinically applicable predictive model for rupture in EP was developed and validated, incorporating seven key variables. The web-based nomogram enables early risk stratification and intervention, potentially reducing the incidence of rupture-related complications.</p>","PeriodicalId":16357,"journal":{"name":"Journal of Multidisciplinary Healthcare","volume":"18 ","pages":"5781-5799"},"PeriodicalIF":2.4000,"publicationDate":"2025-09-13","publicationTypes":"Journal Article","fieldsOfStudy":null,"isOpenAccess":false,"openAccessPdf":"https://www.ncbi.nlm.nih.gov/pmc/articles/PMC12442824/pdf/","citationCount":"0","resultStr":"{\"title\":\"Development and Validation of a Machine Learning-Based Clinical Model for Predicting Rupture in Ectopic Pregnancy: A Web-Based Nomogram Approach.\",\"authors\":\"Xiongying Zhao, Tianchen Wu, Simin Zeng, Xiaoyun Yuan, Xiaoying Liang, Hui Yang, Lihui Ye\",\"doi\":\"10.2147/JMDH.S536476\",\"DOIUrl\":null,\"url\":null,\"abstract\":\"<p><strong>Objective: </strong>The aim of this study is to develop a predictive model for rupture-associated bleeding in ectopic pregnancy (EP) and to construct a web-based nomogram to support early clinical intervention in women at elevated risk.</p><p><strong>Methods: </strong>Clinical data were retrospectively collected from 543 women with EP at Hexian Memorial Affiliated Hospital of Southern Medical University, Guangzhou, China, between June 2019 and June 2022. Among these, 58 cases were confirmed intraoperatively to have experienced rupture with bleeding. The cohort was randomly divided into training (70%) and validation (30%) subsets. Key predictive variables were selected using the Extreme Gradient Boosting (XGBoost) algorithm, guided by SHapley Additive exPlanations (SHAP) values. Model performance was assessed using the area under the receiver operating characteristic (ROC) curve, calibration analysis, decision curve analysis (DCA), and clinical impact curve (CIC). A web-based nomogram was subsequently developed for clinical implementation.</p><p><strong>Results: </strong>Seven predictive variables were identified and used to construct the model. The ROC curve yielded an area under the curve (AUC) of 0.941 (95% CI: 0.882-0.968) in the training subset and 0.970 (95% CI: 0.9405-0.990) in the validation subset. Calibration curves demonstrated strong concordance between predicted probabilities and observed outcomes. DCA indicated a clinically meaningful predictive probability range between 1% and 94.82%. A dynamic, web-based nomogram was created to facilitate practical application.</p><p><strong>Conclusion: </strong>A clinically applicable predictive model for rupture in EP was developed and validated, incorporating seven key variables. The web-based nomogram enables early risk stratification and intervention, potentially reducing the incidence of rupture-related complications.</p>\",\"PeriodicalId\":16357,\"journal\":{\"name\":\"Journal of Multidisciplinary Healthcare\",\"volume\":\"18 \",\"pages\":\"5781-5799\"},\"PeriodicalIF\":2.4000,\"publicationDate\":\"2025-09-13\",\"publicationTypes\":\"Journal Article\",\"fieldsOfStudy\":null,\"isOpenAccess\":false,\"openAccessPdf\":\"https://www.ncbi.nlm.nih.gov/pmc/articles/PMC12442824/pdf/\",\"citationCount\":\"0\",\"resultStr\":null,\"platform\":\"Semanticscholar\",\"paperid\":null,\"PeriodicalName\":\"Journal of Multidisciplinary Healthcare\",\"FirstCategoryId\":\"3\",\"ListUrlMain\":\"https://doi.org/10.2147/JMDH.S536476\",\"RegionNum\":3,\"RegionCategory\":\"医学\",\"ArticlePicture\":[],\"TitleCN\":null,\"AbstractTextCN\":null,\"PMCID\":null,\"EPubDate\":\"2025/1/1 0:00:00\",\"PubModel\":\"eCollection\",\"JCR\":\"Q2\",\"JCRName\":\"HEALTH CARE SCIENCES & SERVICES\",\"Score\":null,\"Total\":0}","platform":"Semanticscholar","paperid":null,"PeriodicalName":"Journal of Multidisciplinary Healthcare","FirstCategoryId":"3","ListUrlMain":"https://doi.org/10.2147/JMDH.S536476","RegionNum":3,"RegionCategory":"医学","ArticlePicture":[],"TitleCN":null,"AbstractTextCN":null,"PMCID":null,"EPubDate":"2025/1/1 0:00:00","PubModel":"eCollection","JCR":"Q2","JCRName":"HEALTH CARE SCIENCES & SERVICES","Score":null,"Total":0}
引用次数: 0

摘要

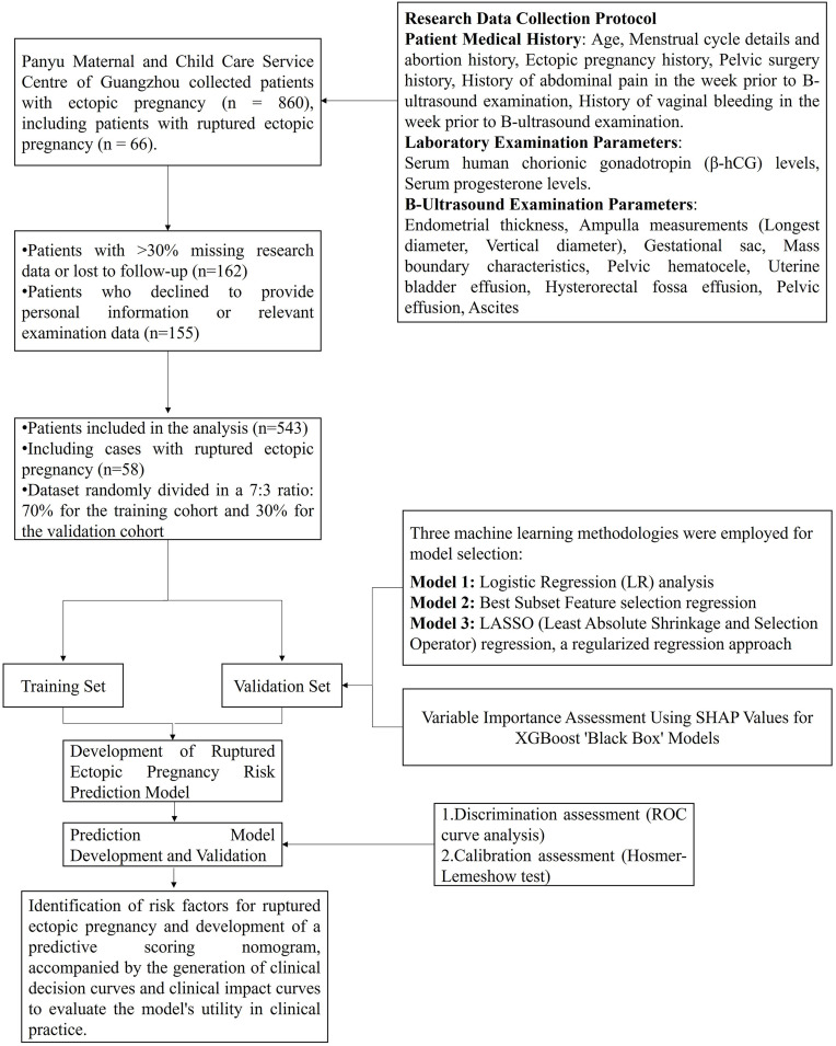
目的:本研究的目的是建立宫外孕(EP)破裂相关出血的预测模型,并构建基于网络的图,以支持高危妇女的早期临床干预。方法:回顾性收集2019年6月至2022年6月在中国广州南方医科大学和县纪念附属医院就诊的543例EP患者的临床资料。其中58例在术中被证实有破裂出血。队列随机分为训练组(70%)和验证组(30%)。在SHapley加性解释(SHAP)值的指导下,使用极端梯度增强(XGBoost)算法选择关键预测变量。采用受试者工作特征(ROC)曲线下面积、校准分析、决策曲线分析(DCA)和临床影响曲线(CIC)评估模型性能。随后开发了一种基于网络的nomogram临床图。结果:确定了7个预测变量并用于构建模型。训练子集的ROC曲线下面积(AUC)为0.941 (95% CI: 0.882-0.968),验证子集的AUC为0.970 (95% CI: 0.9405-0.990)。校准曲线显示预测概率与观测结果之间有很强的一致性。DCA显示临床有意义的预测概率范围为1% ~ 94.82%。创建了一个动态的、基于web的nomogram来促进实际应用。结论:建立并验证了一个临床适用的EP破裂预测模型,该模型包含7个关键变量。基于网络的nomograph能够实现早期风险分层和干预,潜在地减少破裂相关并发症的发生率。
本文章由计算机程序翻译,如有差异,请以英文原文为准。

Development and Validation of a Machine Learning-Based Clinical Model for Predicting Rupture in Ectopic Pregnancy: A Web-Based Nomogram Approach.

Development and Validation of a Machine Learning-Based Clinical Model for Predicting Rupture in Ectopic Pregnancy: A Web-Based Nomogram Approach.

Development and Validation of a Machine Learning-Based Clinical Model for Predicting Rupture in Ectopic Pregnancy: A Web-Based Nomogram Approach.

Development and Validation of a Machine Learning-Based Clinical Model for Predicting Rupture in Ectopic Pregnancy: A Web-Based Nomogram Approach.

Objective: The aim of this study is to develop a predictive model for rupture-associated bleeding in ectopic pregnancy (EP) and to construct a web-based nomogram to support early clinical intervention in women at elevated risk.

Methods: Clinical data were retrospectively collected from 543 women with EP at Hexian Memorial Affiliated Hospital of Southern Medical University, Guangzhou, China, between June 2019 and June 2022. Among these, 58 cases were confirmed intraoperatively to have experienced rupture with bleeding. The cohort was randomly divided into training (70%) and validation (30%) subsets. Key predictive variables were selected using the Extreme Gradient Boosting (XGBoost) algorithm, guided by SHapley Additive exPlanations (SHAP) values. Model performance was assessed using the area under the receiver operating characteristic (ROC) curve, calibration analysis, decision curve analysis (DCA), and clinical impact curve (CIC). A web-based nomogram was subsequently developed for clinical implementation.

Results: Seven predictive variables were identified and used to construct the model. The ROC curve yielded an area under the curve (AUC) of 0.941 (95% CI: 0.882-0.968) in the training subset and 0.970 (95% CI: 0.9405-0.990) in the validation subset. Calibration curves demonstrated strong concordance between predicted probabilities and observed outcomes. DCA indicated a clinically meaningful predictive probability range between 1% and 94.82%. A dynamic, web-based nomogram was created to facilitate practical application.

Conclusion: A clinically applicable predictive model for rupture in EP was developed and validated, incorporating seven key variables. The web-based nomogram enables early risk stratification and intervention, potentially reducing the incidence of rupture-related complications.

求助全文
通过发布文献求助,成功后即可免费获取论文全文。 去求助
来源期刊
Journal of Multidisciplinary Healthcare
Journal of Multidisciplinary Healthcare Nursing-General Nursing
CiteScore
4.60
自引率
3.00%
发文量
287
审稿时长
16 weeks
期刊介绍: The Journal of Multidisciplinary Healthcare (JMDH) aims to represent and publish research in healthcare areas delivered by practitioners of different disciplines. This includes studies and reviews conducted by multidisciplinary teams as well as research which evaluates or reports the results or conduct of such teams or healthcare processes in general. The journal covers a very wide range of areas and we welcome submissions from practitioners at all levels and from all over the world. Good healthcare is not bounded by person, place or time and the journal aims to reflect this. The JMDH is published as an open-access journal to allow this wide range of practical, patient relevant research to be immediately available to practitioners who can access and use it immediately upon publication.
×
引用
GB/T 7714-2015
复制
MLA
复制
APA
复制
导出至
BibTeX EndNote RefMan NoteFirst NoteExpress
×
提示
您的信息不完整,为了账户安全,请先补充。
现在去补充
×
提示
您因"违规操作"
具体请查看互助需知
我知道了
×
提示
确定
请完成安全验证×
copy
已复制链接
快去分享给好友吧!
我知道了
右上角分享
点击右上角分享
0
联系我们:info@booksci.cn Book学术提供免费学术资源搜索服务,方便国内外学者检索中英文文献。致力于提供最便捷和优质的服务体验。 Copyright © 2023 布克学术 All rights reserved.
京ICP备2023020795号-1
ghs 京公网安备 11010802042870号
Book学术文献互助
Book学术文献互助群
群 号:604180095
Book学术官方微信