格拉斯哥预后评分可作为新诊断多发性骨髓瘤患者临床预后的预后因素。

IF 4.1 2区 医学 Q2 IMMUNOLOGY
Journal of Inflammation Research Pub Date : 2025-09-13 eCollection Date: 2025-01-01 DOI:10.2147/JIR.S539706
Shuzhen Li, Limei Zhang, Shutong Liu, Zhijian Liang, Weida Wang, Yun Wang, Yang Liang
{"title":"格拉斯哥预后评分可作为新诊断多发性骨髓瘤患者临床预后的预后因素。","authors":"Shuzhen Li, Limei Zhang, Shutong Liu, Zhijian Liang, Weida Wang, Yun Wang, Yang Liang","doi":"10.2147/JIR.S539706","DOIUrl":null,"url":null,"abstract":"<p><strong>Purpose: </strong>The Glasgow Prognostic Score (GPS), a systemic inflammation-based prognostic model incorporating C-reactive protein (CRP) and serum albumin levels, has been widely validated in solid tumors and several hematologic malignancies. However, its prognostic value in newly diagnosed multiple myeloma (NDMM) remains unclear. This study aimed to evaluate the association between GPS and survival outcomes in NDMM patients.</p><p><strong>Patients and methods: </strong>We retrospectively analyzed a real-world cohort of 865 NDMM patients. Patients were stratified based on GPS, and overall survival (OS) and progression-free survival (PFS) were assessed by using Kaplan-Meier analysis. Cox proportional hazards models were used to determine the independent prognostic significance of GPS, adjusting for confounding factors. To compare the prognostic stratification capacity of GPS to its two modified variants, the same Kaplan-Meier analysis was applied to evaluate both the modified Glasgow Prognostic Score (mGPS) and the hypersensitivity-modified Glasgow Prognostic Score (Hs-mGPS). Quantitative comparisons utilized area under the curve (AUC) values derived from time-dependent Receiver Operating Characteristic (ROC) analysis.</p><p><strong>Results: </strong>A higher GPS was significantly associated with inferior OS and PFS in NDMM patients. Multivariate analysis confirmed that GPS was an independent prognostic factor after adjusting for disease stage and other clinical variables. Additionally, patients with elevated GPS scores presented with more advanced disease stages, as reflected by higher Durie-Salmon and International Staging System (ISS) classifications. And GPS exerts better prognostic stratification capacity than mGPS and Hs-mGPS.</p><p><strong>Conclusion: </strong>The baseline GPS at the time of diagnosis is an independent prognostic factor that negatively relates to the MM patient survival, for which GPS may serve as a supplement tool in risk stratification upon the primary medical assessment.</p>","PeriodicalId":16107,"journal":{"name":"Journal of Inflammation Research","volume":"18 ","pages":"12699-12711"},"PeriodicalIF":4.1000,"publicationDate":"2025-09-13","publicationTypes":"Journal Article","fieldsOfStudy":null,"isOpenAccess":false,"openAccessPdf":"https://www.ncbi.nlm.nih.gov/pmc/articles/PMC12442819/pdf/","citationCount":"0","resultStr":"{\"title\":\"Glasgow Prognostic Score Serves as a Prognostic Factor of Clinical Outcome in Patients with Newly Diagnosed Multiple Myeloma.\",\"authors\":\"Shuzhen Li, Limei Zhang, Shutong Liu, Zhijian Liang, Weida Wang, Yun Wang, Yang Liang\",\"doi\":\"10.2147/JIR.S539706\",\"DOIUrl\":null,\"url\":null,\"abstract\":\"<p><strong>Purpose: </strong>The Glasgow Prognostic Score (GPS), a systemic inflammation-based prognostic model incorporating C-reactive protein (CRP) and serum albumin levels, has been widely validated in solid tumors and several hematologic malignancies. However, its prognostic value in newly diagnosed multiple myeloma (NDMM) remains unclear. This study aimed to evaluate the association between GPS and survival outcomes in NDMM patients.</p><p><strong>Patients and methods: </strong>We retrospectively analyzed a real-world cohort of 865 NDMM patients. Patients were stratified based on GPS, and overall survival (OS) and progression-free survival (PFS) were assessed by using Kaplan-Meier analysis. Cox proportional hazards models were used to determine the independent prognostic significance of GPS, adjusting for confounding factors. To compare the prognostic stratification capacity of GPS to its two modified variants, the same Kaplan-Meier analysis was applied to evaluate both the modified Glasgow Prognostic Score (mGPS) and the hypersensitivity-modified Glasgow Prognostic Score (Hs-mGPS). Quantitative comparisons utilized area under the curve (AUC) values derived from time-dependent Receiver Operating Characteristic (ROC) analysis.</p><p><strong>Results: </strong>A higher GPS was significantly associated with inferior OS and PFS in NDMM patients. Multivariate analysis confirmed that GPS was an independent prognostic factor after adjusting for disease stage and other clinical variables. Additionally, patients with elevated GPS scores presented with more advanced disease stages, as reflected by higher Durie-Salmon and International Staging System (ISS) classifications. And GPS exerts better prognostic stratification capacity than mGPS and Hs-mGPS.</p><p><strong>Conclusion: </strong>The baseline GPS at the time of diagnosis is an independent prognostic factor that negatively relates to the MM patient survival, for which GPS may serve as a supplement tool in risk stratification upon the primary medical assessment.</p>\",\"PeriodicalId\":16107,\"journal\":{\"name\":\"Journal of Inflammation Research\",\"volume\":\"18 \",\"pages\":\"12699-12711\"},\"PeriodicalIF\":4.1000,\"publicationDate\":\"2025-09-13\",\"publicationTypes\":\"Journal Article\",\"fieldsOfStudy\":null,\"isOpenAccess\":false,\"openAccessPdf\":\"https://www.ncbi.nlm.nih.gov/pmc/articles/PMC12442819/pdf/\",\"citationCount\":\"0\",\"resultStr\":null,\"platform\":\"Semanticscholar\",\"paperid\":null,\"PeriodicalName\":\"Journal of Inflammation Research\",\"FirstCategoryId\":\"3\",\"ListUrlMain\":\"https://doi.org/10.2147/JIR.S539706\",\"RegionNum\":2,\"RegionCategory\":\"医学\",\"ArticlePicture\":[],\"TitleCN\":null,\"AbstractTextCN\":null,\"PMCID\":null,\"EPubDate\":\"2025/1/1 0:00:00\",\"PubModel\":\"eCollection\",\"JCR\":\"Q2\",\"JCRName\":\"IMMUNOLOGY\",\"Score\":null,\"Total\":0}","platform":"Semanticscholar","paperid":null,"PeriodicalName":"Journal of Inflammation Research","FirstCategoryId":"3","ListUrlMain":"https://doi.org/10.2147/JIR.S539706","RegionNum":2,"RegionCategory":"医学","ArticlePicture":[],"TitleCN":null,"AbstractTextCN":null,"PMCID":null,"EPubDate":"2025/1/1 0:00:00","PubModel":"eCollection","JCR":"Q2","JCRName":"IMMUNOLOGY","Score":null,"Total":0}
引用次数: 0

摘要

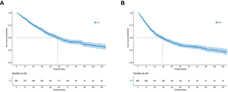
目的:格拉斯哥预后评分(GPS)是一种基于系统性炎症的预后模型,包含c反应蛋白(CRP)和血清白蛋白水平,已在实体瘤和几种血液系统恶性肿瘤中得到广泛验证。然而,其在新诊断的多发性骨髓瘤(NDMM)中的预后价值尚不清楚。本研究旨在评估GPS与NDMM患者生存结局之间的关系。患者和方法:我们回顾性分析了865例NDMM患者的真实队列。基于GPS对患者进行分层,采用Kaplan-Meier分析评估总生存期(OS)和无进展生存期(PFS)。Cox比例风险模型用于确定GPS的独立预后意义,并对混杂因素进行调整。为了比较GPS与其两种改良型的预后分层能力,我们采用相同的Kaplan-Meier分析来评估改良格拉斯哥预后评分(mGPS)和超敏感改良格拉斯哥预后评分(Hs-mGPS)。定量比较利用了曲线下面积(AUC)值,该值来源于随时间变化的受试者工作特征(ROC)分析。结果:高GPS与NDMM患者较差的OS和PFS显著相关。多因素分析证实,在调整疾病分期和其他临床变量后,GPS是一个独立的预后因素。此外,GPS评分较高的患者表现出更晚期的疾病阶段,这反映在更高的Durie-Salmon和国际分期系统(ISS)分类上。GPS具有比mGPS和Hs-mGPS更好的预测分层能力。结论:诊断时的基线GPS是与MM患者生存负相关的独立预后因素,GPS可作为初步医学评估的风险分层补充工具。
本文章由计算机程序翻译,如有差异,请以英文原文为准。

Glasgow Prognostic Score Serves as a Prognostic Factor of Clinical Outcome in Patients with Newly Diagnosed Multiple Myeloma.

Glasgow Prognostic Score Serves as a Prognostic Factor of Clinical Outcome in Patients with Newly Diagnosed Multiple Myeloma.

Glasgow Prognostic Score Serves as a Prognostic Factor of Clinical Outcome in Patients with Newly Diagnosed Multiple Myeloma.

Glasgow Prognostic Score Serves as a Prognostic Factor of Clinical Outcome in Patients with Newly Diagnosed Multiple Myeloma.

Purpose: The Glasgow Prognostic Score (GPS), a systemic inflammation-based prognostic model incorporating C-reactive protein (CRP) and serum albumin levels, has been widely validated in solid tumors and several hematologic malignancies. However, its prognostic value in newly diagnosed multiple myeloma (NDMM) remains unclear. This study aimed to evaluate the association between GPS and survival outcomes in NDMM patients.

Patients and methods: We retrospectively analyzed a real-world cohort of 865 NDMM patients. Patients were stratified based on GPS, and overall survival (OS) and progression-free survival (PFS) were assessed by using Kaplan-Meier analysis. Cox proportional hazards models were used to determine the independent prognostic significance of GPS, adjusting for confounding factors. To compare the prognostic stratification capacity of GPS to its two modified variants, the same Kaplan-Meier analysis was applied to evaluate both the modified Glasgow Prognostic Score (mGPS) and the hypersensitivity-modified Glasgow Prognostic Score (Hs-mGPS). Quantitative comparisons utilized area under the curve (AUC) values derived from time-dependent Receiver Operating Characteristic (ROC) analysis.

Results: A higher GPS was significantly associated with inferior OS and PFS in NDMM patients. Multivariate analysis confirmed that GPS was an independent prognostic factor after adjusting for disease stage and other clinical variables. Additionally, patients with elevated GPS scores presented with more advanced disease stages, as reflected by higher Durie-Salmon and International Staging System (ISS) classifications. And GPS exerts better prognostic stratification capacity than mGPS and Hs-mGPS.

Conclusion: The baseline GPS at the time of diagnosis is an independent prognostic factor that negatively relates to the MM patient survival, for which GPS may serve as a supplement tool in risk stratification upon the primary medical assessment.

求助全文
通过发布文献求助,成功后即可免费获取论文全文。 去求助
来源期刊
Journal of Inflammation Research
Journal of Inflammation Research Immunology and Microbiology-Immunology
CiteScore
6.10
自引率
2.20%
发文量
658
审稿时长
16 weeks
期刊介绍: An international, peer-reviewed, open access, online journal that welcomes laboratory and clinical findings on the molecular basis, cell biology and pharmacology of inflammation.
×
引用
GB/T 7714-2015
复制
MLA
复制
APA
复制
导出至
BibTeX EndNote RefMan NoteFirst NoteExpress
×
提示
您的信息不完整,为了账户安全,请先补充。
现在去补充
×
提示
您因"违规操作"
具体请查看互助需知
我知道了
×
提示
确定
请完成安全验证×
copy
已复制链接
快去分享给好友吧!
我知道了
右上角分享
点击右上角分享
0
联系我们:info@booksci.cn Book学术提供免费学术资源搜索服务,方便国内外学者检索中英文文献。致力于提供最便捷和优质的服务体验。 Copyright © 2023 布克学术 All rights reserved.
京ICP备2023020795号-1
ghs 京公网安备 11010802042870号
Book学术文献互助
Book学术文献互助群
群 号:604180095
Book学术官方微信