社区居住老年人视网膜血管直径、白质高强度与认知能力下降的关系。

IF 7.1 2区 医学 Q1 GERIATRICS & GERONTOLOGY
Catherine Robb, Amy Brodtmann, Robyn L Woods, Ruth E Trevaks, Stephanie A Ward, Meng Law, Suzanne G Orchard, Anne M Murray, Rory Wolfe, Joanne Ryan, Nigel P Stocks, Noni Rupasinghe, Raj C Shah, Christopher M Reid, Walter P Abhayaratna, Gary F Egan, Mohamed Salah Khlif, Trevor T J Chong, Liubov Robman, John J McNeil
{"title":"社区居住老年人视网膜血管直径、白质高强度与认知能力下降的关系。","authors":"Catherine Robb, Amy Brodtmann, Robyn L Woods, Ruth E Trevaks, Stephanie A Ward, Meng Law, Suzanne G Orchard, Anne M Murray, Rory Wolfe, Joanne Ryan, Nigel P Stocks, Noni Rupasinghe, Raj C Shah, Christopher M Reid, Walter P Abhayaratna, Gary F Egan, Mohamed Salah Khlif, Trevor T J Chong, Liubov Robman, John J McNeil","doi":"10.1093/ageing/afaf243","DOIUrl":null,"url":null,"abstract":"<p><strong>Background: </strong>Retinal vessel calibres (RVCs) are non-invasive markers of microvascular health and may serve as accessible indicators of cerebral small vessel disease (CSVD) and future cognitive impairment. This study examines whether RVCs are associated with cognitive decline, and how these associations compare with those observed for white matter hyperintensities (WMH), a known marker of CSVD.</p><p><strong>Methods: </strong>Data were analysed from community-dwelling participants aged 70+ in the ASPREE trial and sub-studies, free of dementia and cardiovascular disease at baseline. RVCs were measured from fundus photography and WMH volumes from 3 T magnetic resonance imaging. Covariate-adjusted linear mixed-effects models assessed cognitive trajectories relative to baseline RVCs and WMH volumes. Cross-sectional associations between baseline RVCs and WMHs were examined via linear regression.</p><p><strong>Results: </strong>This study included 3540 participants with RVC data and 489 with WMH data (median [IQR] age: 73.2 [71.4-76.3] and 72.5 [71.2-75.4] years; female: 52.9% and 47.6%) over a median follow-up of 7.4 [IQR 5.5-8.5] and 3.8 [IQR 2.9-5.3] years, respectively. Baseline RVCs were not significantly associated with cognitive trajectories nor with baseline WMHs. Larger baseline WMH volumes were associated with greater global (Modified Mini-Mental State Examination) decline (mean 0.40 points/year; 95% CI 0.57, 0.22) and declines in delayed memory (HVLT-r) (-0.13 [-0.22, -0.04]), psychomotor function (Symbol Digit Modalities Test) (-0.29 [-0.52, -0.07]) and to a lesser extent, executive function (Controlled Oral Word Association Test) (-0.09 [95% CI -0.22, 0.03]).</p><p><strong>Conclusion: </strong>In contrast to WMH volumes, RVCs were not associated with cognitive decline. Exploring longitudinal changes in a broader range of retinal and brain biomarkers may provide deeper insights into the relationship between ocular and cerebral biomarkers in CSVD and clinical outcomes.</p>","PeriodicalId":7682,"journal":{"name":"Age and ageing","volume":"54 9","pages":""},"PeriodicalIF":7.1000,"publicationDate":"2025-08-29","publicationTypes":"Journal Article","fieldsOfStudy":null,"isOpenAccess":false,"openAccessPdf":"https://www.ncbi.nlm.nih.gov/pmc/articles/PMC12423393/pdf/","citationCount":"0","resultStr":"{\"title\":\"The association of retinal vessel calibre, white matter hyperintensities and cognitive decline in community-dwelling older adults.\",\"authors\":\"Catherine Robb, Amy Brodtmann, Robyn L Woods, Ruth E Trevaks, Stephanie A Ward, Meng Law, Suzanne G Orchard, Anne M Murray, Rory Wolfe, Joanne Ryan, Nigel P Stocks, Noni Rupasinghe, Raj C Shah, Christopher M Reid, Walter P Abhayaratna, Gary F Egan, Mohamed Salah Khlif, Trevor T J Chong, Liubov Robman, John J McNeil\",\"doi\":\"10.1093/ageing/afaf243\",\"DOIUrl\":null,\"url\":null,\"abstract\":\"<p><strong>Background: </strong>Retinal vessel calibres (RVCs) are non-invasive markers of microvascular health and may serve as accessible indicators of cerebral small vessel disease (CSVD) and future cognitive impairment. This study examines whether RVCs are associated with cognitive decline, and how these associations compare with those observed for white matter hyperintensities (WMH), a known marker of CSVD.</p><p><strong>Methods: </strong>Data were analysed from community-dwelling participants aged 70+ in the ASPREE trial and sub-studies, free of dementia and cardiovascular disease at baseline. RVCs were measured from fundus photography and WMH volumes from 3 T magnetic resonance imaging. Covariate-adjusted linear mixed-effects models assessed cognitive trajectories relative to baseline RVCs and WMH volumes. Cross-sectional associations between baseline RVCs and WMHs were examined via linear regression.</p><p><strong>Results: </strong>This study included 3540 participants with RVC data and 489 with WMH data (median [IQR] age: 73.2 [71.4-76.3] and 72.5 [71.2-75.4] years; female: 52.9% and 47.6%) over a median follow-up of 7.4 [IQR 5.5-8.5] and 3.8 [IQR 2.9-5.3] years, respectively. Baseline RVCs were not significantly associated with cognitive trajectories nor with baseline WMHs. Larger baseline WMH volumes were associated with greater global (Modified Mini-Mental State Examination) decline (mean 0.40 points/year; 95% CI 0.57, 0.22) and declines in delayed memory (HVLT-r) (-0.13 [-0.22, -0.04]), psychomotor function (Symbol Digit Modalities Test) (-0.29 [-0.52, -0.07]) and to a lesser extent, executive function (Controlled Oral Word Association Test) (-0.09 [95% CI -0.22, 0.03]).</p><p><strong>Conclusion: </strong>In contrast to WMH volumes, RVCs were not associated with cognitive decline. Exploring longitudinal changes in a broader range of retinal and brain biomarkers may provide deeper insights into the relationship between ocular and cerebral biomarkers in CSVD and clinical outcomes.</p>\",\"PeriodicalId\":7682,\"journal\":{\"name\":\"Age and ageing\",\"volume\":\"54 9\",\"pages\":\"\"},\"PeriodicalIF\":7.1000,\"publicationDate\":\"2025-08-29\",\"publicationTypes\":\"Journal Article\",\"fieldsOfStudy\":null,\"isOpenAccess\":false,\"openAccessPdf\":\"https://www.ncbi.nlm.nih.gov/pmc/articles/PMC12423393/pdf/\",\"citationCount\":\"0\",\"resultStr\":null,\"platform\":\"Semanticscholar\",\"paperid\":null,\"PeriodicalName\":\"Age and ageing\",\"FirstCategoryId\":\"3\",\"ListUrlMain\":\"https://doi.org/10.1093/ageing/afaf243\",\"RegionNum\":2,\"RegionCategory\":\"医学\",\"ArticlePicture\":[],\"TitleCN\":null,\"AbstractTextCN\":null,\"PMCID\":null,\"EPubDate\":\"\",\"PubModel\":\"\",\"JCR\":\"Q1\",\"JCRName\":\"GERIATRICS & GERONTOLOGY\",\"Score\":null,\"Total\":0}","platform":"Semanticscholar","paperid":null,"PeriodicalName":"Age and ageing","FirstCategoryId":"3","ListUrlMain":"https://doi.org/10.1093/ageing/afaf243","RegionNum":2,"RegionCategory":"医学","ArticlePicture":[],"TitleCN":null,"AbstractTextCN":null,"PMCID":null,"EPubDate":"","PubModel":"","JCR":"Q1","JCRName":"GERIATRICS & GERONTOLOGY","Score":null,"Total":0}
引用次数: 0

摘要

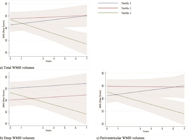
背景:视网膜血管直径(RVCs)是微血管健康的非侵入性标志物,可以作为脑血管疾病(CSVD)和未来认知障碍的指标。本研究探讨了rvc是否与认知能力下降相关,以及这些关联如何与白质高强度(WMH)(一种已知的心血管疾病标志物)所观察到的关联进行比较。方法:对ASPREE试验和亚研究中70岁以上社区居住参与者的数据进行分析,这些参与者在基线时无痴呆和心血管疾病。眼底摄影测量rvc, 3t磁共振成像测量WMH体积。协变量调整的线性混合效应模型评估了相对于基线rvc和WMH量的认知轨迹。通过线性回归检验基线rvc和wmh之间的横断面关联。结果:本研究纳入了3540名RVC数据参与者和489名WMH数据参与者(中位[IQR]年龄:73.2[71.4-76.3]和72.5[71.2-75.4]岁,女性:52.9%和47.6%),中位随访时间分别为7.4 [IQR 5.5-8.5]和3.8 [IQR 2.9-5.3]年。基线rvc与认知轨迹和基线wmh均无显著相关性。更大的基线WMH体积与更大的整体(修正的迷你精神状态检查)下降(平均0.40分/年;95% CI 0.57, 0.22)和延迟记忆(HVLT-r)(-0.13[-0.22, -0.04])、精神运动功能(符号数字模态测试)(-0.29[-0.52,-0.07])的下降相关,在较小程度上与执行功能(控制口头单词联想测试)(-0.09 [95% CI -0.22, 0.03])相关。结论:与WMH容量相比,RVCs与认知能力下降无关。在更大范围内探索视网膜和大脑生物标志物的纵向变化可能为CSVD中眼和大脑生物标志物与临床结果之间的关系提供更深入的见解。
本文章由计算机程序翻译,如有差异,请以英文原文为准。

The association of retinal vessel calibre, white matter hyperintensities and cognitive decline in community-dwelling older adults.

The association of retinal vessel calibre, white matter hyperintensities and cognitive decline in community-dwelling older adults.

The association of retinal vessel calibre, white matter hyperintensities and cognitive decline in community-dwelling older adults.

Background: Retinal vessel calibres (RVCs) are non-invasive markers of microvascular health and may serve as accessible indicators of cerebral small vessel disease (CSVD) and future cognitive impairment. This study examines whether RVCs are associated with cognitive decline, and how these associations compare with those observed for white matter hyperintensities (WMH), a known marker of CSVD.

Methods: Data were analysed from community-dwelling participants aged 70+ in the ASPREE trial and sub-studies, free of dementia and cardiovascular disease at baseline. RVCs were measured from fundus photography and WMH volumes from 3 T magnetic resonance imaging. Covariate-adjusted linear mixed-effects models assessed cognitive trajectories relative to baseline RVCs and WMH volumes. Cross-sectional associations between baseline RVCs and WMHs were examined via linear regression.

Results: This study included 3540 participants with RVC data and 489 with WMH data (median [IQR] age: 73.2 [71.4-76.3] and 72.5 [71.2-75.4] years; female: 52.9% and 47.6%) over a median follow-up of 7.4 [IQR 5.5-8.5] and 3.8 [IQR 2.9-5.3] years, respectively. Baseline RVCs were not significantly associated with cognitive trajectories nor with baseline WMHs. Larger baseline WMH volumes were associated with greater global (Modified Mini-Mental State Examination) decline (mean 0.40 points/year; 95% CI 0.57, 0.22) and declines in delayed memory (HVLT-r) (-0.13 [-0.22, -0.04]), psychomotor function (Symbol Digit Modalities Test) (-0.29 [-0.52, -0.07]) and to a lesser extent, executive function (Controlled Oral Word Association Test) (-0.09 [95% CI -0.22, 0.03]).

Conclusion: In contrast to WMH volumes, RVCs were not associated with cognitive decline. Exploring longitudinal changes in a broader range of retinal and brain biomarkers may provide deeper insights into the relationship between ocular and cerebral biomarkers in CSVD and clinical outcomes.

求助全文
通过发布文献求助,成功后即可免费获取论文全文。 去求助
来源期刊
Age and ageing
Age and ageing 医学-老年医学
CiteScore
9.20
自引率
6.00%
发文量
796
审稿时长
4-8 weeks
期刊介绍: Age and Ageing is an international journal publishing refereed original articles and commissioned reviews on geriatric medicine and gerontology. Its range includes research on ageing and clinical, epidemiological, and psychological aspects of later life.
×
引用
GB/T 7714-2015
复制
MLA
复制
APA
复制
导出至
BibTeX EndNote RefMan NoteFirst NoteExpress
×
提示
您的信息不完整,为了账户安全,请先补充。
现在去补充
×
提示
您因"违规操作"
具体请查看互助需知
我知道了
×
提示
确定
请完成安全验证×
copy
已复制链接
快去分享给好友吧!
我知道了
右上角分享
点击右上角分享
0
联系我们:info@booksci.cn Book学术提供免费学术资源搜索服务,方便国内外学者检索中英文文献。致力于提供最便捷和优质的服务体验。 Copyright © 2023 布克学术 All rights reserved.
京ICP备2023020795号-1
ghs 京公网安备 11010802042870号
Book学术文献互助
Book学术文献互助群
群 号:604180095
Book学术官方微信