开发和验证可解释的机器学习模型,用于预测输尿管镜碎石术后败血症风险。

IF 2.2 2区 医学 Q2 UROLOGY & NEPHROLOGY
Ruichen Li, Biao Zhang, Liying Zeng, Jiayan Mo, Jinyuan Zhang, Sheng Bi
{"title":"开发和验证可解释的机器学习模型,用于预测输尿管镜碎石术后败血症风险。","authors":"Ruichen Li, Biao Zhang, Liying Zeng, Jiayan Mo, Jinyuan Zhang, Sheng Bi","doi":"10.1007/s00240-025-01856-4","DOIUrl":null,"url":null,"abstract":"<p><p>Sepsis is a severe complication of flexible ureteroscopic lithotripsy (fURL), a widely used treatment for kidney stones. This study aimed to develop and validate a predictive model based on machine learning (ML) for assessing the risk of sepsis following fURL while enhancing its interpretability through Shapley Additive Explanations (SHAP). This retrospective study in China was conducted to develop and validate a prediction model for sepsis following fURL. The derivation cohort comprised 1,386 patients treated between 2019 and July 2024 divided into training and internal validation subsets. External validation was performed on a cohort of 604 patients treated between 2019 and 2023 at a collaborating center. Sepsis was diagnosed according to Sepsis-3.0 consensus guidelines. Fifteen machine learning algorithms were employed to construct predictive models, and their performance was meticulously evaluated using metrics such as the area under the receiver operating characteristic curve (AUC). To enhance model interpretability, the Shapley Additive Explanations (SHAP) method was applied to assess and rank the importance of individual features. The Extra Trees (ET) model incorporating eight key features demonstrated the best discriminative ability, with an AUC of 0.90. It accurately predicted sepsis in both internal (AUC = 0.87) and external validation (AUC = 0.81). In this study, we developed an Extra Trees (ET) machine learning model to predict sepsis risk following fURL, which demonstrated high accuracy in predicting sepsis in both the internal and external validation cohorts. This model, equipped with SHAP-driven interpretability and deployed as an accessible web application, has the potential to serve as a clinical tool for patient risk stratification following fURL.</p>","PeriodicalId":23411,"journal":{"name":"Urolithiasis","volume":"53 1","pages":"179"},"PeriodicalIF":2.2000,"publicationDate":"2025-09-18","publicationTypes":"Journal Article","fieldsOfStudy":null,"isOpenAccess":false,"openAccessPdf":"https://www.ncbi.nlm.nih.gov/pmc/articles/PMC12446151/pdf/","citationCount":"0","resultStr":"{\"title\":\"Development and validation of an explainable machine learning model for predicting sepsis risk following flexible ureteroscopic lithotripsy.\",\"authors\":\"Ruichen Li, Biao Zhang, Liying Zeng, Jiayan Mo, Jinyuan Zhang, Sheng Bi\",\"doi\":\"10.1007/s00240-025-01856-4\",\"DOIUrl\":null,\"url\":null,\"abstract\":\"<p><p>Sepsis is a severe complication of flexible ureteroscopic lithotripsy (fURL), a widely used treatment for kidney stones. This study aimed to develop and validate a predictive model based on machine learning (ML) for assessing the risk of sepsis following fURL while enhancing its interpretability through Shapley Additive Explanations (SHAP). This retrospective study in China was conducted to develop and validate a prediction model for sepsis following fURL. The derivation cohort comprised 1,386 patients treated between 2019 and July 2024 divided into training and internal validation subsets. External validation was performed on a cohort of 604 patients treated between 2019 and 2023 at a collaborating center. Sepsis was diagnosed according to Sepsis-3.0 consensus guidelines. Fifteen machine learning algorithms were employed to construct predictive models, and their performance was meticulously evaluated using metrics such as the area under the receiver operating characteristic curve (AUC). To enhance model interpretability, the Shapley Additive Explanations (SHAP) method was applied to assess and rank the importance of individual features. The Extra Trees (ET) model incorporating eight key features demonstrated the best discriminative ability, with an AUC of 0.90. It accurately predicted sepsis in both internal (AUC = 0.87) and external validation (AUC = 0.81). In this study, we developed an Extra Trees (ET) machine learning model to predict sepsis risk following fURL, which demonstrated high accuracy in predicting sepsis in both the internal and external validation cohorts. This model, equipped with SHAP-driven interpretability and deployed as an accessible web application, has the potential to serve as a clinical tool for patient risk stratification following fURL.</p>\",\"PeriodicalId\":23411,\"journal\":{\"name\":\"Urolithiasis\",\"volume\":\"53 1\",\"pages\":\"179\"},\"PeriodicalIF\":2.2000,\"publicationDate\":\"2025-09-18\",\"publicationTypes\":\"Journal Article\",\"fieldsOfStudy\":null,\"isOpenAccess\":false,\"openAccessPdf\":\"https://www.ncbi.nlm.nih.gov/pmc/articles/PMC12446151/pdf/\",\"citationCount\":\"0\",\"resultStr\":null,\"platform\":\"Semanticscholar\",\"paperid\":null,\"PeriodicalName\":\"Urolithiasis\",\"FirstCategoryId\":\"3\",\"ListUrlMain\":\"https://doi.org/10.1007/s00240-025-01856-4\",\"RegionNum\":2,\"RegionCategory\":\"医学\",\"ArticlePicture\":[],\"TitleCN\":null,\"AbstractTextCN\":null,\"PMCID\":null,\"EPubDate\":\"\",\"PubModel\":\"\",\"JCR\":\"Q2\",\"JCRName\":\"UROLOGY & NEPHROLOGY\",\"Score\":null,\"Total\":0}","platform":"Semanticscholar","paperid":null,"PeriodicalName":"Urolithiasis","FirstCategoryId":"3","ListUrlMain":"https://doi.org/10.1007/s00240-025-01856-4","RegionNum":2,"RegionCategory":"医学","ArticlePicture":[],"TitleCN":null,"AbstractTextCN":null,"PMCID":null,"EPubDate":"","PubModel":"","JCR":"Q2","JCRName":"UROLOGY & NEPHROLOGY","Score":null,"Total":0}
引用次数: 0

摘要

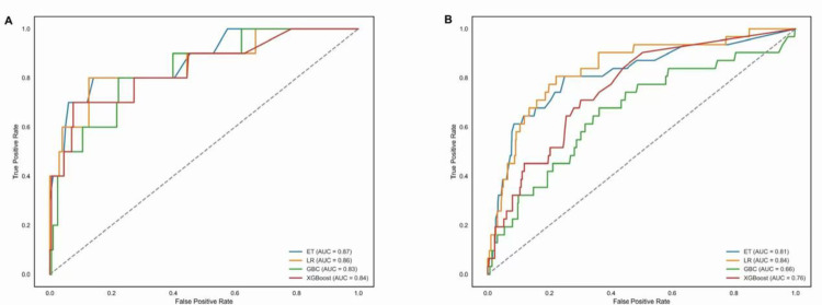
脓毒症是输尿管镜碎石术的严重并发症,输尿管镜碎石术是一种广泛用于肾结石的治疗方法。本研究旨在开发和验证基于机器学习(ML)的预测模型,用于评估fURL后脓毒症的风险,同时通过Shapley加性解释(SHAP)增强其可解释性。这项在中国进行的回顾性研究旨在开发和验证fURL后脓毒症的预测模型。衍生队列包括2019年至2024年7月期间接受治疗的1,386名患者,分为训练组和内部验证组。对2019年至2023年在合作中心接受治疗的604名患者进行了外部验证。根据脓毒症-3.0共识指南诊断脓毒症。采用15种机器学习算法构建预测模型,并使用诸如接收者工作特征曲线下面积(AUC)等指标对其性能进行仔细评估。为了提高模型的可解释性,采用Shapley加性解释(SHAP)方法对单个特征的重要性进行评估和排序。包含8个关键特征的额外树(Extra Trees, ET)模型表现出最好的判别能力,AUC为0.90。在内部验证(AUC = 0.87)和外部验证(AUC = 0.81)中均能准确预测脓毒症。在这项研究中,我们开发了一个额外树(ET)机器学习模型来预测fURL后脓毒症的风险,该模型在内部和外部验证队列中都显示出较高的脓毒症预测准确性。该模型配备了shap驱动的可解释性,并作为可访问的web应用程序部署,具有作为fURL后患者风险分层的临床工具的潜力。
本文章由计算机程序翻译,如有差异,请以英文原文为准。

Development and validation of an explainable machine learning model for predicting sepsis risk following flexible ureteroscopic lithotripsy.

Development and validation of an explainable machine learning model for predicting sepsis risk following flexible ureteroscopic lithotripsy.

Development and validation of an explainable machine learning model for predicting sepsis risk following flexible ureteroscopic lithotripsy.

Development and validation of an explainable machine learning model for predicting sepsis risk following flexible ureteroscopic lithotripsy.

Sepsis is a severe complication of flexible ureteroscopic lithotripsy (fURL), a widely used treatment for kidney stones. This study aimed to develop and validate a predictive model based on machine learning (ML) for assessing the risk of sepsis following fURL while enhancing its interpretability through Shapley Additive Explanations (SHAP). This retrospective study in China was conducted to develop and validate a prediction model for sepsis following fURL. The derivation cohort comprised 1,386 patients treated between 2019 and July 2024 divided into training and internal validation subsets. External validation was performed on a cohort of 604 patients treated between 2019 and 2023 at a collaborating center. Sepsis was diagnosed according to Sepsis-3.0 consensus guidelines. Fifteen machine learning algorithms were employed to construct predictive models, and their performance was meticulously evaluated using metrics such as the area under the receiver operating characteristic curve (AUC). To enhance model interpretability, the Shapley Additive Explanations (SHAP) method was applied to assess and rank the importance of individual features. The Extra Trees (ET) model incorporating eight key features demonstrated the best discriminative ability, with an AUC of 0.90. It accurately predicted sepsis in both internal (AUC = 0.87) and external validation (AUC = 0.81). In this study, we developed an Extra Trees (ET) machine learning model to predict sepsis risk following fURL, which demonstrated high accuracy in predicting sepsis in both the internal and external validation cohorts. This model, equipped with SHAP-driven interpretability and deployed as an accessible web application, has the potential to serve as a clinical tool for patient risk stratification following fURL.

求助全文
通过发布文献求助,成功后即可免费获取论文全文。 去求助
来源期刊
Urolithiasis
Urolithiasis UROLOGY & NEPHROLOGY-
CiteScore
4.50
自引率
6.50%
发文量
74
期刊介绍: Official Journal of the International Urolithiasis Society The journal aims to publish original articles in the fields of clinical and experimental investigation only within the sphere of urolithiasis and its related areas of research. The journal covers all aspects of urolithiasis research including the diagnosis, epidemiology, pathogenesis, genetics, clinical biochemistry, open and non-invasive surgical intervention, nephrological investigation, chemistry and prophylaxis of the disorder. The Editor welcomes contributions on topics of interest to urologists, nephrologists, radiologists, clinical biochemists, epidemiologists, nutritionists, basic scientists and nurses working in that field. Contributions may be submitted as full-length articles or as rapid communications in the form of Letters to the Editor. Articles should be original and should contain important new findings from carefully conducted studies designed to produce statistically significant data. Please note that we no longer publish articles classified as Case Reports. Editorials and review articles may be published by invitation from the Editorial Board. All submissions are peer-reviewed. Through an electronic system for the submission and review of manuscripts, the Editor and Associate Editors aim to make publication accessible as quickly as possible to a large number of readers throughout the world.
×
引用
GB/T 7714-2015
复制
MLA
复制
APA
复制
导出至
BibTeX EndNote RefMan NoteFirst NoteExpress
×
提示
您的信息不完整,为了账户安全,请先补充。
现在去补充
×
提示
您因"违规操作"
具体请查看互助需知
我知道了
×
提示
确定
请完成安全验证×
copy
已复制链接
快去分享给好友吧!
我知道了
右上角分享
点击右上角分享
0
联系我们:info@booksci.cn Book学术提供免费学术资源搜索服务,方便国内外学者检索中英文文献。致力于提供最便捷和优质的服务体验。 Copyright © 2023 布克学术 All rights reserved.
京ICP备2023020795号-1
ghs 京公网安备 11010802042870号
Book学术文献互助
Book学术文献互助群
群 号:604180095
Book学术官方微信