持续气道正压对阻塞性睡眠呼吸暂停患者嗜睡程度、睡眠功能质量和电生理听力反应的影响

IF 1.8 Q4 CLINICAL NEUROLOGY
Sleep Science Pub Date : 2025-07-07 eCollection Date: 2025-09-01 DOI:10.1055/s-0045-1809060
Marisa Mizrahi Farber, Liliane Aparecida Fagundes Silva, Geraldo Lorenzi-Filho, Carla Gentile Matas
{"title":"持续气道正压对阻塞性睡眠呼吸暂停患者嗜睡程度、睡眠功能质量和电生理听力反应的影响","authors":"Marisa Mizrahi Farber, Liliane Aparecida Fagundes Silva, Geraldo Lorenzi-Filho, Carla Gentile Matas","doi":"10.1055/s-0045-1809060","DOIUrl":null,"url":null,"abstract":"<p><strong>Introduction: </strong>Obstructive sleep apnea (OSA) affects nerve impulse transmission in the auditory pathway due to oxygen supply. Continuous positive airway pressure (CPAP) therapy improves oxygen levels, potentially alleviating sleepiness and enhancing central auditory pathway function.</p><p><strong>Objective: </strong>To longitudinally evaluate the effect of CPAP on the degree of sleepiness, functional quality of sleep, and electrophysiological hearing responses of the central auditory pathways of patients with moderate to severe OSA.</p><p><strong>Materials and methods: </strong>There were 31 adults (21 men and 10 women), aged 20 to 70 years, of which 18 were from the group with and 13 from the one without CPAP. All patients underwent three assessments: the first one performed immediately after CPAP prescription; the second, 3 months later; and the third, 6 months after the initial assessment. The Epworth Sleepiness Scale (ESS), the Functional Outcomes of Sleep Questionnaire-10 (FOSQ-10), auditory brainstem response (ABR), and long-latency auditory evoked potentials (LLAEP) were used for these assessments.</p><p><strong>Results: </strong>The ESS did not detect any changes in excessive daytime sleepiness levels and the FOSQ-10 showed no improvement in either group. Analysis from ABR revealed a high proportion of altered results in both groups at the three assessment times. During the LLAEP, it was observed that the CPAP group exhibited reduced P2 latencies compared with the non-CPAP group in the second assessment. However, this improvement was not sustained in the subsequent assessment, possibly attributed to OSA-induced damage.</p><p><strong>Conclusion: </strong>Treatment with CPAP for 6 months did not improve the degree of sleepiness, functional quality of sleep, or electrophysiological response of hearing, demonstrating that OSA can irreversibly harm the individual.</p>","PeriodicalId":21848,"journal":{"name":"Sleep Science","volume":"18 3","pages":"e281-e291"},"PeriodicalIF":1.8000,"publicationDate":"2025-07-07","publicationTypes":"Journal Article","fieldsOfStudy":null,"isOpenAccess":false,"openAccessPdf":"https://www.ncbi.nlm.nih.gov/pmc/articles/PMC12440591/pdf/","citationCount":"0","resultStr":"{\"title\":\"Effects of Continuous Positive Airway Pressure on the Degree of Sleepiness, Functional Quality of Sleep, and Electrophysiological Hearing Responses in Individuals with Obstructive Sleep Apnea.\",\"authors\":\"Marisa Mizrahi Farber, Liliane Aparecida Fagundes Silva, Geraldo Lorenzi-Filho, Carla Gentile Matas\",\"doi\":\"10.1055/s-0045-1809060\",\"DOIUrl\":null,\"url\":null,\"abstract\":\"<p><strong>Introduction: </strong>Obstructive sleep apnea (OSA) affects nerve impulse transmission in the auditory pathway due to oxygen supply. Continuous positive airway pressure (CPAP) therapy improves oxygen levels, potentially alleviating sleepiness and enhancing central auditory pathway function.</p><p><strong>Objective: </strong>To longitudinally evaluate the effect of CPAP on the degree of sleepiness, functional quality of sleep, and electrophysiological hearing responses of the central auditory pathways of patients with moderate to severe OSA.</p><p><strong>Materials and methods: </strong>There were 31 adults (21 men and 10 women), aged 20 to 70 years, of which 18 were from the group with and 13 from the one without CPAP. All patients underwent three assessments: the first one performed immediately after CPAP prescription; the second, 3 months later; and the third, 6 months after the initial assessment. The Epworth Sleepiness Scale (ESS), the Functional Outcomes of Sleep Questionnaire-10 (FOSQ-10), auditory brainstem response (ABR), and long-latency auditory evoked potentials (LLAEP) were used for these assessments.</p><p><strong>Results: </strong>The ESS did not detect any changes in excessive daytime sleepiness levels and the FOSQ-10 showed no improvement in either group. Analysis from ABR revealed a high proportion of altered results in both groups at the three assessment times. During the LLAEP, it was observed that the CPAP group exhibited reduced P2 latencies compared with the non-CPAP group in the second assessment. However, this improvement was not sustained in the subsequent assessment, possibly attributed to OSA-induced damage.</p><p><strong>Conclusion: </strong>Treatment with CPAP for 6 months did not improve the degree of sleepiness, functional quality of sleep, or electrophysiological response of hearing, demonstrating that OSA can irreversibly harm the individual.</p>\",\"PeriodicalId\":21848,\"journal\":{\"name\":\"Sleep Science\",\"volume\":\"18 3\",\"pages\":\"e281-e291\"},\"PeriodicalIF\":1.8000,\"publicationDate\":\"2025-07-07\",\"publicationTypes\":\"Journal Article\",\"fieldsOfStudy\":null,\"isOpenAccess\":false,\"openAccessPdf\":\"https://www.ncbi.nlm.nih.gov/pmc/articles/PMC12440591/pdf/\",\"citationCount\":\"0\",\"resultStr\":null,\"platform\":\"Semanticscholar\",\"paperid\":null,\"PeriodicalName\":\"Sleep Science\",\"FirstCategoryId\":\"1085\",\"ListUrlMain\":\"https://doi.org/10.1055/s-0045-1809060\",\"RegionNum\":0,\"RegionCategory\":null,\"ArticlePicture\":[],\"TitleCN\":null,\"AbstractTextCN\":null,\"PMCID\":null,\"EPubDate\":\"2025/9/1 0:00:00\",\"PubModel\":\"eCollection\",\"JCR\":\"Q4\",\"JCRName\":\"CLINICAL NEUROLOGY\",\"Score\":null,\"Total\":0}","platform":"Semanticscholar","paperid":null,"PeriodicalName":"Sleep Science","FirstCategoryId":"1085","ListUrlMain":"https://doi.org/10.1055/s-0045-1809060","RegionNum":0,"RegionCategory":null,"ArticlePicture":[],"TitleCN":null,"AbstractTextCN":null,"PMCID":null,"EPubDate":"2025/9/1 0:00:00","PubModel":"eCollection","JCR":"Q4","JCRName":"CLINICAL NEUROLOGY","Score":null,"Total":0}
引用次数: 0

摘要

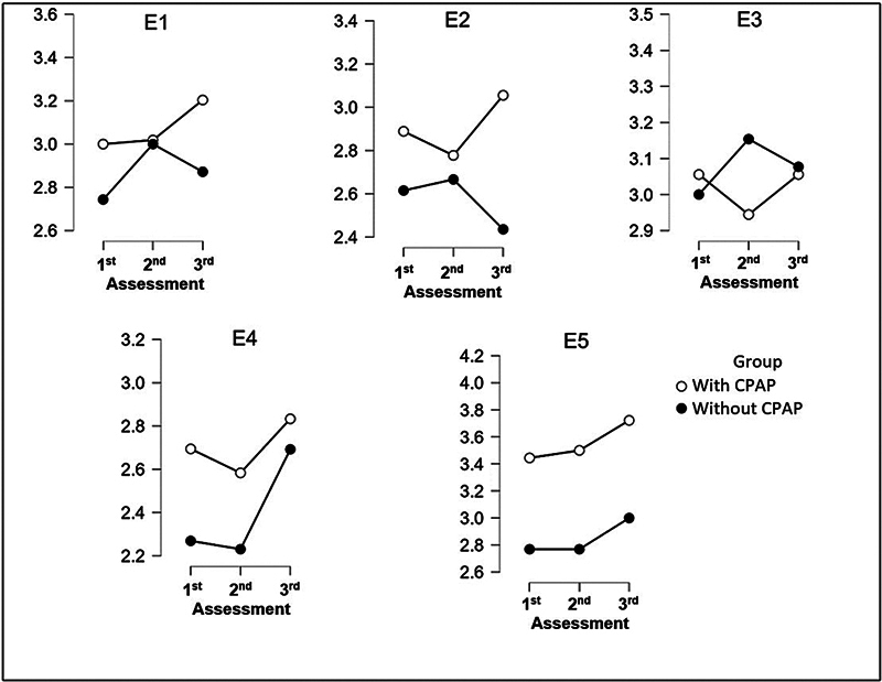
梗阻性睡眠呼吸暂停(OSA)由于供氧而影响听觉通路的神经冲动传递。持续气道正压通气(CPAP)治疗可改善氧水平,潜在地减轻嗜睡并增强中枢听觉通路功能。目的:纵向评价CPAP对中重度OSA患者嗜睡程度、睡眠功能质量及中枢性听觉通路电生理听觉反应的影响。材料与方法:成人31例(男21例,女10例),年龄20 ~ 70岁,其中有CPAP组18例,无CPAP组13例。所有患者都进行了三次评估:第一次在CPAP处方后立即进行;第二次,3个月后;第三次是在初步评估后的6个月。采用Epworth嗜睡量表(ESS)、睡眠功能结局问卷-10 (FOSQ-10)、听觉脑干反应(ABR)和长潜伏期听觉诱发电位(LLAEP)进行评估。结果:ESS没有检测到白天过度嗜睡水平的任何变化,FOSQ-10也没有显示两组的改善。ABR的分析显示,两组在三次评估时结果改变的比例很高。在LLAEP期间,观察到与非CPAP组相比,CPAP组在第二次评估中表现出更少的P2潜伏期。然而,在随后的评估中,这种改善并没有持续下去,可能是由于osa引起的损伤。结论:CPAP治疗6个月并没有改善嗜睡程度、睡眠功能质量或听力电生理反应,表明OSA对个体具有不可逆的伤害。
本文章由计算机程序翻译,如有差异,请以英文原文为准。

Effects of Continuous Positive Airway Pressure on the Degree of Sleepiness, Functional Quality of Sleep, and Electrophysiological Hearing Responses in Individuals with Obstructive Sleep Apnea.

Effects of Continuous Positive Airway Pressure on the Degree of Sleepiness, Functional Quality of Sleep, and Electrophysiological Hearing Responses in Individuals with Obstructive Sleep Apnea.

Effects of Continuous Positive Airway Pressure on the Degree of Sleepiness, Functional Quality of Sleep, and Electrophysiological Hearing Responses in Individuals with Obstructive Sleep Apnea.

Effects of Continuous Positive Airway Pressure on the Degree of Sleepiness, Functional Quality of Sleep, and Electrophysiological Hearing Responses in Individuals with Obstructive Sleep Apnea.

Introduction: Obstructive sleep apnea (OSA) affects nerve impulse transmission in the auditory pathway due to oxygen supply. Continuous positive airway pressure (CPAP) therapy improves oxygen levels, potentially alleviating sleepiness and enhancing central auditory pathway function.

Objective: To longitudinally evaluate the effect of CPAP on the degree of sleepiness, functional quality of sleep, and electrophysiological hearing responses of the central auditory pathways of patients with moderate to severe OSA.

Materials and methods: There were 31 adults (21 men and 10 women), aged 20 to 70 years, of which 18 were from the group with and 13 from the one without CPAP. All patients underwent three assessments: the first one performed immediately after CPAP prescription; the second, 3 months later; and the third, 6 months after the initial assessment. The Epworth Sleepiness Scale (ESS), the Functional Outcomes of Sleep Questionnaire-10 (FOSQ-10), auditory brainstem response (ABR), and long-latency auditory evoked potentials (LLAEP) were used for these assessments.

Results: The ESS did not detect any changes in excessive daytime sleepiness levels and the FOSQ-10 showed no improvement in either group. Analysis from ABR revealed a high proportion of altered results in both groups at the three assessment times. During the LLAEP, it was observed that the CPAP group exhibited reduced P2 latencies compared with the non-CPAP group in the second assessment. However, this improvement was not sustained in the subsequent assessment, possibly attributed to OSA-induced damage.

Conclusion: Treatment with CPAP for 6 months did not improve the degree of sleepiness, functional quality of sleep, or electrophysiological response of hearing, demonstrating that OSA can irreversibly harm the individual.

求助全文
通过发布文献求助,成功后即可免费获取论文全文。 去求助
来源期刊
Sleep Science
Sleep Science CLINICAL NEUROLOGY-
CiteScore
2.50
自引率
12.50%
发文量
124
审稿时长
10 weeks
×
引用
GB/T 7714-2015
复制
MLA
复制
APA
复制
导出至
BibTeX EndNote RefMan NoteFirst NoteExpress
×
提示
您的信息不完整,为了账户安全,请先补充。
现在去补充
×
提示
您因"违规操作"
具体请查看互助需知
我知道了
×
提示
确定
请完成安全验证×
copy
已复制链接
快去分享给好友吧!
我知道了
右上角分享
点击右上角分享
0
联系我们:info@booksci.cn Book学术提供免费学术资源搜索服务,方便国内外学者检索中英文文献。致力于提供最便捷和优质的服务体验。 Copyright © 2023 布克学术 All rights reserved.
京ICP备2023020795号-1
ghs 京公网安备 11010802042870号
Book学术文献互助
Book学术文献互助群
群 号:604180095
Book学术官方微信