非运动员和运动员青少年运动后气道反应的肺活量测定和振荡测定。

IF 2.3 3区 医学 Q1 PEDIATRICS
Karin Ersson, Kjell Alving, Margareta Emtner, Christer Janson, Henrik Johansson, Andrei Malinovschi
{"title":"非运动员和运动员青少年运动后气道反应的肺活量测定和振荡测定。","authors":"Karin Ersson, Kjell Alving, Margareta Emtner, Christer Janson, Henrik Johansson, Andrei Malinovschi","doi":"10.1002/ppul.71296","DOIUrl":null,"url":null,"abstract":"<p><strong>Background: </strong>Exercise-induced bronchoconstriction (EIB) is common among adolescents and athletes. While typically assessed with spirometry, oscillometry may offer complementary insights. This cross-sectional study examined how fractional exhaled nitric oxide (FeNO) and symptoms relate to postexercise airway responses assessed via spirometry and oscillometry, and whether these associations differ between nonathletes and athletes.</p><p><strong>Methods: </strong>Subsamples from two adolescent cohorts (N = 241; 143 nonathletes, 98 athletes) completed questionnaires, FeNO measurements, and an EIB test using spirometry, by change in forced expiratory volume in 1 s (∆FEV<sub>1</sub>), and oscillometry, by change in resistance and reactance at 5 Hz (∆R<sub>5</sub>, ∆X<sub>5</sub>). Correlations were assessed using Spearman's rank; logistic regression evaluated associations between elevated FeNO and EIB; linear regression explored links between symptoms and postexercise airway responses.</p><p><strong>Results: </strong>EIB was detected in 70 participants via spirometry (∆FEV<sub>1</sub> ≤ -10%), 81 via oscillometry (∆R<sub>5</sub> ≥ 25%), and 37 by both. Among nonathletes, FeNO was weakly correlated with ∆FEV<sub>1</sub> (r<sub>s</sub> = -0.17, p = 0.04), ∆R<sub>5</sub> (0.35, p < 0.001), and ∆X<sub>5</sub> (-0.25, p = 0.005). Elevated FeNO (> 20 parts per billion) was associated with EIB by ∆FEV<sub>1</sub> (aOR 2.54, 95% CI: 1.05-6.12) and ∆R<sub>5</sub> (aOR 3.05, 95% CI: 1.18-7.9). Respiratory symptoms also related to postexercise airway responses in nonathletes. In contrast, no such associations were observed in athletes.</p><p><strong>Conclusion: </strong>In nonathletes, elevated FeNO and symptoms can indicate who needs EIB testing. These indicators were less predictive in athletes, emphasizing the value of objective assessment. Oscillometry was complementary to spirometry to assess EIB and a combination of methods might be more informative.</p>","PeriodicalId":19932,"journal":{"name":"Pediatric Pulmonology","volume":"60 9","pages":"e71296"},"PeriodicalIF":2.3000,"publicationDate":"2025-09-01","publicationTypes":"Journal Article","fieldsOfStudy":null,"isOpenAccess":false,"openAccessPdf":"https://www.ncbi.nlm.nih.gov/pmc/articles/PMC12445329/pdf/","citationCount":"0","resultStr":"{\"title\":\"Postexercise Airway Responses by Spirometry and Oscillometry in Nonathlete and Athlete Adolescents.\",\"authors\":\"Karin Ersson, Kjell Alving, Margareta Emtner, Christer Janson, Henrik Johansson, Andrei Malinovschi\",\"doi\":\"10.1002/ppul.71296\",\"DOIUrl\":null,\"url\":null,\"abstract\":\"<p><strong>Background: </strong>Exercise-induced bronchoconstriction (EIB) is common among adolescents and athletes. While typically assessed with spirometry, oscillometry may offer complementary insights. This cross-sectional study examined how fractional exhaled nitric oxide (FeNO) and symptoms relate to postexercise airway responses assessed via spirometry and oscillometry, and whether these associations differ between nonathletes and athletes.</p><p><strong>Methods: </strong>Subsamples from two adolescent cohorts (N = 241; 143 nonathletes, 98 athletes) completed questionnaires, FeNO measurements, and an EIB test using spirometry, by change in forced expiratory volume in 1 s (∆FEV<sub>1</sub>), and oscillometry, by change in resistance and reactance at 5 Hz (∆R<sub>5</sub>, ∆X<sub>5</sub>). Correlations were assessed using Spearman's rank; logistic regression evaluated associations between elevated FeNO and EIB; linear regression explored links between symptoms and postexercise airway responses.</p><p><strong>Results: </strong>EIB was detected in 70 participants via spirometry (∆FEV<sub>1</sub> ≤ -10%), 81 via oscillometry (∆R<sub>5</sub> ≥ 25%), and 37 by both. Among nonathletes, FeNO was weakly correlated with ∆FEV<sub>1</sub> (r<sub>s</sub> = -0.17, p = 0.04), ∆R<sub>5</sub> (0.35, p < 0.001), and ∆X<sub>5</sub> (-0.25, p = 0.005). Elevated FeNO (> 20 parts per billion) was associated with EIB by ∆FEV<sub>1</sub> (aOR 2.54, 95% CI: 1.05-6.12) and ∆R<sub>5</sub> (aOR 3.05, 95% CI: 1.18-7.9). Respiratory symptoms also related to postexercise airway responses in nonathletes. In contrast, no such associations were observed in athletes.</p><p><strong>Conclusion: </strong>In nonathletes, elevated FeNO and symptoms can indicate who needs EIB testing. These indicators were less predictive in athletes, emphasizing the value of objective assessment. Oscillometry was complementary to spirometry to assess EIB and a combination of methods might be more informative.</p>\",\"PeriodicalId\":19932,\"journal\":{\"name\":\"Pediatric Pulmonology\",\"volume\":\"60 9\",\"pages\":\"e71296\"},\"PeriodicalIF\":2.3000,\"publicationDate\":\"2025-09-01\",\"publicationTypes\":\"Journal Article\",\"fieldsOfStudy\":null,\"isOpenAccess\":false,\"openAccessPdf\":\"https://www.ncbi.nlm.nih.gov/pmc/articles/PMC12445329/pdf/\",\"citationCount\":\"0\",\"resultStr\":null,\"platform\":\"Semanticscholar\",\"paperid\":null,\"PeriodicalName\":\"Pediatric Pulmonology\",\"FirstCategoryId\":\"3\",\"ListUrlMain\":\"https://doi.org/10.1002/ppul.71296\",\"RegionNum\":3,\"RegionCategory\":\"医学\",\"ArticlePicture\":[],\"TitleCN\":null,\"AbstractTextCN\":null,\"PMCID\":null,\"EPubDate\":\"\",\"PubModel\":\"\",\"JCR\":\"Q1\",\"JCRName\":\"PEDIATRICS\",\"Score\":null,\"Total\":0}","platform":"Semanticscholar","paperid":null,"PeriodicalName":"Pediatric Pulmonology","FirstCategoryId":"3","ListUrlMain":"https://doi.org/10.1002/ppul.71296","RegionNum":3,"RegionCategory":"医学","ArticlePicture":[],"TitleCN":null,"AbstractTextCN":null,"PMCID":null,"EPubDate":"","PubModel":"","JCR":"Q1","JCRName":"PEDIATRICS","Score":null,"Total":0}
引用次数: 0

摘要

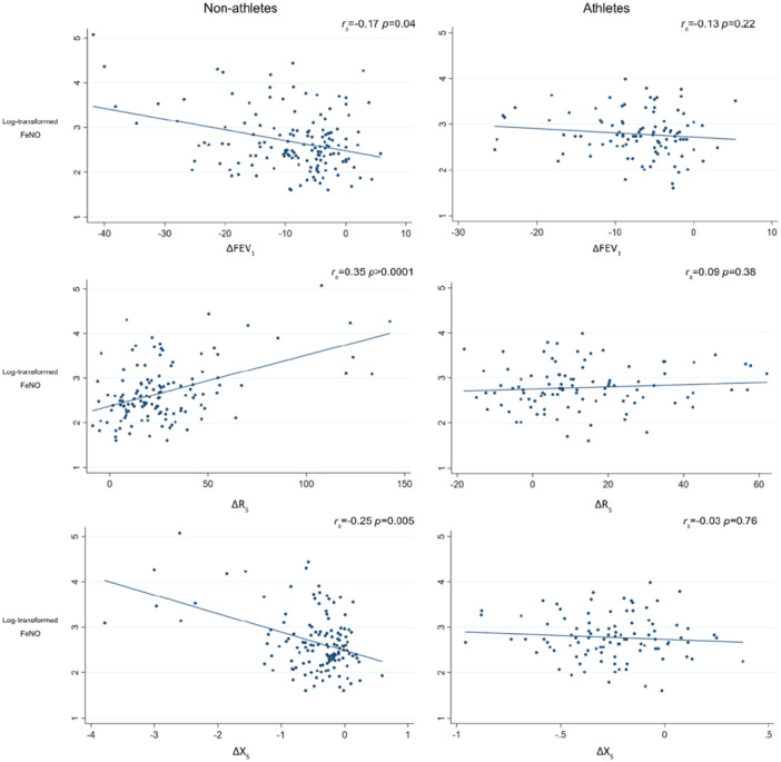
背景:运动性支气管收缩(EIB)在青少年和运动员中很常见。虽然通常用肺活量测定法进行评估,但振荡测定法可以提供补充的见解。本横断面研究通过肺活量测定法和振荡测量法评估了分数呼气一氧化氮(FeNO)和症状与运动后气道反应的关系,以及这些关联在非运动员和运动员之间是否存在差异。方法:来自两个青少年队列的子样本(N = 241; 143名非运动员,98名运动员)完成问卷调查、FeNO测量和EIB测试,使用肺活量测定法,通过1 s内用力呼气量的变化(∆FEV1),以及振荡测定法,通过5 Hz时阻力和电抗的变化(∆R5,∆X5)。使用Spearman等级评估相关性;逻辑回归评估FeNO升高与EIB之间的关系;线性回归探讨了症状与运动后气道反应之间的联系。结果:70例受试者通过肺活量测定法(∆FEV1≤-10%)检测到EIB, 81例通过振荡测定法(∆R5≥25%)检测到EIB, 37例两种方法均检测到EIB。在非运动员中,FeNO与∆FEV1 (rs = -0.17, p = 0.04)、∆R5 (0.35, p = 0.005)呈弱相关(rs = -0.25, p = 0.005)。升高的FeNO (bbb20十亿分之一)与EIB通过∆FEV1 (aOR 2.54, 95% CI: 1.05-6.12)和∆R5 (aOR 3.05, 95% CI: 1.18-7.9)相关。非运动员的呼吸道症状也与运动后气道反应有关。相比之下,在运动员中没有观察到这种关联。结论:在非运动员中,FeNO升高和症状可以表明谁需要EIB检测。这些指标对运动员的预见性较差,强调了客观评估的价值。振荡测量法是肺活量测定法评估EIB的补充,两种方法的结合可能提供更多信息。
本文章由计算机程序翻译,如有差异,请以英文原文为准。

Postexercise Airway Responses by Spirometry and Oscillometry in Nonathlete and Athlete Adolescents.

Postexercise Airway Responses by Spirometry and Oscillometry in Nonathlete and Athlete Adolescents.

Postexercise Airway Responses by Spirometry and Oscillometry in Nonathlete and Athlete Adolescents.

Background: Exercise-induced bronchoconstriction (EIB) is common among adolescents and athletes. While typically assessed with spirometry, oscillometry may offer complementary insights. This cross-sectional study examined how fractional exhaled nitric oxide (FeNO) and symptoms relate to postexercise airway responses assessed via spirometry and oscillometry, and whether these associations differ between nonathletes and athletes.

Methods: Subsamples from two adolescent cohorts (N = 241; 143 nonathletes, 98 athletes) completed questionnaires, FeNO measurements, and an EIB test using spirometry, by change in forced expiratory volume in 1 s (∆FEV1), and oscillometry, by change in resistance and reactance at 5 Hz (∆R5, ∆X5). Correlations were assessed using Spearman's rank; logistic regression evaluated associations between elevated FeNO and EIB; linear regression explored links between symptoms and postexercise airway responses.

Results: EIB was detected in 70 participants via spirometry (∆FEV1 ≤ -10%), 81 via oscillometry (∆R5 ≥ 25%), and 37 by both. Among nonathletes, FeNO was weakly correlated with ∆FEV1 (rs = -0.17, p = 0.04), ∆R5 (0.35, p < 0.001), and ∆X5 (-0.25, p = 0.005). Elevated FeNO (> 20 parts per billion) was associated with EIB by ∆FEV1 (aOR 2.54, 95% CI: 1.05-6.12) and ∆R5 (aOR 3.05, 95% CI: 1.18-7.9). Respiratory symptoms also related to postexercise airway responses in nonathletes. In contrast, no such associations were observed in athletes.

Conclusion: In nonathletes, elevated FeNO and symptoms can indicate who needs EIB testing. These indicators were less predictive in athletes, emphasizing the value of objective assessment. Oscillometry was complementary to spirometry to assess EIB and a combination of methods might be more informative.

求助全文
通过发布文献求助,成功后即可免费获取论文全文。 去求助
来源期刊
Pediatric Pulmonology
Pediatric Pulmonology 医学-呼吸系统
CiteScore
6.00
自引率
12.90%
发文量
468
审稿时长
3-8 weeks
期刊介绍: Pediatric Pulmonology (PPUL) is the foremost global journal studying the respiratory system in disease and in health as it develops from intrauterine life though adolescence to adulthood. Combining explicit and informative analysis of clinical as well as basic scientific research, PPUL provides a look at the many facets of respiratory system disorders in infants and children, ranging from pathological anatomy, developmental issues, and pathophysiology to infectious disease, asthma, cystic fibrosis, and airborne toxins. Focused attention is given to the reporting of diagnostic and therapeutic methods for neonates, preschool children, and adolescents, the enduring effects of childhood respiratory diseases, and newly described infectious diseases. PPUL concentrates on subject matters of crucial interest to specialists preparing for the Pediatric Subspecialty Examinations in the United States and other countries. With its attentive coverage and extensive clinical data, this journal is a principle source for pediatricians in practice and in training and a must have for all pediatric pulmonologists.
×
引用
GB/T 7714-2015
复制
MLA
复制
APA
复制
导出至
BibTeX EndNote RefMan NoteFirst NoteExpress
×
提示
您的信息不完整,为了账户安全,请先补充。
现在去补充
×
提示
您因"违规操作"
具体请查看互助需知
我知道了
×
提示
确定
请完成安全验证×
copy
已复制链接
快去分享给好友吧!
我知道了
右上角分享
点击右上角分享
0
联系我们:info@booksci.cn Book学术提供免费学术资源搜索服务,方便国内外学者检索中英文文献。致力于提供最便捷和优质的服务体验。 Copyright © 2023 布克学术 All rights reserved.
京ICP备2023020795号-1
ghs 京公网安备 11010802042870号
Book学术文献互助
Book学术文献互助群
群 号:604180095
Book学术官方微信