血清l-半胱氨酸/谷胱甘肽比值预测心血管事件的有效性。

IF 1.7 4区 医学 Q3 NUTRITION & DIETETICS
Journal of Clinical Biochemistry and Nutrition Pub Date : 2025-09-01 Epub Date: 2025-05-28 DOI:10.3164/jcbn.24-156
Yuki Ishinoda, Nobuyuki Masaki, Yasuhiro Hitomi, Ryota Nakazawa, Akira Taruoka, Akane Kawai, Midori Iwashita, Yasuo Ido, Yusuke Yumita, Kazuki Kagami, Risako Yasuda, Yukinori Ikegami, Takumi Toya, Yuji Nagatomo, Bonpei Takase, Takeshi Adachi
{"title":"血清l-半胱氨酸/谷胱甘肽比值预测心血管事件的有效性。","authors":"Yuki Ishinoda, Nobuyuki Masaki, Yasuhiro Hitomi, Ryota Nakazawa, Akira Taruoka, Akane Kawai, Midori Iwashita, Yasuo Ido, Yusuke Yumita, Kazuki Kagami, Risako Yasuda, Yukinori Ikegami, Takumi Toya, Yuji Nagatomo, Bonpei Takase, Takeshi Adachi","doi":"10.3164/jcbn.24-156","DOIUrl":null,"url":null,"abstract":"<p><p>Aminothiols play an important role in the antioxidant defense system. Their serum profile may be a predictor of prognosis and cardiovascular events. This study followed-up 262 patients (202 men; age, 65 ± 13 years) who had been treated for cardiovascular disease. The patients were divided into two groups by the median total l-cysteine to total glutathione (tCySH/tGSH) ratio in serum at enrollment. There were 32 (11%) all-cause deaths, 20 (8%) cardiovascular deaths, and 32 (12%) major cardiovascular events in 5.5 ± 3.2 years. Twenty-nine (11%) patients were hospitalized for heart failure. The high tCySH/tGSH ratio group (≥80.70) had a higher incidence of all-cause death than the low tCySH/tGSH ratio group (<80.70; log-rank test, <i>p</i> = 0.025). Multivariate Cox regression analysis adjusted for age, sex, body mass index, current smoking, renal function, and log<sub>10</sub>-transformed brain natriuretic peptide showed that the tCySH/tGSH ratio had predictive value for all-cause death, cardiovascular death, and heart failure. The adjusted hazard ratio for heart failure for the high versus low tCySH/tGSH ratio groups was 3.071 (95% confidence interval: 1.186-7.952; <i>p</i> = 0.021). The tCySH/tGSH ratio may be an useful biomarker to assess prognosis, cardiovascular events, and heart failure.</p>","PeriodicalId":15429,"journal":{"name":"Journal of Clinical Biochemistry and Nutrition","volume":"77 2","pages":"174-181"},"PeriodicalIF":1.7000,"publicationDate":"2025-09-01","publicationTypes":"Journal Article","fieldsOfStudy":null,"isOpenAccess":false,"openAccessPdf":"https://www.ncbi.nlm.nih.gov/pmc/articles/PMC12440669/pdf/","citationCount":"0","resultStr":"{\"title\":\"Effectiveness of the serum ratio of l-cysteine to glutathione for the prediction of cardiovascular events.\",\"authors\":\"Yuki Ishinoda, Nobuyuki Masaki, Yasuhiro Hitomi, Ryota Nakazawa, Akira Taruoka, Akane Kawai, Midori Iwashita, Yasuo Ido, Yusuke Yumita, Kazuki Kagami, Risako Yasuda, Yukinori Ikegami, Takumi Toya, Yuji Nagatomo, Bonpei Takase, Takeshi Adachi\",\"doi\":\"10.3164/jcbn.24-156\",\"DOIUrl\":null,\"url\":null,\"abstract\":\"<p><p>Aminothiols play an important role in the antioxidant defense system. Their serum profile may be a predictor of prognosis and cardiovascular events. This study followed-up 262 patients (202 men; age, 65 ± 13 years) who had been treated for cardiovascular disease. The patients were divided into two groups by the median total l-cysteine to total glutathione (tCySH/tGSH) ratio in serum at enrollment. There were 32 (11%) all-cause deaths, 20 (8%) cardiovascular deaths, and 32 (12%) major cardiovascular events in 5.5 ± 3.2 years. Twenty-nine (11%) patients were hospitalized for heart failure. The high tCySH/tGSH ratio group (≥80.70) had a higher incidence of all-cause death than the low tCySH/tGSH ratio group (<80.70; log-rank test, <i>p</i> = 0.025). Multivariate Cox regression analysis adjusted for age, sex, body mass index, current smoking, renal function, and log<sub>10</sub>-transformed brain natriuretic peptide showed that the tCySH/tGSH ratio had predictive value for all-cause death, cardiovascular death, and heart failure. The adjusted hazard ratio for heart failure for the high versus low tCySH/tGSH ratio groups was 3.071 (95% confidence interval: 1.186-7.952; <i>p</i> = 0.021). The tCySH/tGSH ratio may be an useful biomarker to assess prognosis, cardiovascular events, and heart failure.</p>\",\"PeriodicalId\":15429,\"journal\":{\"name\":\"Journal of Clinical Biochemistry and Nutrition\",\"volume\":\"77 2\",\"pages\":\"174-181\"},\"PeriodicalIF\":1.7000,\"publicationDate\":\"2025-09-01\",\"publicationTypes\":\"Journal Article\",\"fieldsOfStudy\":null,\"isOpenAccess\":false,\"openAccessPdf\":\"https://www.ncbi.nlm.nih.gov/pmc/articles/PMC12440669/pdf/\",\"citationCount\":\"0\",\"resultStr\":null,\"platform\":\"Semanticscholar\",\"paperid\":null,\"PeriodicalName\":\"Journal of Clinical Biochemistry and Nutrition\",\"FirstCategoryId\":\"3\",\"ListUrlMain\":\"https://doi.org/10.3164/jcbn.24-156\",\"RegionNum\":4,\"RegionCategory\":\"医学\",\"ArticlePicture\":[],\"TitleCN\":null,\"AbstractTextCN\":null,\"PMCID\":null,\"EPubDate\":\"2025/5/28 0:00:00\",\"PubModel\":\"Epub\",\"JCR\":\"Q3\",\"JCRName\":\"NUTRITION & DIETETICS\",\"Score\":null,\"Total\":0}","platform":"Semanticscholar","paperid":null,"PeriodicalName":"Journal of Clinical Biochemistry and Nutrition","FirstCategoryId":"3","ListUrlMain":"https://doi.org/10.3164/jcbn.24-156","RegionNum":4,"RegionCategory":"医学","ArticlePicture":[],"TitleCN":null,"AbstractTextCN":null,"PMCID":null,"EPubDate":"2025/5/28 0:00:00","PubModel":"Epub","JCR":"Q3","JCRName":"NUTRITION & DIETETICS","Score":null,"Total":0}
引用次数: 0

摘要

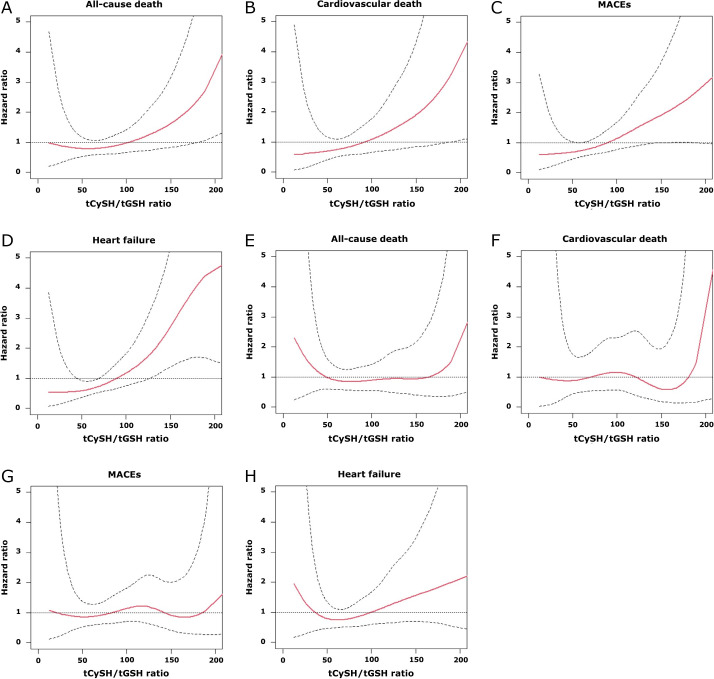
氨基硫醇在抗氧化防御系统中起着重要作用。他们的血清特征可能是预后和心血管事件的预测因子。本研究随访了262例心血管疾病患者(202例男性,年龄65±13岁)。根据入组时血清总l-半胱氨酸/总谷胱甘肽(tCySH/tGSH)比值中位数将患者分为两组。在5.5±3.2年期间,32例(11%)全因死亡,20例(8%)心血管死亡,32例(12%)主要心血管事件。29例(11%)患者因心力衰竭住院。tCySH/tGSH比值高组(≥80.70)的全因死亡发生率高于tCySH/tGSH比值低组(p = 0.025)。多因素Cox回归分析校正了年龄、性别、体重指数、当前吸烟、肾功能和log10转化脑利钠肽,结果显示tCySH/tGSH比值对全因死亡、心血管死亡和心力衰竭具有预测价值。高tysh /tGSH比值组与低tysh /tGSH比值组的心力衰竭校正风险比为3.071(95%可信区间:1.186-7.952;p = 0.021)。tCySH/tGSH比值可能是评估预后、心血管事件和心力衰竭的有用生物标志物。
本文章由计算机程序翻译,如有差异,请以英文原文为准。

Effectiveness of the serum ratio of l-cysteine to glutathione for the prediction of cardiovascular events.

Effectiveness of the serum ratio of l-cysteine to glutathione for the prediction of cardiovascular events.

Effectiveness of the serum ratio of l-cysteine to glutathione for the prediction of cardiovascular events.

Aminothiols play an important role in the antioxidant defense system. Their serum profile may be a predictor of prognosis and cardiovascular events. This study followed-up 262 patients (202 men; age, 65 ± 13 years) who had been treated for cardiovascular disease. The patients were divided into two groups by the median total l-cysteine to total glutathione (tCySH/tGSH) ratio in serum at enrollment. There were 32 (11%) all-cause deaths, 20 (8%) cardiovascular deaths, and 32 (12%) major cardiovascular events in 5.5 ± 3.2 years. Twenty-nine (11%) patients were hospitalized for heart failure. The high tCySH/tGSH ratio group (≥80.70) had a higher incidence of all-cause death than the low tCySH/tGSH ratio group (<80.70; log-rank test, p = 0.025). Multivariate Cox regression analysis adjusted for age, sex, body mass index, current smoking, renal function, and log10-transformed brain natriuretic peptide showed that the tCySH/tGSH ratio had predictive value for all-cause death, cardiovascular death, and heart failure. The adjusted hazard ratio for heart failure for the high versus low tCySH/tGSH ratio groups was 3.071 (95% confidence interval: 1.186-7.952; p = 0.021). The tCySH/tGSH ratio may be an useful biomarker to assess prognosis, cardiovascular events, and heart failure.

求助全文
通过发布文献求助,成功后即可免费获取论文全文。 去求助
来源期刊
CiteScore
4.30
自引率
8.30%
发文量
57
审稿时长
6-12 weeks
期刊介绍: Journal of Clinical Biochemistry and Nutrition (JCBN) is an international, interdisciplinary publication encompassing chemical, biochemical, physiological, pathological, toxicological and medical approaches to research on lipid peroxidation, free radicals, oxidative stress and nutrition. The Journal welcomes original contributions dealing with all aspects of clinical biochemistry and clinical nutrition including both in vitro and in vivo studies.
×
引用
GB/T 7714-2015
复制
MLA
复制
APA
复制
导出至
BibTeX EndNote RefMan NoteFirst NoteExpress
×
提示
您的信息不完整,为了账户安全,请先补充。
现在去补充
×
提示
您因"违规操作"
具体请查看互助需知
我知道了
×
提示
确定
请完成安全验证×
copy
已复制链接
快去分享给好友吧!
我知道了
右上角分享
点击右上角分享
0
联系我们:info@booksci.cn Book学术提供免费学术资源搜索服务,方便国内外学者检索中英文文献。致力于提供最便捷和优质的服务体验。 Copyright © 2023 布克学术 All rights reserved.
京ICP备2023020795号-1
ghs 京公网安备 11010802042870号
Book学术文献互助
Book学术文献互助群
群 号:604180095
Book学术官方微信