不健康植物性饮食与无心血管疾病的慢性肾病全因死亡率的关系:一项基于nhanes的研究

IF 2.4 3区 医学 Q2 HEALTH CARE SCIENCES & SERVICES
Journal of Multidisciplinary Healthcare Pub Date : 2025-09-12 eCollection Date: 2025-01-01 DOI:10.2147/JMDH.S537988
Kejia Li, Yang Xia, Xian Sun, Bairu Shi, Jiajun Wu
{"title":"不健康植物性饮食与无心血管疾病的慢性肾病全因死亡率的关系:一项基于nhanes的研究","authors":"Kejia Li, Yang Xia, Xian Sun, Bairu Shi, Jiajun Wu","doi":"10.2147/JMDH.S537988","DOIUrl":null,"url":null,"abstract":"<p><strong>Purpose: </strong>A plant-based diet (PBD) has been demonstrated to reduce the risk of chronic kidney disease (CKD) and cardiovascular diseases (CVD). This study aimed to examine the associations of PBD indices with all-cause and CVD mortality in a cohort of community-dwelling adults with predominantly early-stage CKD and no comorbid CVD.</p><p><strong>Methods: </strong>Adult CKD patients, defined as an estimated glomerular filtration rate (eGFR) <60 mL/min/1.73m<sup>2</sup> and/or urinary albumin-to-creatinine ratio (uACR) >30mg/g, without known CVD, were included from the 1999-2018 National Health and Nutrition Examination Survey. The primary exposures were scores from the healthy PBD index (hPDI), unhealthy PBD index (uPDI), and total PDI. The Cox proportional hazards model was used for survival analysis.</p><p><strong>Results: </strong>A total of 4098 participants (mean age 55.50 years, mean eGFR 80.62 mL/min/1.73m<sup>2</sup>) were included. During a median follow-up time of 102 months, 1191 (19.52%) participants died, of which 397 were from CVD mortality. Neither the total PDI nor the hPDI was associated with all-cause or CVD mortality. The hazard ratios and 95% confidence intervals for the association between uPDI and all-cause or CVD mortality were 1.02 (1.01-1.04) and 1.01 (0.98-1.04), respectively. Restricted cubic spline analysis indicated a linearly positive relationship between uPDI and all-cause mortality. Subgroup analysis revealed that the associations between uPDI and all-cause mortality were stronger in women and non-diabetic individuals compared to men and diabetic individuals.</p><p><strong>Conclusion: </strong>Adherence to unhealthy PBD is associated with increased all-cause mortality in US CKD individuals without CVD, especially women and non-diabetic individuals.</p>","PeriodicalId":16357,"journal":{"name":"Journal of Multidisciplinary Healthcare","volume":"18 ","pages":"5759-5770"},"PeriodicalIF":2.4000,"publicationDate":"2025-09-12","publicationTypes":"Journal Article","fieldsOfStudy":null,"isOpenAccess":false,"openAccessPdf":"https://www.ncbi.nlm.nih.gov/pmc/articles/PMC12439687/pdf/","citationCount":"0","resultStr":"{\"title\":\"Association of Unhealthy Plant-Based Diet with All-Cause Mortality in Chronic Kidney Disease Without Cardiovascular Diseases: A NHANES-Based Study.\",\"authors\":\"Kejia Li, Yang Xia, Xian Sun, Bairu Shi, Jiajun Wu\",\"doi\":\"10.2147/JMDH.S537988\",\"DOIUrl\":null,\"url\":null,\"abstract\":\"<p><strong>Purpose: </strong>A plant-based diet (PBD) has been demonstrated to reduce the risk of chronic kidney disease (CKD) and cardiovascular diseases (CVD). This study aimed to examine the associations of PBD indices with all-cause and CVD mortality in a cohort of community-dwelling adults with predominantly early-stage CKD and no comorbid CVD.</p><p><strong>Methods: </strong>Adult CKD patients, defined as an estimated glomerular filtration rate (eGFR) <60 mL/min/1.73m<sup>2</sup> and/or urinary albumin-to-creatinine ratio (uACR) >30mg/g, without known CVD, were included from the 1999-2018 National Health and Nutrition Examination Survey. The primary exposures were scores from the healthy PBD index (hPDI), unhealthy PBD index (uPDI), and total PDI. The Cox proportional hazards model was used for survival analysis.</p><p><strong>Results: </strong>A total of 4098 participants (mean age 55.50 years, mean eGFR 80.62 mL/min/1.73m<sup>2</sup>) were included. During a median follow-up time of 102 months, 1191 (19.52%) participants died, of which 397 were from CVD mortality. Neither the total PDI nor the hPDI was associated with all-cause or CVD mortality. The hazard ratios and 95% confidence intervals for the association between uPDI and all-cause or CVD mortality were 1.02 (1.01-1.04) and 1.01 (0.98-1.04), respectively. Restricted cubic spline analysis indicated a linearly positive relationship between uPDI and all-cause mortality. Subgroup analysis revealed that the associations between uPDI and all-cause mortality were stronger in women and non-diabetic individuals compared to men and diabetic individuals.</p><p><strong>Conclusion: </strong>Adherence to unhealthy PBD is associated with increased all-cause mortality in US CKD individuals without CVD, especially women and non-diabetic individuals.</p>\",\"PeriodicalId\":16357,\"journal\":{\"name\":\"Journal of Multidisciplinary Healthcare\",\"volume\":\"18 \",\"pages\":\"5759-5770\"},\"PeriodicalIF\":2.4000,\"publicationDate\":\"2025-09-12\",\"publicationTypes\":\"Journal Article\",\"fieldsOfStudy\":null,\"isOpenAccess\":false,\"openAccessPdf\":\"https://www.ncbi.nlm.nih.gov/pmc/articles/PMC12439687/pdf/\",\"citationCount\":\"0\",\"resultStr\":null,\"platform\":\"Semanticscholar\",\"paperid\":null,\"PeriodicalName\":\"Journal of Multidisciplinary Healthcare\",\"FirstCategoryId\":\"3\",\"ListUrlMain\":\"https://doi.org/10.2147/JMDH.S537988\",\"RegionNum\":3,\"RegionCategory\":\"医学\",\"ArticlePicture\":[],\"TitleCN\":null,\"AbstractTextCN\":null,\"PMCID\":null,\"EPubDate\":\"2025/1/1 0:00:00\",\"PubModel\":\"eCollection\",\"JCR\":\"Q2\",\"JCRName\":\"HEALTH CARE SCIENCES & SERVICES\",\"Score\":null,\"Total\":0}","platform":"Semanticscholar","paperid":null,"PeriodicalName":"Journal of Multidisciplinary Healthcare","FirstCategoryId":"3","ListUrlMain":"https://doi.org/10.2147/JMDH.S537988","RegionNum":3,"RegionCategory":"医学","ArticlePicture":[],"TitleCN":null,"AbstractTextCN":null,"PMCID":null,"EPubDate":"2025/1/1 0:00:00","PubModel":"eCollection","JCR":"Q2","JCRName":"HEALTH CARE SCIENCES & SERVICES","Score":null,"Total":0}
引用次数: 0

摘要

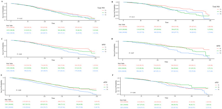
目的:植物性饮食(PBD)已被证明可以降低慢性肾脏疾病(CKD)和心血管疾病(CVD)的风险。本研究旨在研究PBD指数与社区居住成人主要早期CKD和无合并症CVD的全因死亡率和CVD死亡率的关系。方法:从1999-2018年全国健康与营养调查中纳入成人CKD患者,定义为肾小球滤过率(eGFR) 2和/或尿白蛋白与肌酐比值(uACR) bbb30 mg/g,无已知心血管疾病。主要暴露为健康PBD指数(hPDI)、不健康PBD指数(uPDI)和总PDI评分。生存率分析采用Cox比例风险模型。结果:共纳入4098名参与者(平均年龄55.50岁,平均eGFR 80.62 mL/min/1.73m2)。在102个月的中位随访期间,1191名(19.52%)参与者死亡,其中397名死于心血管疾病。总PDI和hPDI与全因或CVD死亡率均无相关性。uPDI与全因或心血管疾病死亡率相关的风险比和95%可信区间分别为1.02(1.01-1.04)和1.01(0.98-1.04)。限制性三次样条分析显示uPDI与全因死亡率呈线性正相关。亚组分析显示,与男性和糖尿病患者相比,女性和非糖尿病患者的uPDI与全因死亡率之间的相关性更强。结论:在美国无CVD的CKD患者中,坚持不健康的PBD与全因死亡率增加有关,尤其是女性和非糖尿病患者。
本文章由计算机程序翻译,如有差异,请以英文原文为准。

Association of Unhealthy Plant-Based Diet with All-Cause Mortality in Chronic Kidney Disease Without Cardiovascular Diseases: A NHANES-Based Study.

Association of Unhealthy Plant-Based Diet with All-Cause Mortality in Chronic Kidney Disease Without Cardiovascular Diseases: A NHANES-Based Study.

Association of Unhealthy Plant-Based Diet with All-Cause Mortality in Chronic Kidney Disease Without Cardiovascular Diseases: A NHANES-Based Study.

Association of Unhealthy Plant-Based Diet with All-Cause Mortality in Chronic Kidney Disease Without Cardiovascular Diseases: A NHANES-Based Study.

Purpose: A plant-based diet (PBD) has been demonstrated to reduce the risk of chronic kidney disease (CKD) and cardiovascular diseases (CVD). This study aimed to examine the associations of PBD indices with all-cause and CVD mortality in a cohort of community-dwelling adults with predominantly early-stage CKD and no comorbid CVD.

Methods: Adult CKD patients, defined as an estimated glomerular filtration rate (eGFR) <60 mL/min/1.73m2 and/or urinary albumin-to-creatinine ratio (uACR) >30mg/g, without known CVD, were included from the 1999-2018 National Health and Nutrition Examination Survey. The primary exposures were scores from the healthy PBD index (hPDI), unhealthy PBD index (uPDI), and total PDI. The Cox proportional hazards model was used for survival analysis.

Results: A total of 4098 participants (mean age 55.50 years, mean eGFR 80.62 mL/min/1.73m2) were included. During a median follow-up time of 102 months, 1191 (19.52%) participants died, of which 397 were from CVD mortality. Neither the total PDI nor the hPDI was associated with all-cause or CVD mortality. The hazard ratios and 95% confidence intervals for the association between uPDI and all-cause or CVD mortality were 1.02 (1.01-1.04) and 1.01 (0.98-1.04), respectively. Restricted cubic spline analysis indicated a linearly positive relationship between uPDI and all-cause mortality. Subgroup analysis revealed that the associations between uPDI and all-cause mortality were stronger in women and non-diabetic individuals compared to men and diabetic individuals.

Conclusion: Adherence to unhealthy PBD is associated with increased all-cause mortality in US CKD individuals without CVD, especially women and non-diabetic individuals.

求助全文
通过发布文献求助,成功后即可免费获取论文全文。 去求助
来源期刊
Journal of Multidisciplinary Healthcare
Journal of Multidisciplinary Healthcare Nursing-General Nursing
CiteScore
4.60
自引率
3.00%
发文量
287
审稿时长
16 weeks
期刊介绍: The Journal of Multidisciplinary Healthcare (JMDH) aims to represent and publish research in healthcare areas delivered by practitioners of different disciplines. This includes studies and reviews conducted by multidisciplinary teams as well as research which evaluates or reports the results or conduct of such teams or healthcare processes in general. The journal covers a very wide range of areas and we welcome submissions from practitioners at all levels and from all over the world. Good healthcare is not bounded by person, place or time and the journal aims to reflect this. The JMDH is published as an open-access journal to allow this wide range of practical, patient relevant research to be immediately available to practitioners who can access and use it immediately upon publication.
×
引用
GB/T 7714-2015
复制
MLA
复制
APA
复制
导出至
BibTeX EndNote RefMan NoteFirst NoteExpress
×
提示
您的信息不完整,为了账户安全,请先补充。
现在去补充
×
提示
您因"违规操作"
具体请查看互助需知
我知道了
×
提示
确定
请完成安全验证×
copy
已复制链接
快去分享给好友吧!
我知道了
右上角分享
点击右上角分享
0
联系我们:info@booksci.cn Book学术提供免费学术资源搜索服务,方便国内外学者检索中英文文献。致力于提供最便捷和优质的服务体验。 Copyright © 2023 布克学术 All rights reserved.
京ICP备2023020795号-1
ghs 京公网安备 11010802042870号
Book学术文献互助
Book学术文献互助群
群 号:604180095
Book学术官方微信