影响新生儿重症监护病房早产儿母亲压力的因素?

IF 2.4 3区 医学 Q2 HEALTH CARE SCIENCES & SERVICES
Journal of Multidisciplinary Healthcare Pub Date : 2025-09-11 eCollection Date: 2025-01-01 DOI:10.2147/JMDH.S543911
Halyna Pavlyshyn, Iryna Sarapuk
{"title":"影响新生儿重症监护病房早产儿母亲压力的因素?","authors":"Halyna Pavlyshyn, Iryna Sarapuk","doi":"10.2147/JMDH.S543911","DOIUrl":null,"url":null,"abstract":"<p><strong>Purpose: </strong>To assess the levels of stress and anxiety in mothers of preterm infants across various gestational ages (GA) and identify GA-specific factors contributing to maternal stress.</p><p><strong>Patients and methods: </strong>Stress and worry were measured in 146 mothers of infants ≤32 weeks GA and 101 mothers >32 weeks GA using the Parental Stressor Scale: Neonatal Intensive Care Unit (PSS: NICU) and Worry Index (WI) questionnaires. PSS: NICU questions were distributed across the following subscales: Sights and Sounds (subscale1 (S1), Infant Appearance and Behavior (S2), and Parental Role Alteration (S3).</p><p><strong>Results: </strong>Mothers of infants ≤32 weeks GA had higher total PSS: NICU and WI scores than those >32 weeks' GA (p=0.005 and p=0.023, respectively). S3 was the most stressful subscale in both groups, followed by S2. The factors associated with higher stress in mothers of extremely/very preterm infants: seizures (p=0.022 for total PSS:NICU, p=0.030 for S2, and p=0.008 for S3), infection (p=0.045 for total PSS:NICU, p=0.039 for S2), depression (p=0.049 for total PSS:NICU), cesarean section (p=0.024 for S3), and twins (p=0.048 for S3). Higher WI was associated with lower education and C-section (p=0.038 and p=0.000, respectively). The factors associated with higher stress in the mothers of moderate/late preterm neonates: unemployment (p=0.043 for S3), vaginal delivery (p=0.035 for total PSS:NICU, p=0.048 for S3), and older children (p=0.042 for S3). Higher WI was associated with lower educational level (p=0.036), unemployment (p=0.035), depression (p=0.039), and seizures (p=0.021).</p><p><strong>Conclusion: </strong>NICU-related stress and WI levels were higher in mothers of infants with GA ≤32 weeks and were correlated with GA. In extremely/very preterm infants, higher maternal stress was linked to seizures, infection, C-section, twins, low education, and maternal depression. In moderate/late preterm neonates, stress was associated with unemployment, vaginal delivery, and having older children. Parental role alteration was the main stressor in all groups.</p>","PeriodicalId":16357,"journal":{"name":"Journal of Multidisciplinary Healthcare","volume":"18 ","pages":"5713-5728"},"PeriodicalIF":2.4000,"publicationDate":"2025-09-11","publicationTypes":"Journal Article","fieldsOfStudy":null,"isOpenAccess":false,"openAccessPdf":"https://www.ncbi.nlm.nih.gov/pmc/articles/PMC12436200/pdf/","citationCount":"0","resultStr":"{\"title\":\"What Influences Maternal Stress in The NICU Among Mothers of Preterm Infants?\",\"authors\":\"Halyna Pavlyshyn, Iryna Sarapuk\",\"doi\":\"10.2147/JMDH.S543911\",\"DOIUrl\":null,\"url\":null,\"abstract\":\"<p><strong>Purpose: </strong>To assess the levels of stress and anxiety in mothers of preterm infants across various gestational ages (GA) and identify GA-specific factors contributing to maternal stress.</p><p><strong>Patients and methods: </strong>Stress and worry were measured in 146 mothers of infants ≤32 weeks GA and 101 mothers >32 weeks GA using the Parental Stressor Scale: Neonatal Intensive Care Unit (PSS: NICU) and Worry Index (WI) questionnaires. PSS: NICU questions were distributed across the following subscales: Sights and Sounds (subscale1 (S1), Infant Appearance and Behavior (S2), and Parental Role Alteration (S3).</p><p><strong>Results: </strong>Mothers of infants ≤32 weeks GA had higher total PSS: NICU and WI scores than those >32 weeks' GA (p=0.005 and p=0.023, respectively). S3 was the most stressful subscale in both groups, followed by S2. The factors associated with higher stress in mothers of extremely/very preterm infants: seizures (p=0.022 for total PSS:NICU, p=0.030 for S2, and p=0.008 for S3), infection (p=0.045 for total PSS:NICU, p=0.039 for S2), depression (p=0.049 for total PSS:NICU), cesarean section (p=0.024 for S3), and twins (p=0.048 for S3). Higher WI was associated with lower education and C-section (p=0.038 and p=0.000, respectively). The factors associated with higher stress in the mothers of moderate/late preterm neonates: unemployment (p=0.043 for S3), vaginal delivery (p=0.035 for total PSS:NICU, p=0.048 for S3), and older children (p=0.042 for S3). Higher WI was associated with lower educational level (p=0.036), unemployment (p=0.035), depression (p=0.039), and seizures (p=0.021).</p><p><strong>Conclusion: </strong>NICU-related stress and WI levels were higher in mothers of infants with GA ≤32 weeks and were correlated with GA. In extremely/very preterm infants, higher maternal stress was linked to seizures, infection, C-section, twins, low education, and maternal depression. In moderate/late preterm neonates, stress was associated with unemployment, vaginal delivery, and having older children. Parental role alteration was the main stressor in all groups.</p>\",\"PeriodicalId\":16357,\"journal\":{\"name\":\"Journal of Multidisciplinary Healthcare\",\"volume\":\"18 \",\"pages\":\"5713-5728\"},\"PeriodicalIF\":2.4000,\"publicationDate\":\"2025-09-11\",\"publicationTypes\":\"Journal Article\",\"fieldsOfStudy\":null,\"isOpenAccess\":false,\"openAccessPdf\":\"https://www.ncbi.nlm.nih.gov/pmc/articles/PMC12436200/pdf/\",\"citationCount\":\"0\",\"resultStr\":null,\"platform\":\"Semanticscholar\",\"paperid\":null,\"PeriodicalName\":\"Journal of Multidisciplinary Healthcare\",\"FirstCategoryId\":\"3\",\"ListUrlMain\":\"https://doi.org/10.2147/JMDH.S543911\",\"RegionNum\":3,\"RegionCategory\":\"医学\",\"ArticlePicture\":[],\"TitleCN\":null,\"AbstractTextCN\":null,\"PMCID\":null,\"EPubDate\":\"2025/1/1 0:00:00\",\"PubModel\":\"eCollection\",\"JCR\":\"Q2\",\"JCRName\":\"HEALTH CARE SCIENCES & SERVICES\",\"Score\":null,\"Total\":0}","platform":"Semanticscholar","paperid":null,"PeriodicalName":"Journal of Multidisciplinary Healthcare","FirstCategoryId":"3","ListUrlMain":"https://doi.org/10.2147/JMDH.S543911","RegionNum":3,"RegionCategory":"医学","ArticlePicture":[],"TitleCN":null,"AbstractTextCN":null,"PMCID":null,"EPubDate":"2025/1/1 0:00:00","PubModel":"eCollection","JCR":"Q2","JCRName":"HEALTH CARE SCIENCES & SERVICES","Score":null,"Total":0}
引用次数: 0

摘要

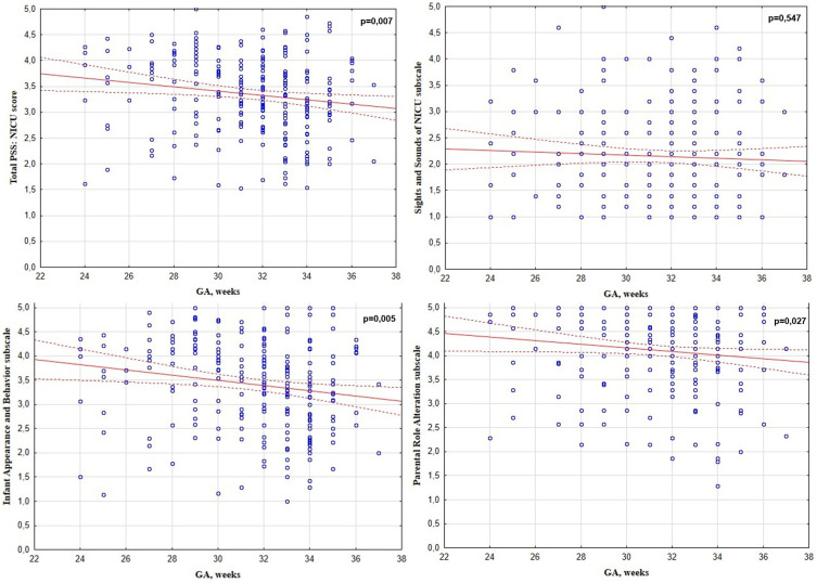
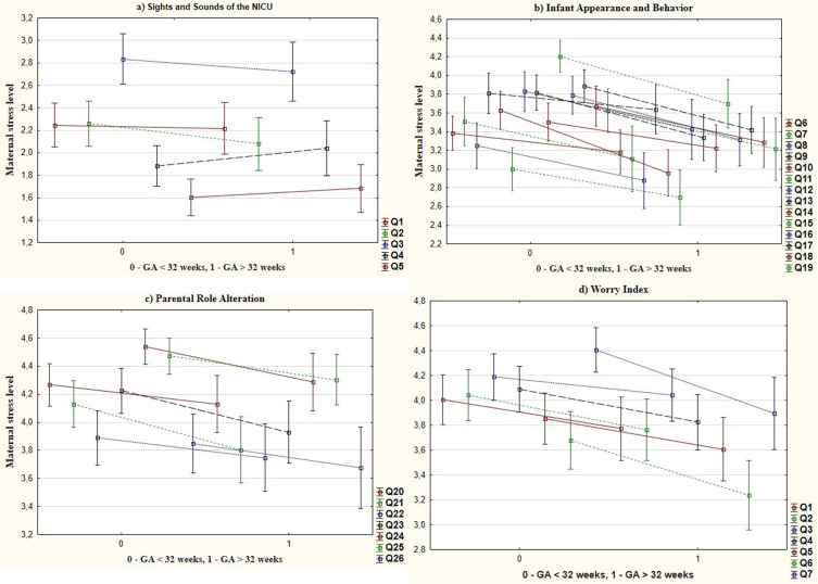
目的:评估不同胎龄(GA)早产儿母亲的压力和焦虑水平,并确定GA特异性因素对母亲压力的影响。患者和方法:采用父母压力源量表:新生儿重症监护病房(PSS: NICU)和焦虑指数(WI)问卷,对146名出生≤32周的母亲和101名出生≤32周的母亲进行压力和焦虑的测量。PSS: NICU的问题分布在以下子量表上:视觉和声音(子量表1 (S1)),婴儿外观和行为(S2),以及父母角色改变(S3)。结果:胎龄≤32周的母亲PSS: NICU和WI总分高于胎龄≤32周的母亲(p=0.005和p=0.023)。S3是两组压力最大的子量表,S2次之。极/极早产儿母亲压力较高的相关因素:癫痫发作(总PSS:NICU p=0.022, S2 p=0.030, S3 p=0.008)、感染(总PSS:NICU p=0.045, S2 p=0.039)、抑郁(总PSS:NICU p=0.049)、剖宫产(S3 p=0.024)和双胞胎(S3 p=0.048)。较高的WI与较低的教育程度和剖腹产相关(p=0.038和p=0.000)。与中度/晚期早产儿母亲压力升高相关的因素有:失业(第3组p=0.043)、阴道分娩(第3组p=0.035:新生儿重症监护病房,第3组p=0.048)和较大的儿童(第3组p=0.042)。高WI与低教育水平(p=0.036)、失业(p=0.035)、抑郁(p=0.039)和癫痫发作(p=0.021)相关。结论:新生儿GA≤32周的新生儿母亲nicu相关应激和WI水平较高,且与GA相关。在极早产/极早产儿中,较高的母亲压力与癫痫发作、感染、剖腹产、双胞胎、低教育水平和母亲抑郁有关。在中度/晚期早产新生儿中,压力与失业、阴道分娩和生育年龄较大的孩子有关。父母角色的改变是各组的主要压力源。
本文章由计算机程序翻译,如有差异,请以英文原文为准。

What Influences Maternal Stress in The NICU Among Mothers of Preterm Infants?

What Influences Maternal Stress in The NICU Among Mothers of Preterm Infants?

What Influences Maternal Stress in The NICU Among Mothers of Preterm Infants?

What Influences Maternal Stress in The NICU Among Mothers of Preterm Infants?

Purpose: To assess the levels of stress and anxiety in mothers of preterm infants across various gestational ages (GA) and identify GA-specific factors contributing to maternal stress.

Patients and methods: Stress and worry were measured in 146 mothers of infants ≤32 weeks GA and 101 mothers >32 weeks GA using the Parental Stressor Scale: Neonatal Intensive Care Unit (PSS: NICU) and Worry Index (WI) questionnaires. PSS: NICU questions were distributed across the following subscales: Sights and Sounds (subscale1 (S1), Infant Appearance and Behavior (S2), and Parental Role Alteration (S3).

Results: Mothers of infants ≤32 weeks GA had higher total PSS: NICU and WI scores than those >32 weeks' GA (p=0.005 and p=0.023, respectively). S3 was the most stressful subscale in both groups, followed by S2. The factors associated with higher stress in mothers of extremely/very preterm infants: seizures (p=0.022 for total PSS:NICU, p=0.030 for S2, and p=0.008 for S3), infection (p=0.045 for total PSS:NICU, p=0.039 for S2), depression (p=0.049 for total PSS:NICU), cesarean section (p=0.024 for S3), and twins (p=0.048 for S3). Higher WI was associated with lower education and C-section (p=0.038 and p=0.000, respectively). The factors associated with higher stress in the mothers of moderate/late preterm neonates: unemployment (p=0.043 for S3), vaginal delivery (p=0.035 for total PSS:NICU, p=0.048 for S3), and older children (p=0.042 for S3). Higher WI was associated with lower educational level (p=0.036), unemployment (p=0.035), depression (p=0.039), and seizures (p=0.021).

Conclusion: NICU-related stress and WI levels were higher in mothers of infants with GA ≤32 weeks and were correlated with GA. In extremely/very preterm infants, higher maternal stress was linked to seizures, infection, C-section, twins, low education, and maternal depression. In moderate/late preterm neonates, stress was associated with unemployment, vaginal delivery, and having older children. Parental role alteration was the main stressor in all groups.

求助全文
通过发布文献求助,成功后即可免费获取论文全文。 去求助
来源期刊
Journal of Multidisciplinary Healthcare
Journal of Multidisciplinary Healthcare Nursing-General Nursing
CiteScore
4.60
自引率
3.00%
发文量
287
审稿时长
16 weeks
期刊介绍: The Journal of Multidisciplinary Healthcare (JMDH) aims to represent and publish research in healthcare areas delivered by practitioners of different disciplines. This includes studies and reviews conducted by multidisciplinary teams as well as research which evaluates or reports the results or conduct of such teams or healthcare processes in general. The journal covers a very wide range of areas and we welcome submissions from practitioners at all levels and from all over the world. Good healthcare is not bounded by person, place or time and the journal aims to reflect this. The JMDH is published as an open-access journal to allow this wide range of practical, patient relevant research to be immediately available to practitioners who can access and use it immediately upon publication.
×
引用
GB/T 7714-2015
复制
MLA
复制
APA
复制
导出至
BibTeX EndNote RefMan NoteFirst NoteExpress
×
提示
您的信息不完整,为了账户安全,请先补充。
现在去补充
×
提示
您因"违规操作"
具体请查看互助需知
我知道了
×
提示
确定
请完成安全验证×
copy
已复制链接
快去分享给好友吧!
我知道了
右上角分享
点击右上角分享
0
联系我们:info@booksci.cn Book学术提供免费学术资源搜索服务,方便国内外学者检索中英文文献。致力于提供最便捷和优质的服务体验。 Copyright © 2023 布克学术 All rights reserved.
京ICP备2023020795号-1
ghs 京公网安备 11010802042870号
Book学术文献互助
Book学术文献互助群
群 号:604180095
Book学术官方微信