术中体位转换对妇科腹腔镜手术颈内动脉血流的影响。

IF 2.6 4区 医学 Q2 OBSTETRICS & GYNECOLOGY
International Journal of Women's Health Pub Date : 2025-09-12 eCollection Date: 2025-01-01 DOI:10.2147/IJWH.S540634
Xi Tan, Wenyi Sun, Hao Zhou, Li Zhang, Chaoxuan Dong
{"title":"术中体位转换对妇科腹腔镜手术颈内动脉血流的影响。","authors":"Xi Tan, Wenyi Sun, Hao Zhou, Li Zhang, Chaoxuan Dong","doi":"10.2147/IJWH.S540634","DOIUrl":null,"url":null,"abstract":"<p><strong>Objective: </strong>Reduced internal carotid artery (ICA) blood flow can cause cerebral hypoperfusion, increasing the risk of intraoperative or postoperative cerebral ischemia. In laparoscopic surgery, postural changes and pneumoperitoneum may further compromise ICA hemodynamics. This study aims to evaluate the effects of intraoperative postural transitions on ICA blood flow in patients undergoing gynecologic laparoscopic surgery.</p><p><strong>Methods: </strong>A single-center, prospective, non-randomized observational study was performed. Measurements of ICA blood flow, heart rate (HR), and mean arterial pressure (MAP) were obtained at eight intraoperative time points: upon arrival to the operating table while awake (T1), post-induction of anesthesia in the supine position (T2), following pneumoperitoneum in the supine position (T3), immediately after placement in the Trendelenburg position (T4), 10 minutes (T5) and 20 minutes (T6) after Trendelenburg positioning, upon return to the supine position (T7), and at the conclusion of surgery (T8).</p><p><strong>Results: </strong>A total of 79 patients were enrolled in this study. A significant reduction in ICA blood flow was observed at T2 compared to T1 (263.8 ± 11.4 vs 323.5 ± 12.0 mL/min, <i>p</i> < 0.001), with further reduction at T3 (237.2 ± 9.8 vs 323.5 ± 12.0 mL/min [T1], <i>p</i> < 0.001, vs T1). No statistically significant changes were observed from T4 to T6. Upon transitioning from the Trendelenburg position to supine (T7), ICA blood flow further decreased (202.1 ± 7.5 vs 237.2 ± 9.8 mL/min, <i>p =</i> 0.004), accompanied by reductions in HR (60.0 ± 0.7 vs 66.9 ± 1.0 beats/min, <i>p</i> < 0.001) and MAP (82.8 ± 12.4 vs 93.6 ± 13.5 mmHg, <i>p</i> < 0.001).</p><p><strong>Conclusion: </strong>Intraoperative postural transitions during gynecologic laparoscopic surgery are associated with fluctuations in ICA blood flow. The return from the Trendelenburg to the supine position results in a marked decrease in ICA blood flow, HR, and MAP.</p><p><strong>Clinical trial registration: </strong>https://www.chictr.org.cn/showproj.html?proj=178094, Identifier: ChiCTR2200065104, Registered October 27, 2022.</p>","PeriodicalId":14356,"journal":{"name":"International Journal of Women's Health","volume":"17 ","pages":"2969-2977"},"PeriodicalIF":2.6000,"publicationDate":"2025-09-12","publicationTypes":"Journal Article","fieldsOfStudy":null,"isOpenAccess":false,"openAccessPdf":"https://www.ncbi.nlm.nih.gov/pmc/articles/PMC12439691/pdf/","citationCount":"0","resultStr":"{\"title\":\"Impact of Intraoperative Postural Transitions on Internal Carotid Artery Blood Flow During Gynecologic Laparoscopic Surgery.\",\"authors\":\"Xi Tan, Wenyi Sun, Hao Zhou, Li Zhang, Chaoxuan Dong\",\"doi\":\"10.2147/IJWH.S540634\",\"DOIUrl\":null,\"url\":null,\"abstract\":\"<p><strong>Objective: </strong>Reduced internal carotid artery (ICA) blood flow can cause cerebral hypoperfusion, increasing the risk of intraoperative or postoperative cerebral ischemia. In laparoscopic surgery, postural changes and pneumoperitoneum may further compromise ICA hemodynamics. This study aims to evaluate the effects of intraoperative postural transitions on ICA blood flow in patients undergoing gynecologic laparoscopic surgery.</p><p><strong>Methods: </strong>A single-center, prospective, non-randomized observational study was performed. Measurements of ICA blood flow, heart rate (HR), and mean arterial pressure (MAP) were obtained at eight intraoperative time points: upon arrival to the operating table while awake (T1), post-induction of anesthesia in the supine position (T2), following pneumoperitoneum in the supine position (T3), immediately after placement in the Trendelenburg position (T4), 10 minutes (T5) and 20 minutes (T6) after Trendelenburg positioning, upon return to the supine position (T7), and at the conclusion of surgery (T8).</p><p><strong>Results: </strong>A total of 79 patients were enrolled in this study. A significant reduction in ICA blood flow was observed at T2 compared to T1 (263.8 ± 11.4 vs 323.5 ± 12.0 mL/min, <i>p</i> < 0.001), with further reduction at T3 (237.2 ± 9.8 vs 323.5 ± 12.0 mL/min [T1], <i>p</i> < 0.001, vs T1). No statistically significant changes were observed from T4 to T6. Upon transitioning from the Trendelenburg position to supine (T7), ICA blood flow further decreased (202.1 ± 7.5 vs 237.2 ± 9.8 mL/min, <i>p =</i> 0.004), accompanied by reductions in HR (60.0 ± 0.7 vs 66.9 ± 1.0 beats/min, <i>p</i> < 0.001) and MAP (82.8 ± 12.4 vs 93.6 ± 13.5 mmHg, <i>p</i> < 0.001).</p><p><strong>Conclusion: </strong>Intraoperative postural transitions during gynecologic laparoscopic surgery are associated with fluctuations in ICA blood flow. The return from the Trendelenburg to the supine position results in a marked decrease in ICA blood flow, HR, and MAP.</p><p><strong>Clinical trial registration: </strong>https://www.chictr.org.cn/showproj.html?proj=178094, Identifier: ChiCTR2200065104, Registered October 27, 2022.</p>\",\"PeriodicalId\":14356,\"journal\":{\"name\":\"International Journal of Women's Health\",\"volume\":\"17 \",\"pages\":\"2969-2977\"},\"PeriodicalIF\":2.6000,\"publicationDate\":\"2025-09-12\",\"publicationTypes\":\"Journal Article\",\"fieldsOfStudy\":null,\"isOpenAccess\":false,\"openAccessPdf\":\"https://www.ncbi.nlm.nih.gov/pmc/articles/PMC12439691/pdf/\",\"citationCount\":\"0\",\"resultStr\":null,\"platform\":\"Semanticscholar\",\"paperid\":null,\"PeriodicalName\":\"International Journal of Women's Health\",\"FirstCategoryId\":\"3\",\"ListUrlMain\":\"https://doi.org/10.2147/IJWH.S540634\",\"RegionNum\":4,\"RegionCategory\":\"医学\",\"ArticlePicture\":[],\"TitleCN\":null,\"AbstractTextCN\":null,\"PMCID\":null,\"EPubDate\":\"2025/1/1 0:00:00\",\"PubModel\":\"eCollection\",\"JCR\":\"Q2\",\"JCRName\":\"OBSTETRICS & GYNECOLOGY\",\"Score\":null,\"Total\":0}","platform":"Semanticscholar","paperid":null,"PeriodicalName":"International Journal of Women's Health","FirstCategoryId":"3","ListUrlMain":"https://doi.org/10.2147/IJWH.S540634","RegionNum":4,"RegionCategory":"医学","ArticlePicture":[],"TitleCN":null,"AbstractTextCN":null,"PMCID":null,"EPubDate":"2025/1/1 0:00:00","PubModel":"eCollection","JCR":"Q2","JCRName":"OBSTETRICS & GYNECOLOGY","Score":null,"Total":0}
引用次数: 0

摘要

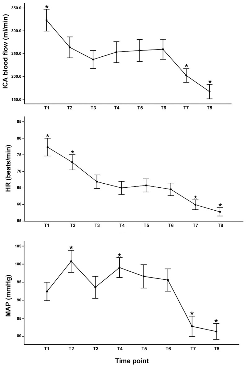
目的:颈内动脉(ICA)血流减少可引起脑灌注不足,增加术中或术后脑缺血的风险。在腹腔镜手术中,体位改变和气腹可能进一步损害ICA血流动力学。本研究旨在评估术中体位转换对妇科腹腔镜手术患者ICA血流的影响。方法:采用单中心、前瞻性、非随机观察性研究。在术中8个时间点测量ICA血流量、心率(HR)和平均动脉压(MAP):醒着到达手术台时(T1)、麻醉诱导后仰卧位(T2)、气腹后仰卧位(T3)、即刻置于Trendelenburg位(T4)、Trendelenburg位后10分钟(T5)和20分钟(T6)、恢复仰卧位(T7)和手术结束时(T8)。结果:本研究共纳入79例患者。与T1相比,T2时ICA血流量显著减少(263.8±11.4 vs 323.5±12.0 mL/min, p < 0.001), T3时进一步减少(237.2±9.8 vs 323.5±12.0 mL/min [T1], p < 0.001, vs T1)。从T4到T6无统计学意义的变化。从Trendelenburg睡位过渡到仰卧位(T7)后,ICA血流量进一步降低(202.1±7.5 vs 237.2±9.8 mL/min, p = 0.004),同时HR(60.0±0.7 vs 66.9±1.0 beats/min, p < 0.001)和MAP(82.8±12.4 vs 93.6±13.5 mmHg, p < 0.001)降低。结论:妇科腹腔镜手术术中体位转换与ICA血流波动有关。从Trendelenburg睡姿恢复到仰卧位导致ICA血流、HR和MAP明显减少。临床试验注册:https://www.chictr.org.cn/showproj.html?proj=178094,标识符:ChiCTR2200065104,注册于2022年10月27日。
本文章由计算机程序翻译,如有差异,请以英文原文为准。

Impact of Intraoperative Postural Transitions on Internal Carotid Artery Blood Flow During Gynecologic Laparoscopic Surgery.

Impact of Intraoperative Postural Transitions on Internal Carotid Artery Blood Flow During Gynecologic Laparoscopic Surgery.

Impact of Intraoperative Postural Transitions on Internal Carotid Artery Blood Flow During Gynecologic Laparoscopic Surgery.

Objective: Reduced internal carotid artery (ICA) blood flow can cause cerebral hypoperfusion, increasing the risk of intraoperative or postoperative cerebral ischemia. In laparoscopic surgery, postural changes and pneumoperitoneum may further compromise ICA hemodynamics. This study aims to evaluate the effects of intraoperative postural transitions on ICA blood flow in patients undergoing gynecologic laparoscopic surgery.

Methods: A single-center, prospective, non-randomized observational study was performed. Measurements of ICA blood flow, heart rate (HR), and mean arterial pressure (MAP) were obtained at eight intraoperative time points: upon arrival to the operating table while awake (T1), post-induction of anesthesia in the supine position (T2), following pneumoperitoneum in the supine position (T3), immediately after placement in the Trendelenburg position (T4), 10 minutes (T5) and 20 minutes (T6) after Trendelenburg positioning, upon return to the supine position (T7), and at the conclusion of surgery (T8).

Results: A total of 79 patients were enrolled in this study. A significant reduction in ICA blood flow was observed at T2 compared to T1 (263.8 ± 11.4 vs 323.5 ± 12.0 mL/min, p < 0.001), with further reduction at T3 (237.2 ± 9.8 vs 323.5 ± 12.0 mL/min [T1], p < 0.001, vs T1). No statistically significant changes were observed from T4 to T6. Upon transitioning from the Trendelenburg position to supine (T7), ICA blood flow further decreased (202.1 ± 7.5 vs 237.2 ± 9.8 mL/min, p = 0.004), accompanied by reductions in HR (60.0 ± 0.7 vs 66.9 ± 1.0 beats/min, p < 0.001) and MAP (82.8 ± 12.4 vs 93.6 ± 13.5 mmHg, p < 0.001).

Conclusion: Intraoperative postural transitions during gynecologic laparoscopic surgery are associated with fluctuations in ICA blood flow. The return from the Trendelenburg to the supine position results in a marked decrease in ICA blood flow, HR, and MAP.

Clinical trial registration: https://www.chictr.org.cn/showproj.html?proj=178094, Identifier: ChiCTR2200065104, Registered October 27, 2022.

求助全文
通过发布文献求助,成功后即可免费获取论文全文。 去求助
来源期刊
International Journal of Women's Health
International Journal of Women's Health OBSTETRICS & GYNECOLOGY-
CiteScore
3.70
自引率
0.00%
发文量
194
审稿时长
16 weeks
期刊介绍: International Journal of Women''s Health is an international, peer-reviewed, open access, online journal. Publishing original research, reports, editorials, reviews and commentaries on all aspects of women''s healthcare including gynecology, obstetrics, and breast cancer. Subject areas include: Chronic conditions including cancers of various organs specific and not specific to women Migraine, headaches, arthritis, osteoporosis Endocrine and autoimmune syndromes - asthma, multiple sclerosis, lupus, diabetes Sexual and reproductive health including fertility patterns and emerging technologies to address infertility Infectious disease with chronic sequelae including HIV/AIDS, HPV, PID, and other STDs Psychological and psychosocial conditions - depression across the life span, substance abuse, domestic violence Health maintenance among aging females - factors affecting the quality of life including physical, social and mental issues Avenues for health promotion and disease prevention across the life span Male vs female incidence comparisons for conditions that affect both genders.
×
引用
GB/T 7714-2015
复制
MLA
复制
APA
复制
导出至
BibTeX EndNote RefMan NoteFirst NoteExpress
×
提示
您的信息不完整,为了账户安全,请先补充。
现在去补充
×
提示
您因"违规操作"
具体请查看互助需知
我知道了
×
提示
确定
请完成安全验证×
copy
已复制链接
快去分享给好友吧!
我知道了
右上角分享
点击右上角分享
0
联系我们:info@booksci.cn Book学术提供免费学术资源搜索服务,方便国内外学者检索中英文文献。致力于提供最便捷和优质的服务体验。 Copyright © 2023 布克学术 All rights reserved.
京ICP备2023020795号-1
ghs 京公网安备 11010802042870号
Book学术文献互助
Book学术文献互助群
群 号:604180095
Book学术官方微信