钴纳米膜作为自旋杂化超导体-铁磁结构组成部分的磁性建模。

IF 2.7 4区 材料科学 Q3 MATERIALS SCIENCE, MULTIDISCIPLINARY
Beilstein Journal of Nanotechnology Pub Date : 2025-09-08 eCollection Date: 2025-01-01 DOI:10.3762/bjnano.16.110
Aleksey Fedotov, Olesya Severyukhina, Anastasia Salomatina, Anatolie Sidorenko
{"title":"钴纳米膜作为自旋杂化超导体-铁磁结构组成部分的磁性建模。","authors":"Aleksey Fedotov, Olesya Severyukhina, Anastasia Salomatina, Anatolie Sidorenko","doi":"10.3762/bjnano.16.110","DOIUrl":null,"url":null,"abstract":"<p><p>The paper presents a mathematical model for studying the magnetic behavior of atoms, which takes into account spin and interatomic interactions. Two problems were solved by means of mathematical modeling. At the first stage, the problem of modeling a small nanoscale system (500 atoms) consisting of cobalt atoms was solved. The purpose of this stage of computational experiment was to check the convergence of the solution and compare the obtained data with the results of other studies. The performed calculations and satisfactory correspondence to the previously obtained data confirmed the adequacy of the applied mathematical model. The second stage of numerical studies was devoted to the analysis of the magnetic behavior of cobalt nanofilms of different thicknesses. It was shown that the film thickness has a significant influence on the magnetic parameters of the modeled nanoscale systems. It was found that the magnetic energy and magnetization norm of the system change in a nonlinear manner with increasing number of crystalline layers of the nanofilm. The peaks found on the graph of the magnetization rate change can be caused by surface effects in thin films and the formation of Neel domain walls.</p>","PeriodicalId":8802,"journal":{"name":"Beilstein Journal of Nanotechnology","volume":"16 ","pages":"1557-1566"},"PeriodicalIF":2.7000,"publicationDate":"2025-09-08","publicationTypes":"Journal Article","fieldsOfStudy":null,"isOpenAccess":false,"openAccessPdf":"https://www.ncbi.nlm.nih.gov/pmc/articles/PMC12437564/pdf/","citationCount":"0","resultStr":"{\"title\":\"Modeling magnetic properties of cobalt nanofilms used as a component of spin hybrid superconductor-ferromagnetic structures.\",\"authors\":\"Aleksey Fedotov, Olesya Severyukhina, Anastasia Salomatina, Anatolie Sidorenko\",\"doi\":\"10.3762/bjnano.16.110\",\"DOIUrl\":null,\"url\":null,\"abstract\":\"<p><p>The paper presents a mathematical model for studying the magnetic behavior of atoms, which takes into account spin and interatomic interactions. Two problems were solved by means of mathematical modeling. At the first stage, the problem of modeling a small nanoscale system (500 atoms) consisting of cobalt atoms was solved. The purpose of this stage of computational experiment was to check the convergence of the solution and compare the obtained data with the results of other studies. The performed calculations and satisfactory correspondence to the previously obtained data confirmed the adequacy of the applied mathematical model. The second stage of numerical studies was devoted to the analysis of the magnetic behavior of cobalt nanofilms of different thicknesses. It was shown that the film thickness has a significant influence on the magnetic parameters of the modeled nanoscale systems. It was found that the magnetic energy and magnetization norm of the system change in a nonlinear manner with increasing number of crystalline layers of the nanofilm. The peaks found on the graph of the magnetization rate change can be caused by surface effects in thin films and the formation of Neel domain walls.</p>\",\"PeriodicalId\":8802,\"journal\":{\"name\":\"Beilstein Journal of Nanotechnology\",\"volume\":\"16 \",\"pages\":\"1557-1566\"},\"PeriodicalIF\":2.7000,\"publicationDate\":\"2025-09-08\",\"publicationTypes\":\"Journal Article\",\"fieldsOfStudy\":null,\"isOpenAccess\":false,\"openAccessPdf\":\"https://www.ncbi.nlm.nih.gov/pmc/articles/PMC12437564/pdf/\",\"citationCount\":\"0\",\"resultStr\":null,\"platform\":\"Semanticscholar\",\"paperid\":null,\"PeriodicalName\":\"Beilstein Journal of Nanotechnology\",\"FirstCategoryId\":\"88\",\"ListUrlMain\":\"https://doi.org/10.3762/bjnano.16.110\",\"RegionNum\":4,\"RegionCategory\":\"材料科学\",\"ArticlePicture\":[],\"TitleCN\":null,\"AbstractTextCN\":null,\"PMCID\":null,\"EPubDate\":\"2025/1/1 0:00:00\",\"PubModel\":\"eCollection\",\"JCR\":\"Q3\",\"JCRName\":\"MATERIALS SCIENCE, MULTIDISCIPLINARY\",\"Score\":null,\"Total\":0}","platform":"Semanticscholar","paperid":null,"PeriodicalName":"Beilstein Journal of Nanotechnology","FirstCategoryId":"88","ListUrlMain":"https://doi.org/10.3762/bjnano.16.110","RegionNum":4,"RegionCategory":"材料科学","ArticlePicture":[],"TitleCN":null,"AbstractTextCN":null,"PMCID":null,"EPubDate":"2025/1/1 0:00:00","PubModel":"eCollection","JCR":"Q3","JCRName":"MATERIALS SCIENCE, MULTIDISCIPLINARY","Score":null,"Total":0}
引用次数: 0

摘要

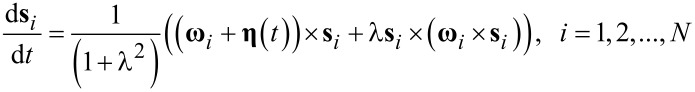
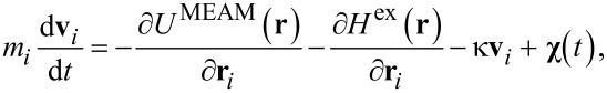
本文提出了一个考虑自旋和原子间相互作用的研究原子磁性行为的数学模型。用数学建模的方法解决了两个问题。在第一阶段,解决了由钴原子组成的小型纳米级(500个原子)系统的建模问题。这一阶段计算实验的目的是为了检验解的收敛性,并将得到的数据与其他研究的结果进行比较。所进行的计算和与先前获得的数据的满意对应证实了应用数学模型的充分性。数值研究的第二阶段致力于分析不同厚度钴纳米膜的磁性行为。结果表明,薄膜厚度对模型纳米体系的磁性参数有显著影响。研究发现,随着纳米膜晶层数的增加,系统的磁能和磁化范数呈非线性变化。在磁化率变化率图上发现的峰可以由薄膜中的表面效应和尼尔畴壁的形成引起。
本文章由计算机程序翻译,如有差异,请以英文原文为准。

Modeling magnetic properties of cobalt nanofilms used as a component of spin hybrid superconductor-ferromagnetic structures.

Modeling magnetic properties of cobalt nanofilms used as a component of spin hybrid superconductor-ferromagnetic structures.

Modeling magnetic properties of cobalt nanofilms used as a component of spin hybrid superconductor-ferromagnetic structures.

Modeling magnetic properties of cobalt nanofilms used as a component of spin hybrid superconductor-ferromagnetic structures.

The paper presents a mathematical model for studying the magnetic behavior of atoms, which takes into account spin and interatomic interactions. Two problems were solved by means of mathematical modeling. At the first stage, the problem of modeling a small nanoscale system (500 atoms) consisting of cobalt atoms was solved. The purpose of this stage of computational experiment was to check the convergence of the solution and compare the obtained data with the results of other studies. The performed calculations and satisfactory correspondence to the previously obtained data confirmed the adequacy of the applied mathematical model. The second stage of numerical studies was devoted to the analysis of the magnetic behavior of cobalt nanofilms of different thicknesses. It was shown that the film thickness has a significant influence on the magnetic parameters of the modeled nanoscale systems. It was found that the magnetic energy and magnetization norm of the system change in a nonlinear manner with increasing number of crystalline layers of the nanofilm. The peaks found on the graph of the magnetization rate change can be caused by surface effects in thin films and the formation of Neel domain walls.

求助全文
通过发布文献求助,成功后即可免费获取论文全文。 去求助
来源期刊
Beilstein Journal of Nanotechnology
Beilstein Journal of Nanotechnology NANOSCIENCE & NANOTECHNOLOGY-MATERIALS SCIENCE, MULTIDISCIPLINARY
CiteScore
5.70
自引率
3.20%
发文量
109
审稿时长
2 months
期刊介绍: The Beilstein Journal of Nanotechnology is an international, peer-reviewed, Open Access journal. It provides a unique platform for rapid publication without any charges (free for author and reader) – Platinum Open Access. The content is freely accessible 365 days a year to any user worldwide. Articles are available online immediately upon publication and are publicly archived in all major repositories. In addition, it provides a platform for publishing thematic issues (theme-based collections of articles) on topical issues in nanoscience and nanotechnology. The journal is published and completely funded by the Beilstein-Institut, a non-profit foundation located in Frankfurt am Main, Germany. The editor-in-chief is Professor Thomas Schimmel – Karlsruhe Institute of Technology. He is supported by more than 20 associate editors who are responsible for a particular subject area within the scope of the journal.
×
引用
GB/T 7714-2015
复制
MLA
复制
APA
复制
导出至
BibTeX EndNote RefMan NoteFirst NoteExpress
×
提示
您的信息不完整,为了账户安全,请先补充。
现在去补充
×
提示
您因"违规操作"
具体请查看互助需知
我知道了
×
提示
确定
请完成安全验证×
copy
已复制链接
快去分享给好友吧!
我知道了
右上角分享
点击右上角分享
0
联系我们:info@booksci.cn Book学术提供免费学术资源搜索服务,方便国内外学者检索中英文文献。致力于提供最便捷和优质的服务体验。 Copyright © 2023 布克学术 All rights reserved.
京ICP备2023020795号-1
ghs 京公网安备 11010802042870号
Book学术文献互助
Book学术文献互助群
群 号:604180095
Book学术官方微信