呼吸系统疾病高发:一项基于人群的生态研究,塞尔维亚,2008-2019。

IF 2
José Rafael Soares da Silva, Rodrigo Gomes de Arruda, Bárbara de Oliveira Silva, Erika da Silva Bezerra de Menezes, Cinthia Martins Menino Diniz, João Pedro Alves Gomes, Breno Caldas de Araújo, Moacyr Jesus Barreto de Melo Rêgo, Maira Galdino da Rocha Pitta, Michelly Cristiny Pereira
{"title":"呼吸系统疾病高发:一项基于人群的生态研究,塞尔维亚,2008-2019。","authors":"José Rafael Soares da Silva, Rodrigo Gomes de Arruda, Bárbara de Oliveira Silva, Erika da Silva Bezerra de Menezes, Cinthia Martins Menino Diniz, João Pedro Alves Gomes, Breno Caldas de Araújo, Moacyr Jesus Barreto de Melo Rêgo, Maira Galdino da Rocha Pitta, Michelly Cristiny Pereira","doi":"10.1590/S2237-96222025v34e20240519.en","DOIUrl":null,"url":null,"abstract":"<p><strong>Objective: </strong>To investigate the prevalence and mortality of respiratory diseases between 2008 and 2019 in municipalities with gypsum industry activity in the Sertão do Araripe region, Pernambuco, Brazil.</p><p><strong>Methods: </strong>This was a population-based ecological study using data extracted from hospital and mortality information systems. Ten municipalities from the gypsum production hub were compared to other municipalities in Pernambuco that do not have gypsum industry activity. Prevalence and mortality rates were calculated per 100,000 and 1,000 inhabitants and presented by mean values (standard deviation) for chronic obstructive pulmonary disease, asthma, acute bronchitis, and pneumonia. Pearson's correlation tests, Mann-Whitney U tests, and multiple linear regression were performed to assess the relationship between gypsum industry activity and respiratory diseases.</p><p><strong>Results: </strong>During the study period, 17,630 cases of respiratory diseases were recorded, with a mean prevalence of 454.74 (147.16) per 100,000 inhabitants and a mortality rate of 0.34 (0.08) per 1,000 inhabitants. Pneumonia accounted for 12,680 hospitalizations, with a prevalence of 431.20 (173.04) per 100,000 inhabitants, being most frequent in Ouricuri (543.08), Ipubi (409.93), and Moreilândia (404.80). A higher prevalence of pneumonia was observed in municipalities within the gypsum production hub (p-value 0.007). A positive correlation was found between respiratory diseases and the hospital bed occupancy rate (r 0.24; p-value<0.050), and a negative correlation with per capita public health expenditures. There was a significant association between the presence of the gypsum industry and pneumonia (p-value<0.001).</p><p><strong>Conclusion: </strong>The gypsum industry's activity is associated with the prevalence of respiratory diseases in the region, with a particular emphasis on the high rates of pneumonia.</p>","PeriodicalId":520611,"journal":{"name":"Epidemiologia e servicos de saude : revista do Sistema Unico de Saude do Brasil","volume":"34 ","pages":"e20240519"},"PeriodicalIF":2.0000,"publicationDate":"2025-09-15","publicationTypes":"Journal Article","fieldsOfStudy":null,"isOpenAccess":false,"openAccessPdf":"https://www.ncbi.nlm.nih.gov/pmc/articles/PMC12435955/pdf/","citationCount":"0","resultStr":"{\"title\":\"High prevalence of respiratory diseases: a population-based ecological study, Sertão do Araripe, 2008-2019.\",\"authors\":\"José Rafael Soares da Silva, Rodrigo Gomes de Arruda, Bárbara de Oliveira Silva, Erika da Silva Bezerra de Menezes, Cinthia Martins Menino Diniz, João Pedro Alves Gomes, Breno Caldas de Araújo, Moacyr Jesus Barreto de Melo Rêgo, Maira Galdino da Rocha Pitta, Michelly Cristiny Pereira\",\"doi\":\"10.1590/S2237-96222025v34e20240519.en\",\"DOIUrl\":null,\"url\":null,\"abstract\":\"<p><strong>Objective: </strong>To investigate the prevalence and mortality of respiratory diseases between 2008 and 2019 in municipalities with gypsum industry activity in the Sertão do Araripe region, Pernambuco, Brazil.</p><p><strong>Methods: </strong>This was a population-based ecological study using data extracted from hospital and mortality information systems. Ten municipalities from the gypsum production hub were compared to other municipalities in Pernambuco that do not have gypsum industry activity. Prevalence and mortality rates were calculated per 100,000 and 1,000 inhabitants and presented by mean values (standard deviation) for chronic obstructive pulmonary disease, asthma, acute bronchitis, and pneumonia. Pearson's correlation tests, Mann-Whitney U tests, and multiple linear regression were performed to assess the relationship between gypsum industry activity and respiratory diseases.</p><p><strong>Results: </strong>During the study period, 17,630 cases of respiratory diseases were recorded, with a mean prevalence of 454.74 (147.16) per 100,000 inhabitants and a mortality rate of 0.34 (0.08) per 1,000 inhabitants. Pneumonia accounted for 12,680 hospitalizations, with a prevalence of 431.20 (173.04) per 100,000 inhabitants, being most frequent in Ouricuri (543.08), Ipubi (409.93), and Moreilândia (404.80). A higher prevalence of pneumonia was observed in municipalities within the gypsum production hub (p-value 0.007). A positive correlation was found between respiratory diseases and the hospital bed occupancy rate (r 0.24; p-value<0.050), and a negative correlation with per capita public health expenditures. There was a significant association between the presence of the gypsum industry and pneumonia (p-value<0.001).</p><p><strong>Conclusion: </strong>The gypsum industry's activity is associated with the prevalence of respiratory diseases in the region, with a particular emphasis on the high rates of pneumonia.</p>\",\"PeriodicalId\":520611,\"journal\":{\"name\":\"Epidemiologia e servicos de saude : revista do Sistema Unico de Saude do Brasil\",\"volume\":\"34 \",\"pages\":\"e20240519\"},\"PeriodicalIF\":2.0000,\"publicationDate\":\"2025-09-15\",\"publicationTypes\":\"Journal Article\",\"fieldsOfStudy\":null,\"isOpenAccess\":false,\"openAccessPdf\":\"https://www.ncbi.nlm.nih.gov/pmc/articles/PMC12435955/pdf/\",\"citationCount\":\"0\",\"resultStr\":null,\"platform\":\"Semanticscholar\",\"paperid\":null,\"PeriodicalName\":\"Epidemiologia e servicos de saude : revista do Sistema Unico de Saude do Brasil\",\"FirstCategoryId\":\"1085\",\"ListUrlMain\":\"https://doi.org/10.1590/S2237-96222025v34e20240519.en\",\"RegionNum\":0,\"RegionCategory\":null,\"ArticlePicture\":[],\"TitleCN\":null,\"AbstractTextCN\":null,\"PMCID\":null,\"EPubDate\":\"2025/1/1 0:00:00\",\"PubModel\":\"eCollection\",\"JCR\":\"\",\"JCRName\":\"\",\"Score\":null,\"Total\":0}","platform":"Semanticscholar","paperid":null,"PeriodicalName":"Epidemiologia e servicos de saude : revista do Sistema Unico de Saude do Brasil","FirstCategoryId":"1085","ListUrlMain":"https://doi.org/10.1590/S2237-96222025v34e20240519.en","RegionNum":0,"RegionCategory":null,"ArticlePicture":[],"TitleCN":null,"AbstractTextCN":null,"PMCID":null,"EPubDate":"2025/1/1 0:00:00","PubModel":"eCollection","JCR":"","JCRName":"","Score":null,"Total":0}
引用次数: 0

摘要

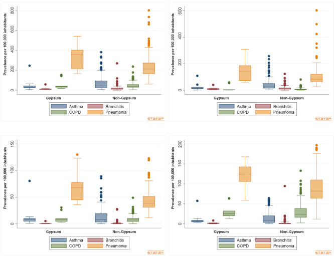
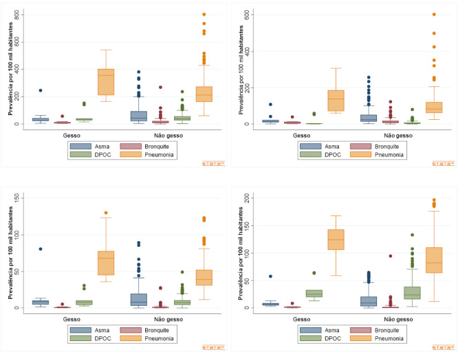
目的:调查2008 - 2019年巴西伯南布哥州sert do Araripe地区石膏工业有活动的城市呼吸系统疾病的患病率和死亡率。方法:这是一项基于人群的生态学研究,使用从医院和死亡率信息系统中提取的数据。来自石膏生产中心的10个城市与伯南布哥没有石膏工业活动的其他城市进行了比较。患病率和死亡率分别计算为每10万人和每1,000人,并以慢性阻塞性肺病、哮喘、急性支气管炎和肺炎的平均值(标准偏差)表示。采用Pearson相关检验、Mann-Whitney U检验和多元线性回归来评估石膏工业活动与呼吸系统疾病之间的关系。结果:在研究期间,记录了17,630例呼吸系统疾病,平均患病率为每100,000居民454.74例(147.16例),死亡率为每1,000居民0.34例(0.08例)。肺炎住院人数为12,680人,患病率为每10万居民431.20人(173.04人),最常见的是Ouricuri(543.08人)、Ipubi(409.93人)和moreil印度(404.80人)。石膏生产中心城市的肺炎患病率较高(p值0.007)。呼吸道疾病与医院床位占用率呈正相关(r 0.24; p值)。结论:石膏工业的活跃程度与该地区呼吸道疾病的患病率有关,特别是肺炎的高发率。
本文章由计算机程序翻译,如有差异,请以英文原文为准。

High prevalence of respiratory diseases: a population-based ecological study, Sertão do Araripe, 2008-2019.

High prevalence of respiratory diseases: a population-based ecological study, Sertão do Araripe, 2008-2019.

High prevalence of respiratory diseases: a population-based ecological study, Sertão do Araripe, 2008-2019.

High prevalence of respiratory diseases: a population-based ecological study, Sertão do Araripe, 2008-2019.

Objective: To investigate the prevalence and mortality of respiratory diseases between 2008 and 2019 in municipalities with gypsum industry activity in the Sertão do Araripe region, Pernambuco, Brazil.

Methods: This was a population-based ecological study using data extracted from hospital and mortality information systems. Ten municipalities from the gypsum production hub were compared to other municipalities in Pernambuco that do not have gypsum industry activity. Prevalence and mortality rates were calculated per 100,000 and 1,000 inhabitants and presented by mean values (standard deviation) for chronic obstructive pulmonary disease, asthma, acute bronchitis, and pneumonia. Pearson's correlation tests, Mann-Whitney U tests, and multiple linear regression were performed to assess the relationship between gypsum industry activity and respiratory diseases.

Results: During the study period, 17,630 cases of respiratory diseases were recorded, with a mean prevalence of 454.74 (147.16) per 100,000 inhabitants and a mortality rate of 0.34 (0.08) per 1,000 inhabitants. Pneumonia accounted for 12,680 hospitalizations, with a prevalence of 431.20 (173.04) per 100,000 inhabitants, being most frequent in Ouricuri (543.08), Ipubi (409.93), and Moreilândia (404.80). A higher prevalence of pneumonia was observed in municipalities within the gypsum production hub (p-value 0.007). A positive correlation was found between respiratory diseases and the hospital bed occupancy rate (r 0.24; p-value<0.050), and a negative correlation with per capita public health expenditures. There was a significant association between the presence of the gypsum industry and pneumonia (p-value<0.001).

Conclusion: The gypsum industry's activity is associated with the prevalence of respiratory diseases in the region, with a particular emphasis on the high rates of pneumonia.

求助全文
通过发布文献求助,成功后即可免费获取论文全文。 去求助
来源期刊
自引率
0.00%
发文量
0
×
引用
GB/T 7714-2015
复制
MLA
复制
APA
复制
导出至
BibTeX EndNote RefMan NoteFirst NoteExpress
×
提示
您的信息不完整,为了账户安全,请先补充。
现在去补充
×
提示
您因"违规操作"
具体请查看互助需知
我知道了
×
提示
确定
请完成安全验证×
copy
已复制链接
快去分享给好友吧!
我知道了
右上角分享
点击右上角分享
0
联系我们:info@booksci.cn Book学术提供免费学术资源搜索服务,方便国内外学者检索中英文文献。致力于提供最便捷和优质的服务体验。 Copyright © 2023 布克学术 All rights reserved.
京ICP备2023020795号-1
ghs 京公网安备 11010802042870号
Book学术文献互助
Book学术文献互助群
群 号:604180095
Book学术官方微信