在移动急救服务中接受治疗的用户死亡率分析:一项观察性研究,2019-2020。

IF 2
Erika Fernanda Dos Santos Bezerra Ludwig, Maria do Carmo Fernandez Lourenço Haddad, Mariana Ângela Rossaneis Moreira, Aroldo Gavioli, Lilia de Souza Nogueira, Eleine Aparecida Penha Martins
{"title":"在移动急救服务中接受治疗的用户死亡率分析:一项观察性研究,2019-2020。","authors":"Erika Fernanda Dos Santos Bezerra Ludwig, Maria do Carmo Fernandez Lourenço Haddad, Mariana Ângela Rossaneis Moreira, Aroldo Gavioli, Lilia de Souza Nogueira, Eleine Aparecida Penha Martins","doi":"10.1590/S2237-96222025v34e20240092.en","DOIUrl":null,"url":null,"abstract":"<p><strong>Objective: </strong>To analyze the mortality of users attended by a Mobile Emergency Care Service located in Paraná.</p><p><strong>Methods: </strong>This is a cross-sectional analytical study based on service reports from 2019 and 2020. The Mobile Emergency Care Service covered 21 municipalities, divided into hubs A and B. The dependent variables defined were death and time of care. Survival functions were calculated using the Kaplan-Meier estimator and the log-rank test; hazard ratio (HR) for death, by Cox regression with 95% confidence interval (95%CI).</p><p><strong>Results: </strong>The study evaluated 13,326 instances of care provided. Of these, 246 resulted in death. The risk of death was higher in time-sensitive calls (HR 0.17; 95%CI 0.008; 0.37), in 2020 (HR 2.09; 95%CI 1.39; 3.16), attended by advanced support (HR 21.51; 95%CI 12.61; 36.70) and in Hub B (HR 4.26; 95%CI 2.53; 7.17).</p><p><strong>Conclusion: </strong>Mortality was higher in cases that had a long wait for time-sensitive calls, occurred in less populated regions, and were dealt with by advanced support in 2020.</p>","PeriodicalId":520611,"journal":{"name":"Epidemiologia e servicos de saude : revista do Sistema Unico de Saude do Brasil","volume":"34 ","pages":"e20240092"},"PeriodicalIF":2.0000,"publicationDate":"2025-09-15","publicationTypes":"Journal Article","fieldsOfStudy":null,"isOpenAccess":false,"openAccessPdf":"https://www.ncbi.nlm.nih.gov/pmc/articles/PMC12435964/pdf/","citationCount":"0","resultStr":"{\"title\":\"Analysis of mortality of users treated at a Mobile Emergency Care Service: an observational study, Paraná, 2019-2020.\",\"authors\":\"Erika Fernanda Dos Santos Bezerra Ludwig, Maria do Carmo Fernandez Lourenço Haddad, Mariana Ângela Rossaneis Moreira, Aroldo Gavioli, Lilia de Souza Nogueira, Eleine Aparecida Penha Martins\",\"doi\":\"10.1590/S2237-96222025v34e20240092.en\",\"DOIUrl\":null,\"url\":null,\"abstract\":\"<p><strong>Objective: </strong>To analyze the mortality of users attended by a Mobile Emergency Care Service located in Paraná.</p><p><strong>Methods: </strong>This is a cross-sectional analytical study based on service reports from 2019 and 2020. The Mobile Emergency Care Service covered 21 municipalities, divided into hubs A and B. The dependent variables defined were death and time of care. Survival functions were calculated using the Kaplan-Meier estimator and the log-rank test; hazard ratio (HR) for death, by Cox regression with 95% confidence interval (95%CI).</p><p><strong>Results: </strong>The study evaluated 13,326 instances of care provided. Of these, 246 resulted in death. The risk of death was higher in time-sensitive calls (HR 0.17; 95%CI 0.008; 0.37), in 2020 (HR 2.09; 95%CI 1.39; 3.16), attended by advanced support (HR 21.51; 95%CI 12.61; 36.70) and in Hub B (HR 4.26; 95%CI 2.53; 7.17).</p><p><strong>Conclusion: </strong>Mortality was higher in cases that had a long wait for time-sensitive calls, occurred in less populated regions, and were dealt with by advanced support in 2020.</p>\",\"PeriodicalId\":520611,\"journal\":{\"name\":\"Epidemiologia e servicos de saude : revista do Sistema Unico de Saude do Brasil\",\"volume\":\"34 \",\"pages\":\"e20240092\"},\"PeriodicalIF\":2.0000,\"publicationDate\":\"2025-09-15\",\"publicationTypes\":\"Journal Article\",\"fieldsOfStudy\":null,\"isOpenAccess\":false,\"openAccessPdf\":\"https://www.ncbi.nlm.nih.gov/pmc/articles/PMC12435964/pdf/\",\"citationCount\":\"0\",\"resultStr\":null,\"platform\":\"Semanticscholar\",\"paperid\":null,\"PeriodicalName\":\"Epidemiologia e servicos de saude : revista do Sistema Unico de Saude do Brasil\",\"FirstCategoryId\":\"1085\",\"ListUrlMain\":\"https://doi.org/10.1590/S2237-96222025v34e20240092.en\",\"RegionNum\":0,\"RegionCategory\":null,\"ArticlePicture\":[],\"TitleCN\":null,\"AbstractTextCN\":null,\"PMCID\":null,\"EPubDate\":\"2025/1/1 0:00:00\",\"PubModel\":\"eCollection\",\"JCR\":\"\",\"JCRName\":\"\",\"Score\":null,\"Total\":0}","platform":"Semanticscholar","paperid":null,"PeriodicalName":"Epidemiologia e servicos de saude : revista do Sistema Unico de Saude do Brasil","FirstCategoryId":"1085","ListUrlMain":"https://doi.org/10.1590/S2237-96222025v34e20240092.en","RegionNum":0,"RegionCategory":null,"ArticlePicture":[],"TitleCN":null,"AbstractTextCN":null,"PMCID":null,"EPubDate":"2025/1/1 0:00:00","PubModel":"eCollection","JCR":"","JCRName":"","Score":null,"Total":0}
引用次数: 0

摘要

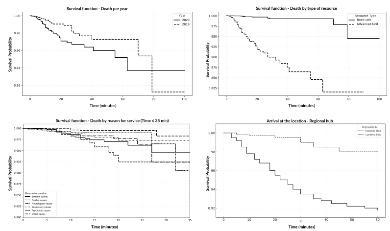
目的:分析位于帕拉纳的移动急救服务的使用者死亡率。方法:基于2019年和2020年的服务报告进行横断面分析研究。流动紧急护理服务覆盖21个城市,分为中心A和中心b。定义的因变量是死亡和护理时间。生存函数计算采用Kaplan-Meier估计和log-rank检验;死亡风险比(HR),采用Cox回归,95%可信区间(95% ci)。结果:该研究评估了13326例提供的护理。其中,246人死亡。在时间敏感的电话中(HR 0.17; 95%CI 0.008; 0.37),在2020年(HR 2.09; 95%CI 1.39; 3.16),参加高级支持(HR 21.51; 95%CI 12.61; 36.70)和Hub B (HR 4.26; 95%CI 2.53; 7.17),死亡风险更高。结论:在2020年,等待时间敏感的呼叫时间较长、发生在人口较少的地区、并得到提前支持的病例死亡率较高。
本文章由计算机程序翻译,如有差异,请以英文原文为准。

Analysis of mortality of users treated at a Mobile Emergency Care Service: an observational study, Paraná, 2019-2020.

Analysis of mortality of users treated at a Mobile Emergency Care Service: an observational study, Paraná, 2019-2020.

Analysis of mortality of users treated at a Mobile Emergency Care Service: an observational study, Paraná, 2019-2020.

Analysis of mortality of users treated at a Mobile Emergency Care Service: an observational study, Paraná, 2019-2020.

Objective: To analyze the mortality of users attended by a Mobile Emergency Care Service located in Paraná.

Methods: This is a cross-sectional analytical study based on service reports from 2019 and 2020. The Mobile Emergency Care Service covered 21 municipalities, divided into hubs A and B. The dependent variables defined were death and time of care. Survival functions were calculated using the Kaplan-Meier estimator and the log-rank test; hazard ratio (HR) for death, by Cox regression with 95% confidence interval (95%CI).

Results: The study evaluated 13,326 instances of care provided. Of these, 246 resulted in death. The risk of death was higher in time-sensitive calls (HR 0.17; 95%CI 0.008; 0.37), in 2020 (HR 2.09; 95%CI 1.39; 3.16), attended by advanced support (HR 21.51; 95%CI 12.61; 36.70) and in Hub B (HR 4.26; 95%CI 2.53; 7.17).

Conclusion: Mortality was higher in cases that had a long wait for time-sensitive calls, occurred in less populated regions, and were dealt with by advanced support in 2020.

求助全文
通过发布文献求助,成功后即可免费获取论文全文。 去求助
来源期刊
自引率
0.00%
发文量
0
×
引用
GB/T 7714-2015
复制
MLA
复制
APA
复制
导出至
BibTeX EndNote RefMan NoteFirst NoteExpress
×
提示
您的信息不完整,为了账户安全,请先补充。
现在去补充
×
提示
您因"违规操作"
具体请查看互助需知
我知道了
×
提示
确定
请完成安全验证×
copy
已复制链接
快去分享给好友吧!
我知道了
右上角分享
点击右上角分享
0
联系我们:info@booksci.cn Book学术提供免费学术资源搜索服务,方便国内外学者检索中英文文献。致力于提供最便捷和优质的服务体验。 Copyright © 2023 布克学术 All rights reserved.
京ICP备2023020795号-1
ghs 京公网安备 11010802042870号
Book学术文献互助
Book学术文献互助群
群 号:604180095
Book学术官方微信