身体畸形障碍的患病率和大流行后的后果:一项荟萃分析的系统综述。

IF 1.2 Q3 PSYCHOLOGY, SOCIAL
Health Psychology Report Pub Date : 2025-05-29 eCollection Date: 2025-01-01 DOI:10.5114/hpr/202321
Jonathan Martínez-Líbano, José Miguel Ahumada Reyes, Andrea Sarmiento Passalacqua, Jair Alier Collao Molina, Jovania Gallegos Bulnes
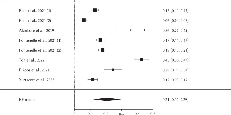
{"title":"身体畸形障碍的患病率和大流行后的后果:一项荟萃分析的系统综述。","authors":"Jonathan Martínez-Líbano, José Miguel Ahumada Reyes, Andrea Sarmiento Passalacqua, Jair Alier Collao Molina, Jovania Gallegos Bulnes","doi":"10.5114/hpr/202321","DOIUrl":null,"url":null,"abstract":"<p><p>Body dysmorphic disorder (BDD) has had a growing impact in Western cultures, manifesting itself in social pressures to achieve physical standards, affecting both men and women. Media influences have magnified these ideals, promoting a standardized body appearance, which has generated an increase in appearance-related disorders. The COVID-19 pandemic exacerbated body concerns. Therefore, we aimed to determine the post-pandemic prevalence and its consequences. For these purposes, a systematic review was carried out based on the PRISMA strategy to identify relevant studies between 2019 and 2023 in databases such as Web of Science and Scopus. Selection criteria were applied, including cross-sectional or longitudinal studies that focused on populations without a previous diagnosis of BDD and used clinical instruments. Of the 52 articles identified, 10 met the inclusion criteria and were selected. Four were used for the systematic review and 6 to carry out the meta-analysis. The prevalence of BDD was high, at 20.8% (6 studies, logOR = 0.208 [95% CI: 0.121-0.294], <i>Z</i> = 4.69, <i>p</i> < .001, <i>I</i> <sup>2</sup> = 98.51%). In conclusion, the restrictions caused by the COVID-19 pandemic such as remaining in isolation, the closure of beauty services, and the increase in the use of social networks and video calls increased anxiety and stress levels in patients diagnosed with BDD and also in people with symptoms related to BDD.</p>","PeriodicalId":44293,"journal":{"name":"Health Psychology Report","volume":"13 3","pages":"215-225"},"PeriodicalIF":1.2000,"publicationDate":"2025-05-29","publicationTypes":"Journal Article","fieldsOfStudy":null,"isOpenAccess":false,"openAccessPdf":"https://www.ncbi.nlm.nih.gov/pmc/articles/PMC12435562/pdf/","citationCount":"0","resultStr":"{\"title\":\"Prevalence and post-pandemic consequences of body dysmorphic disorder: a systematic review with meta-analysis.\",\"authors\":\"Jonathan Martínez-Líbano, José Miguel Ahumada Reyes, Andrea Sarmiento Passalacqua, Jair Alier Collao Molina, Jovania Gallegos Bulnes\",\"doi\":\"10.5114/hpr/202321\",\"DOIUrl\":null,\"url\":null,\"abstract\":\"<p><p>Body dysmorphic disorder (BDD) has had a growing impact in Western cultures, manifesting itself in social pressures to achieve physical standards, affecting both men and women. Media influences have magnified these ideals, promoting a standardized body appearance, which has generated an increase in appearance-related disorders. The COVID-19 pandemic exacerbated body concerns. Therefore, we aimed to determine the post-pandemic prevalence and its consequences. For these purposes, a systematic review was carried out based on the PRISMA strategy to identify relevant studies between 2019 and 2023 in databases such as Web of Science and Scopus. Selection criteria were applied, including cross-sectional or longitudinal studies that focused on populations without a previous diagnosis of BDD and used clinical instruments. Of the 52 articles identified, 10 met the inclusion criteria and were selected. Four were used for the systematic review and 6 to carry out the meta-analysis. The prevalence of BDD was high, at 20.8% (6 studies, logOR = 0.208 [95% CI: 0.121-0.294], <i>Z</i> = 4.69, <i>p</i> < .001, <i>I</i> <sup>2</sup> = 98.51%). In conclusion, the restrictions caused by the COVID-19 pandemic such as remaining in isolation, the closure of beauty services, and the increase in the use of social networks and video calls increased anxiety and stress levels in patients diagnosed with BDD and also in people with symptoms related to BDD.</p>\",\"PeriodicalId\":44293,\"journal\":{\"name\":\"Health Psychology Report\",\"volume\":\"13 3\",\"pages\":\"215-225\"},\"PeriodicalIF\":1.2000,\"publicationDate\":\"2025-05-29\",\"publicationTypes\":\"Journal Article\",\"fieldsOfStudy\":null,\"isOpenAccess\":false,\"openAccessPdf\":\"https://www.ncbi.nlm.nih.gov/pmc/articles/PMC12435562/pdf/\",\"citationCount\":\"0\",\"resultStr\":null,\"platform\":\"Semanticscholar\",\"paperid\":null,\"PeriodicalName\":\"Health Psychology Report\",\"FirstCategoryId\":\"1085\",\"ListUrlMain\":\"https://doi.org/10.5114/hpr/202321\",\"RegionNum\":0,\"RegionCategory\":null,\"ArticlePicture\":[],\"TitleCN\":null,\"AbstractTextCN\":null,\"PMCID\":null,\"EPubDate\":\"2025/1/1 0:00:00\",\"PubModel\":\"eCollection\",\"JCR\":\"Q3\",\"JCRName\":\"PSYCHOLOGY, SOCIAL\",\"Score\":null,\"Total\":0}","platform":"Semanticscholar","paperid":null,"PeriodicalName":"Health Psychology Report","FirstCategoryId":"1085","ListUrlMain":"https://doi.org/10.5114/hpr/202321","RegionNum":0,"RegionCategory":null,"ArticlePicture":[],"TitleCN":null,"AbstractTextCN":null,"PMCID":null,"EPubDate":"2025/1/1 0:00:00","PubModel":"eCollection","JCR":"Q3","JCRName":"PSYCHOLOGY, SOCIAL","Score":null,"Total":0}
引用次数: 0

摘要

身体畸形障碍(BDD)在西方文化中产生了越来越大的影响,表现在达到身体标准的社会压力上,影响着男性和女性。媒体的影响放大了这些理想,促进了标准化的身体外观,这导致了与外表相关的疾病的增加。COVID-19大流行加剧了人们的担忧。因此,我们的目的是确定大流行后的流行程度及其后果。为此,基于PRISMA策略,对Web of Science和Scopus等数据库中2019 - 2023年的相关研究进行了系统评价。应用了选择标准,包括集中于没有BDD诊断和使用临床仪器的人群的横断面或纵向研究。在确定的52篇文章中,有10篇符合纳入标准并入选。其中4份用于系统评价,6份用于元分析。BDD患病率较高,为20.8%(6项研究,logOR = 0.208 [95% CI: 0.121 ~ 0.294], Z = 4.69, p < 0.001, i2 = 98.51%)。总之,COVID-19大流行造成的限制,如保持隔离、关闭美容服务、增加使用社交网络和视频通话,增加了被诊断为BDD的患者以及有BDD相关症状的人的焦虑和压力水平。
本文章由计算机程序翻译,如有差异,请以英文原文为准。

Prevalence and post-pandemic consequences of body dysmorphic disorder: a systematic review with meta-analysis.

Prevalence and post-pandemic consequences of body dysmorphic disorder: a systematic review with meta-analysis.

Prevalence and post-pandemic consequences of body dysmorphic disorder: a systematic review with meta-analysis.

Body dysmorphic disorder (BDD) has had a growing impact in Western cultures, manifesting itself in social pressures to achieve physical standards, affecting both men and women. Media influences have magnified these ideals, promoting a standardized body appearance, which has generated an increase in appearance-related disorders. The COVID-19 pandemic exacerbated body concerns. Therefore, we aimed to determine the post-pandemic prevalence and its consequences. For these purposes, a systematic review was carried out based on the PRISMA strategy to identify relevant studies between 2019 and 2023 in databases such as Web of Science and Scopus. Selection criteria were applied, including cross-sectional or longitudinal studies that focused on populations without a previous diagnosis of BDD and used clinical instruments. Of the 52 articles identified, 10 met the inclusion criteria and were selected. Four were used for the systematic review and 6 to carry out the meta-analysis. The prevalence of BDD was high, at 20.8% (6 studies, logOR = 0.208 [95% CI: 0.121-0.294], Z = 4.69, p < .001, I 2 = 98.51%). In conclusion, the restrictions caused by the COVID-19 pandemic such as remaining in isolation, the closure of beauty services, and the increase in the use of social networks and video calls increased anxiety and stress levels in patients diagnosed with BDD and also in people with symptoms related to BDD.

求助全文
通过发布文献求助,成功后即可免费获取论文全文。 去求助
来源期刊
Health Psychology Report
Health Psychology Report PSYCHOLOGY, SOCIAL-
CiteScore
3.30
自引率
15.00%
发文量
21
审稿时长
8 weeks
×
引用
GB/T 7714-2015
复制
MLA
复制
APA
复制
导出至
BibTeX EndNote RefMan NoteFirst NoteExpress
×
提示
您的信息不完整,为了账户安全,请先补充。
现在去补充
×
提示
您因"违规操作"
具体请查看互助需知
我知道了
×
提示
确定
请完成安全验证×
copy
已复制链接
快去分享给好友吧!
我知道了
右上角分享
点击右上角分享
0
联系我们:info@booksci.cn Book学术提供免费学术资源搜索服务,方便国内外学者检索中英文文献。致力于提供最便捷和优质的服务体验。 Copyright © 2023 布克学术 All rights reserved.
京ICP备2023020795号-1
ghs 京公网安备 11010802042870号
Book学术文献互助
Book学术文献互助群
群 号:604180095
Book学术官方微信