铁指标在肺结核患者贫血中的作用。

Q3 Immunology and Microbiology
Interdisciplinary Perspectives on Infectious Diseases Pub Date : 2025-09-08 eCollection Date: 2025-01-01 DOI:10.1155/ipid/2583917
Bashir Abdrhman Bashir, Hagar M Mohamed, Mohamed M Hassan, Walaa Yasier Ali, Ehssan Moglad, Mohamed A Hussain, Wadah Osman, Duaa Fahad Alsiyud, Gamal A Mohamed, Sabrin R M Ibrahim
{"title":"铁指标在肺结核患者贫血中的作用。","authors":"Bashir Abdrhman Bashir, Hagar M Mohamed, Mohamed M Hassan, Walaa Yasier Ali, Ehssan Moglad, Mohamed A Hussain, Wadah Osman, Duaa Fahad Alsiyud, Gamal A Mohamed, Sabrin R M Ibrahim","doi":"10.1155/ipid/2583917","DOIUrl":null,"url":null,"abstract":"<p><p>Iron indices are pivotal in tuberculosis (TB) owing to their influence on pathogens and immune reactions. Iron indices substantially affect TB progression, resulting in inflammation and anemia. Tuberculosis can induce iron deficiency or excess that may result in compromised immunological function. This study examined the iron index hemoglobin (Hb), serum iron, ferritin, total iron binding capacity (TIBC), unsaturated iron binding capacity (UIBC), and transferrin saturation (TSAT) in PTB patients. Between January 2016 and December 2018, the Port Sudan Tuberculosis Diagnostic Center studied a cohort of 100 adult patients definitively diagnosed with PTB. Additionally, 100 healthy individuals of similar age and sex were chosen as controls for comparative analysis. Among the 100 PTB patients studied, 90% (90/100) had anemia, with an odds ratio of 0.923 (95% CI 0.82-1.04). Anemia of chronic disease (ACD) was the most prevalent type (37%, 31/90). The patients showed diminished levels of HB, serum iron, TIBC, and TSAT compared to the controls, except for ferritin levels. UIBC was higher in patients than in controls, but this difference was not statistically significant. The research concludes that iron metabolism is modified during tuberculosis infection. Consequently, anemia in PTB patients is primarily attributed to ACD rather than iron shortage. The indices of serum iron, TIBC, and UIBC were ineffective in distinguishing between the forms of anemia in PTB patients, as their levels fluctuated in response to the infection. Ferritin served as superior metric for distinguishing between anemia of chronic disease and iron deficiency anemia.</p>","PeriodicalId":39128,"journal":{"name":"Interdisciplinary Perspectives on Infectious Diseases","volume":"2025 ","pages":"2583917"},"PeriodicalIF":0.0000,"publicationDate":"2025-09-08","publicationTypes":"Journal Article","fieldsOfStudy":null,"isOpenAccess":false,"openAccessPdf":"https://www.ncbi.nlm.nih.gov/pmc/articles/PMC12436009/pdf/","citationCount":"0","resultStr":"{\"title\":\"Role of Iron Indices in Anemia in Patients With Pulmonary Tuberculosis.\",\"authors\":\"Bashir Abdrhman Bashir, Hagar M Mohamed, Mohamed M Hassan, Walaa Yasier Ali, Ehssan Moglad, Mohamed A Hussain, Wadah Osman, Duaa Fahad Alsiyud, Gamal A Mohamed, Sabrin R M Ibrahim\",\"doi\":\"10.1155/ipid/2583917\",\"DOIUrl\":null,\"url\":null,\"abstract\":\"<p><p>Iron indices are pivotal in tuberculosis (TB) owing to their influence on pathogens and immune reactions. Iron indices substantially affect TB progression, resulting in inflammation and anemia. Tuberculosis can induce iron deficiency or excess that may result in compromised immunological function. This study examined the iron index hemoglobin (Hb), serum iron, ferritin, total iron binding capacity (TIBC), unsaturated iron binding capacity (UIBC), and transferrin saturation (TSAT) in PTB patients. Between January 2016 and December 2018, the Port Sudan Tuberculosis Diagnostic Center studied a cohort of 100 adult patients definitively diagnosed with PTB. Additionally, 100 healthy individuals of similar age and sex were chosen as controls for comparative analysis. Among the 100 PTB patients studied, 90% (90/100) had anemia, with an odds ratio of 0.923 (95% CI 0.82-1.04). Anemia of chronic disease (ACD) was the most prevalent type (37%, 31/90). The patients showed diminished levels of HB, serum iron, TIBC, and TSAT compared to the controls, except for ferritin levels. UIBC was higher in patients than in controls, but this difference was not statistically significant. The research concludes that iron metabolism is modified during tuberculosis infection. Consequently, anemia in PTB patients is primarily attributed to ACD rather than iron shortage. The indices of serum iron, TIBC, and UIBC were ineffective in distinguishing between the forms of anemia in PTB patients, as their levels fluctuated in response to the infection. Ferritin served as superior metric for distinguishing between anemia of chronic disease and iron deficiency anemia.</p>\",\"PeriodicalId\":39128,\"journal\":{\"name\":\"Interdisciplinary Perspectives on Infectious Diseases\",\"volume\":\"2025 \",\"pages\":\"2583917\"},\"PeriodicalIF\":0.0000,\"publicationDate\":\"2025-09-08\",\"publicationTypes\":\"Journal Article\",\"fieldsOfStudy\":null,\"isOpenAccess\":false,\"openAccessPdf\":\"https://www.ncbi.nlm.nih.gov/pmc/articles/PMC12436009/pdf/\",\"citationCount\":\"0\",\"resultStr\":null,\"platform\":\"Semanticscholar\",\"paperid\":null,\"PeriodicalName\":\"Interdisciplinary Perspectives on Infectious Diseases\",\"FirstCategoryId\":\"1085\",\"ListUrlMain\":\"https://doi.org/10.1155/ipid/2583917\",\"RegionNum\":0,\"RegionCategory\":null,\"ArticlePicture\":[],\"TitleCN\":null,\"AbstractTextCN\":null,\"PMCID\":null,\"EPubDate\":\"2025/1/1 0:00:00\",\"PubModel\":\"eCollection\",\"JCR\":\"Q3\",\"JCRName\":\"Immunology and Microbiology\",\"Score\":null,\"Total\":0}","platform":"Semanticscholar","paperid":null,"PeriodicalName":"Interdisciplinary Perspectives on Infectious Diseases","FirstCategoryId":"1085","ListUrlMain":"https://doi.org/10.1155/ipid/2583917","RegionNum":0,"RegionCategory":null,"ArticlePicture":[],"TitleCN":null,"AbstractTextCN":null,"PMCID":null,"EPubDate":"2025/1/1 0:00:00","PubModel":"eCollection","JCR":"Q3","JCRName":"Immunology and Microbiology","Score":null,"Total":0}
引用次数: 0

摘要

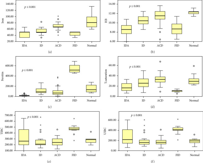
铁指标对结核(TB)病原体和免疫反应有重要影响。铁指数显著影响结核进展,导致炎症和贫血。结核病可引起铁缺乏或过量,从而导致免疫功能受损。本研究检测了肺结核患者的铁指数血红蛋白(Hb)、血清铁、铁蛋白、总铁结合能力(TIBC)、不饱和铁结合能力(UIBC)和转铁蛋白饱和度(TSAT)。2016年1月至2018年12月,苏丹港结核病诊断中心研究了100名确诊为肺结核的成年患者。另外,选取100名年龄、性别相近的健康个体作为对照进行比较分析。在所研究的100例肺结核患者中,90%(90/100)有贫血,优势比为0.923 (95% CI 0.82-1.04)。慢性疾病贫血(ACD)是最常见的类型(37%,31/90)。除铁蛋白水平外,患者HB、血清铁、TIBC和TSAT水平均低于对照组。患者的UIBC高于对照组,但差异无统计学意义。研究得出结论,结核感染期间铁代谢发生改变。因此,PTB患者的贫血主要归因于ACD而不是缺铁。血清铁、TIBC和UIBC指标在区分肺结核患者的贫血形式方面是无效的,因为它们的水平随感染而波动。铁蛋白作为区分慢性病性贫血和缺铁性贫血的优越指标。
本文章由计算机程序翻译,如有差异,请以英文原文为准。

Role of Iron Indices in Anemia in Patients With Pulmonary Tuberculosis.

Role of Iron Indices in Anemia in Patients With Pulmonary Tuberculosis.

Role of Iron Indices in Anemia in Patients With Pulmonary Tuberculosis.

Role of Iron Indices in Anemia in Patients With Pulmonary Tuberculosis.

Iron indices are pivotal in tuberculosis (TB) owing to their influence on pathogens and immune reactions. Iron indices substantially affect TB progression, resulting in inflammation and anemia. Tuberculosis can induce iron deficiency or excess that may result in compromised immunological function. This study examined the iron index hemoglobin (Hb), serum iron, ferritin, total iron binding capacity (TIBC), unsaturated iron binding capacity (UIBC), and transferrin saturation (TSAT) in PTB patients. Between January 2016 and December 2018, the Port Sudan Tuberculosis Diagnostic Center studied a cohort of 100 adult patients definitively diagnosed with PTB. Additionally, 100 healthy individuals of similar age and sex were chosen as controls for comparative analysis. Among the 100 PTB patients studied, 90% (90/100) had anemia, with an odds ratio of 0.923 (95% CI 0.82-1.04). Anemia of chronic disease (ACD) was the most prevalent type (37%, 31/90). The patients showed diminished levels of HB, serum iron, TIBC, and TSAT compared to the controls, except for ferritin levels. UIBC was higher in patients than in controls, but this difference was not statistically significant. The research concludes that iron metabolism is modified during tuberculosis infection. Consequently, anemia in PTB patients is primarily attributed to ACD rather than iron shortage. The indices of serum iron, TIBC, and UIBC were ineffective in distinguishing between the forms of anemia in PTB patients, as their levels fluctuated in response to the infection. Ferritin served as superior metric for distinguishing between anemia of chronic disease and iron deficiency anemia.

求助全文
通过发布文献求助,成功后即可免费获取论文全文。 去求助
来源期刊
CiteScore
4.10
自引率
0.00%
发文量
51
审稿时长
18 weeks
×
引用
GB/T 7714-2015
复制
MLA
复制
APA
复制
导出至
BibTeX EndNote RefMan NoteFirst NoteExpress
×
提示
您的信息不完整,为了账户安全,请先补充。
现在去补充
×
提示
您因"违规操作"
具体请查看互助需知
我知道了
×
提示
确定
请完成安全验证×
copy
已复制链接
快去分享给好友吧!
我知道了
右上角分享
点击右上角分享
0
联系我们:info@booksci.cn Book学术提供免费学术资源搜索服务,方便国内外学者检索中英文文献。致力于提供最便捷和优质的服务体验。 Copyright © 2023 布克学术 All rights reserved.
京ICP备2023020795号-1
ghs 京公网安备 11010802042870号
Book学术文献互助
Book学术文献互助群
群 号:604180095
Book学术官方微信