半干旱土壤中分离的甲基杆菌对肯尼亚玉米生长和耐旱性的促进作用。

IF 3.2 Q3 MICROBIOLOGY
International Journal of Microbiology Pub Date : 2025-09-08 eCollection Date: 2025-01-01 DOI:10.1155/ijm/7442350
Emmanuel Ehinmitan, Beenzu Siamalube, Turoop Losenge, Edward Mamati, Patrick Juma, Victoria Ngumi
{"title":"半干旱土壤中分离的甲基杆菌对肯尼亚玉米生长和耐旱性的促进作用。","authors":"Emmanuel Ehinmitan, Beenzu Siamalube, Turoop Losenge, Edward Mamati, Patrick Juma, Victoria Ngumi","doi":"10.1155/ijm/7442350","DOIUrl":null,"url":null,"abstract":"<p><p>Drought significantly impacts crop growth and yield. Advances in agricultural biotechnology have enabled the use of drought-tolerant bacterial strains to mitigate the detrimental effects of drought on crops. This study, conducted during the 2024 dry season in Kiambu County, Kenya, evaluated 100 methylotrophic bacteria isolated from the rhizosphere of maize variety WE-4141 cultivated under severe drought conditions. Isolation was performed via serial dilution using ammonium mineral salt (AMS) medium supplemented with methanol as the sole carbon source, with identification confirmed through 16S rRNA gene sequencing. The isolates were assessed for plant growth-promoting and drought-tolerance properties under varying polyethylene glycol (PEG) 6000-induced osmotic stresses (-0.13, -0.50, -0.75, and -1.3 MPa). Seed priming was used to introduce bacterial inoculants at 10<sup>8</sup> CFU/mL concentration. Under PEG-induced stress, strains K19 and K2 produced the highest quantities of gibberellic acid (GA) and indole acetic acid (IAA), with K2 also showing superior exopolysaccharide (EPS) production at the highest osmotic level. Enhanced biofilm formation was observed under drought conditions compared to controls. Antioxidant enzyme activity correlated positively with increasing PEG concentrations, with K19 exhibiting the highest catalase activity. In planta, drought stress significantly reduced plant growth, with uninoculated controls showing notable decreases in plant height, root, and shoot dry weights. Inoculation with K2 and K19 enhanced maize performance under drought, with their combination yielding the greatest improvements: shoot dry weight increased by 42.0%, root dry weight by 46.2%, and plant height by 65.8% compared to controls. These findings suggest that strains K2 and K19 hold potential as biostimulants for improving maize resilience and productivity under drought conditions and warrant further evaluation through field trials for potential bioformulation development.</p>","PeriodicalId":14098,"journal":{"name":"International Journal of Microbiology","volume":"2025 ","pages":"7442350"},"PeriodicalIF":3.2000,"publicationDate":"2025-09-08","publicationTypes":"Journal Article","fieldsOfStudy":null,"isOpenAccess":false,"openAccessPdf":"https://www.ncbi.nlm.nih.gov/pmc/articles/PMC12436008/pdf/","citationCount":"0","resultStr":"{\"title\":\"<i>Methylobacterium</i> spp. Isolated From Semiarid Soils Promote Growth and Drought Tolerance in Maize in Kenya.\",\"authors\":\"Emmanuel Ehinmitan, Beenzu Siamalube, Turoop Losenge, Edward Mamati, Patrick Juma, Victoria Ngumi\",\"doi\":\"10.1155/ijm/7442350\",\"DOIUrl\":null,\"url\":null,\"abstract\":\"<p><p>Drought significantly impacts crop growth and yield. Advances in agricultural biotechnology have enabled the use of drought-tolerant bacterial strains to mitigate the detrimental effects of drought on crops. This study, conducted during the 2024 dry season in Kiambu County, Kenya, evaluated 100 methylotrophic bacteria isolated from the rhizosphere of maize variety WE-4141 cultivated under severe drought conditions. Isolation was performed via serial dilution using ammonium mineral salt (AMS) medium supplemented with methanol as the sole carbon source, with identification confirmed through 16S rRNA gene sequencing. The isolates were assessed for plant growth-promoting and drought-tolerance properties under varying polyethylene glycol (PEG) 6000-induced osmotic stresses (-0.13, -0.50, -0.75, and -1.3 MPa). Seed priming was used to introduce bacterial inoculants at 10<sup>8</sup> CFU/mL concentration. Under PEG-induced stress, strains K19 and K2 produced the highest quantities of gibberellic acid (GA) and indole acetic acid (IAA), with K2 also showing superior exopolysaccharide (EPS) production at the highest osmotic level. Enhanced biofilm formation was observed under drought conditions compared to controls. Antioxidant enzyme activity correlated positively with increasing PEG concentrations, with K19 exhibiting the highest catalase activity. In planta, drought stress significantly reduced plant growth, with uninoculated controls showing notable decreases in plant height, root, and shoot dry weights. Inoculation with K2 and K19 enhanced maize performance under drought, with their combination yielding the greatest improvements: shoot dry weight increased by 42.0%, root dry weight by 46.2%, and plant height by 65.8% compared to controls. These findings suggest that strains K2 and K19 hold potential as biostimulants for improving maize resilience and productivity under drought conditions and warrant further evaluation through field trials for potential bioformulation development.</p>\",\"PeriodicalId\":14098,\"journal\":{\"name\":\"International Journal of Microbiology\",\"volume\":\"2025 \",\"pages\":\"7442350\"},\"PeriodicalIF\":3.2000,\"publicationDate\":\"2025-09-08\",\"publicationTypes\":\"Journal Article\",\"fieldsOfStudy\":null,\"isOpenAccess\":false,\"openAccessPdf\":\"https://www.ncbi.nlm.nih.gov/pmc/articles/PMC12436008/pdf/\",\"citationCount\":\"0\",\"resultStr\":null,\"platform\":\"Semanticscholar\",\"paperid\":null,\"PeriodicalName\":\"International Journal of Microbiology\",\"FirstCategoryId\":\"1085\",\"ListUrlMain\":\"https://doi.org/10.1155/ijm/7442350\",\"RegionNum\":0,\"RegionCategory\":null,\"ArticlePicture\":[],\"TitleCN\":null,\"AbstractTextCN\":null,\"PMCID\":null,\"EPubDate\":\"2025/1/1 0:00:00\",\"PubModel\":\"eCollection\",\"JCR\":\"Q3\",\"JCRName\":\"MICROBIOLOGY\",\"Score\":null,\"Total\":0}","platform":"Semanticscholar","paperid":null,"PeriodicalName":"International Journal of Microbiology","FirstCategoryId":"1085","ListUrlMain":"https://doi.org/10.1155/ijm/7442350","RegionNum":0,"RegionCategory":null,"ArticlePicture":[],"TitleCN":null,"AbstractTextCN":null,"PMCID":null,"EPubDate":"2025/1/1 0:00:00","PubModel":"eCollection","JCR":"Q3","JCRName":"MICROBIOLOGY","Score":null,"Total":0}
引用次数: 0

摘要

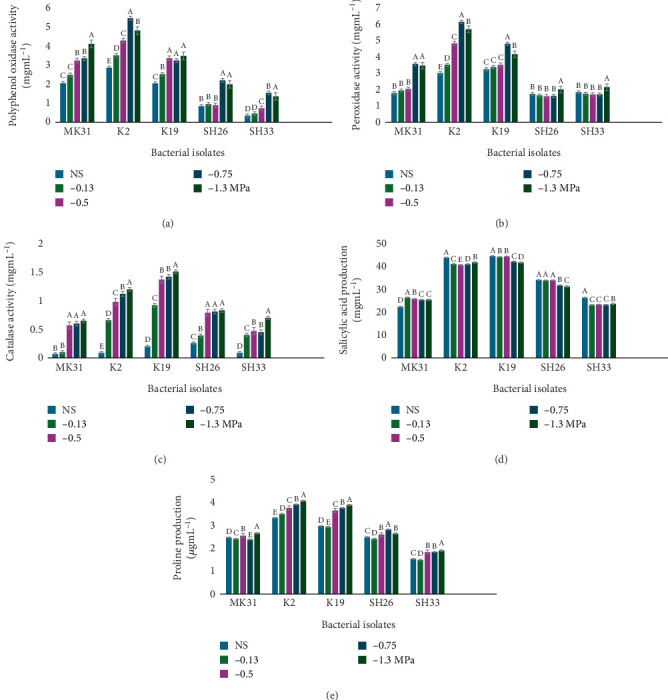
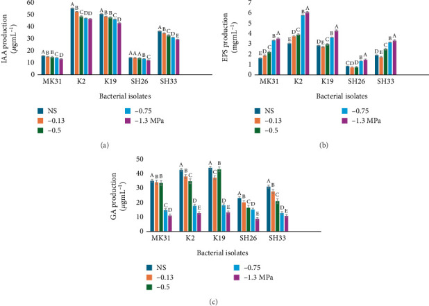
干旱严重影响作物生长和产量。农业生物技术的进步使人们能够利用耐旱菌株减轻干旱对作物的有害影响。该研究于2024年旱季在肯尼亚Kiambu县进行,评估了从严重干旱条件下种植的玉米品种WE-4141根际分离的100种甲基营养细菌。采用以甲醇为唯一碳源的无机铵盐(AMS)培养基连续稀释分离,16S rRNA基因测序鉴定。在不同的聚乙二醇(PEG) 6000诱导的渗透胁迫(-0.13,-0.50,-0.75和-1.3 MPa)下,评估了分离物的植物促生长和耐旱性能。采用种子启动法,以108 CFU/mL的浓度引入细菌接种剂。在peg诱导的胁迫下,菌株K19和K2的赤霉素(GA)和吲哚乙酸(IAA)产量最高,K2在最高渗透水平下的胞外多糖(EPS)产量也较高。与对照相比,干旱条件下生物膜形成增强。抗氧化酶活性与PEG浓度的增加呈正相关,其中K19过氧化氢酶活性最高。在植物中,干旱胁迫显著降低了植株的生长,未接种对照的株高、根和茎干重显著降低。接种K2和K19提高了玉米在干旱条件下的生产性能,与对照相比,它们的组合产量最大,茎干重提高42.0%,根干重提高46.2%,株高提高65.8%。这些发现表明,菌株K2和K19具有作为生物刺激剂提高玉米在干旱条件下的抗旱性和生产力的潜力,值得通过田间试验进一步评估,以开发潜在的生物制剂。
本文章由计算机程序翻译,如有差异,请以英文原文为准。

<i>Methylobacterium</i> spp. Isolated From Semiarid Soils Promote Growth and Drought Tolerance in Maize in Kenya.

<i>Methylobacterium</i> spp. Isolated From Semiarid Soils Promote Growth and Drought Tolerance in Maize in Kenya.

<i>Methylobacterium</i> spp. Isolated From Semiarid Soils Promote Growth and Drought Tolerance in Maize in Kenya.

Methylobacterium spp. Isolated From Semiarid Soils Promote Growth and Drought Tolerance in Maize in Kenya.

Drought significantly impacts crop growth and yield. Advances in agricultural biotechnology have enabled the use of drought-tolerant bacterial strains to mitigate the detrimental effects of drought on crops. This study, conducted during the 2024 dry season in Kiambu County, Kenya, evaluated 100 methylotrophic bacteria isolated from the rhizosphere of maize variety WE-4141 cultivated under severe drought conditions. Isolation was performed via serial dilution using ammonium mineral salt (AMS) medium supplemented with methanol as the sole carbon source, with identification confirmed through 16S rRNA gene sequencing. The isolates were assessed for plant growth-promoting and drought-tolerance properties under varying polyethylene glycol (PEG) 6000-induced osmotic stresses (-0.13, -0.50, -0.75, and -1.3 MPa). Seed priming was used to introduce bacterial inoculants at 108 CFU/mL concentration. Under PEG-induced stress, strains K19 and K2 produced the highest quantities of gibberellic acid (GA) and indole acetic acid (IAA), with K2 also showing superior exopolysaccharide (EPS) production at the highest osmotic level. Enhanced biofilm formation was observed under drought conditions compared to controls. Antioxidant enzyme activity correlated positively with increasing PEG concentrations, with K19 exhibiting the highest catalase activity. In planta, drought stress significantly reduced plant growth, with uninoculated controls showing notable decreases in plant height, root, and shoot dry weights. Inoculation with K2 and K19 enhanced maize performance under drought, with their combination yielding the greatest improvements: shoot dry weight increased by 42.0%, root dry weight by 46.2%, and plant height by 65.8% compared to controls. These findings suggest that strains K2 and K19 hold potential as biostimulants for improving maize resilience and productivity under drought conditions and warrant further evaluation through field trials for potential bioformulation development.

求助全文
通过发布文献求助,成功后即可免费获取论文全文。 去求助
来源期刊
CiteScore
7.90
自引率
0.00%
发文量
57
审稿时长
13 weeks
期刊介绍: International Journal of Microbiology is a peer-reviewed, Open Access journal that publishes original research articles, review articles, and clinical studies on microorganisms and their interaction with hosts and the environment. The journal covers all microbes, including bacteria, fungi, viruses, archaea, and protozoa. Basic science will be considered, as well as medical and applied research.
×
引用
GB/T 7714-2015
复制
MLA
复制
APA
复制
导出至
BibTeX EndNote RefMan NoteFirst NoteExpress
×
提示
您的信息不完整,为了账户安全,请先补充。
现在去补充
×
提示
您因"违规操作"
具体请查看互助需知
我知道了
×
提示
确定
请完成安全验证×
copy
已复制链接
快去分享给好友吧!
我知道了
右上角分享
点击右上角分享
0
联系我们:info@booksci.cn Book学术提供免费学术资源搜索服务,方便国内外学者检索中英文文献。致力于提供最便捷和优质的服务体验。 Copyright © 2023 布克学术 All rights reserved.
京ICP备2023020795号-1
ghs 京公网安备 11010802042870号
Book学术文献互助
Book学术文献互助群
群 号:604180095
Book学术官方微信