混合职业治疗模式对后皮层萎缩患者视觉空间感知和功能技能的影响:五例报告。

IF 2.7
Hsiu-Yun Hsu, Li-Chieh Kuo, Ta-Shen Kuan, Hsiu-Ching Yang, Ming-Chyi Pai
{"title":"混合职业治疗模式对后皮层萎缩患者视觉空间感知和功能技能的影响:五例报告。","authors":"Hsiu-Yun Hsu, Li-Chieh Kuo, Ta-Shen Kuan, Hsiu-Ching Yang, Ming-Chyi Pai","doi":"10.1177/15333175241312664","DOIUrl":null,"url":null,"abstract":"<p><p>Posterior cortical atrophy (PCA) is a neurodegenerative condition primarily characterized by visuospatial deficits. Research on visual, spatial orientation, and functional impairments in PCA patients is limited. This report explores the impact of occupational therapy on 5 PCA cases with severe visuospatial and functional difficulties over 2 years. Patients, diagnosed through neuropsychological assessments and brain imaging, underwent occupational therapy focusing on cognitive remediation and rehabilitation strategies. Interventions included attention to contextual characteristics and errorless learning to promote independence in self-care. Two patients showed notable improvement on the Loewenstein Occupational Therapy Cognitive Assessment, while 4 demonstrated slight functional gains in activities such as grooming, bathing, dressing, and stair navigation. These findings suggest that cognitive stimulation and training can slow the decline in visuospatial skills and improve daily function. Future studies should incorporate a control group receiving standard occupational therapy and evaluate the long-term impact of these interventions on patients with PCA.</p>","PeriodicalId":93865,"journal":{"name":"American journal of Alzheimer's disease and other dementias","volume":"40 ","pages":"15333175241312664"},"PeriodicalIF":2.7000,"publicationDate":"2024-01-01","publicationTypes":"Journal Article","fieldsOfStudy":null,"isOpenAccess":false,"openAccessPdf":"https://www.ncbi.nlm.nih.gov/pmc/articles/PMC12441259/pdf/","citationCount":"0","resultStr":"{\"title\":\"Effects of a Hybrid Model of Occupational Therapy on Visuospatial Perception and Functional Skills for Cases With Posterior Cortical Atrophy: A Five-Case Report.\",\"authors\":\"Hsiu-Yun Hsu, Li-Chieh Kuo, Ta-Shen Kuan, Hsiu-Ching Yang, Ming-Chyi Pai\",\"doi\":\"10.1177/15333175241312664\",\"DOIUrl\":null,\"url\":null,\"abstract\":\"<p><p>Posterior cortical atrophy (PCA) is a neurodegenerative condition primarily characterized by visuospatial deficits. Research on visual, spatial orientation, and functional impairments in PCA patients is limited. This report explores the impact of occupational therapy on 5 PCA cases with severe visuospatial and functional difficulties over 2 years. Patients, diagnosed through neuropsychological assessments and brain imaging, underwent occupational therapy focusing on cognitive remediation and rehabilitation strategies. Interventions included attention to contextual characteristics and errorless learning to promote independence in self-care. Two patients showed notable improvement on the Loewenstein Occupational Therapy Cognitive Assessment, while 4 demonstrated slight functional gains in activities such as grooming, bathing, dressing, and stair navigation. These findings suggest that cognitive stimulation and training can slow the decline in visuospatial skills and improve daily function. Future studies should incorporate a control group receiving standard occupational therapy and evaluate the long-term impact of these interventions on patients with PCA.</p>\",\"PeriodicalId\":93865,\"journal\":{\"name\":\"American journal of Alzheimer's disease and other dementias\",\"volume\":\"40 \",\"pages\":\"15333175241312664\"},\"PeriodicalIF\":2.7000,\"publicationDate\":\"2024-01-01\",\"publicationTypes\":\"Journal Article\",\"fieldsOfStudy\":null,\"isOpenAccess\":false,\"openAccessPdf\":\"https://www.ncbi.nlm.nih.gov/pmc/articles/PMC12441259/pdf/\",\"citationCount\":\"0\",\"resultStr\":null,\"platform\":\"Semanticscholar\",\"paperid\":null,\"PeriodicalName\":\"American journal of Alzheimer's disease and other dementias\",\"FirstCategoryId\":\"1085\",\"ListUrlMain\":\"https://doi.org/10.1177/15333175241312664\",\"RegionNum\":0,\"RegionCategory\":null,\"ArticlePicture\":[],\"TitleCN\":null,\"AbstractTextCN\":null,\"PMCID\":null,\"EPubDate\":\"2025/9/16 0:00:00\",\"PubModel\":\"Epub\",\"JCR\":\"\",\"JCRName\":\"\",\"Score\":null,\"Total\":0}","platform":"Semanticscholar","paperid":null,"PeriodicalName":"American journal of Alzheimer's disease and other dementias","FirstCategoryId":"1085","ListUrlMain":"https://doi.org/10.1177/15333175241312664","RegionNum":0,"RegionCategory":null,"ArticlePicture":[],"TitleCN":null,"AbstractTextCN":null,"PMCID":null,"EPubDate":"2025/9/16 0:00:00","PubModel":"Epub","JCR":"","JCRName":"","Score":null,"Total":0}
引用次数: 0

摘要

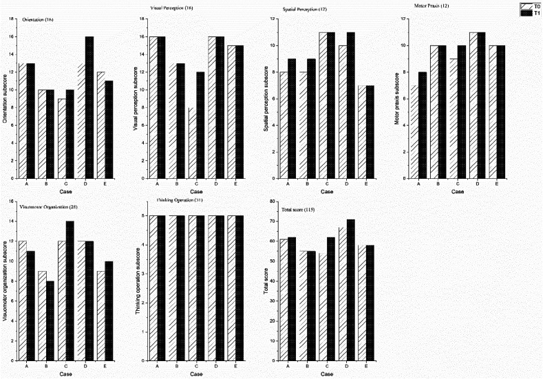
后皮质萎缩(PCA)是一种以视觉空间缺陷为主要特征的神经退行性疾病。对PCA患者的视觉、空间定向和功能障碍的研究是有限的。本报告探讨了职业治疗对5例重度视觉空间和功能困难的PCA患者的影响。通过神经心理学评估和脑成像诊断的患者接受了以认知修复和康复策略为重点的职业治疗。干预措施包括注意情境特征和无误学习以促进自我照顾的独立性。两名患者在Loewenstein职业治疗认知评估中表现出显著改善,而4名患者在梳洗、洗澡、穿衣和走楼梯等活动中表现出轻微的功能改善。这些发现表明,认知刺激和训练可以减缓视觉空间技能的下降,改善日常功能。未来的研究应纳入接受标准职业治疗的对照组,并评估这些干预措施对PCA患者的长期影响。
本文章由计算机程序翻译,如有差异,请以英文原文为准。

Effects of a Hybrid Model of Occupational Therapy on Visuospatial Perception and Functional Skills for Cases With Posterior Cortical Atrophy: A Five-Case Report.

Effects of a Hybrid Model of Occupational Therapy on Visuospatial Perception and Functional Skills for Cases With Posterior Cortical Atrophy: A Five-Case Report.

Effects of a Hybrid Model of Occupational Therapy on Visuospatial Perception and Functional Skills for Cases With Posterior Cortical Atrophy: A Five-Case Report.

Effects of a Hybrid Model of Occupational Therapy on Visuospatial Perception and Functional Skills for Cases With Posterior Cortical Atrophy: A Five-Case Report.

Posterior cortical atrophy (PCA) is a neurodegenerative condition primarily characterized by visuospatial deficits. Research on visual, spatial orientation, and functional impairments in PCA patients is limited. This report explores the impact of occupational therapy on 5 PCA cases with severe visuospatial and functional difficulties over 2 years. Patients, diagnosed through neuropsychological assessments and brain imaging, underwent occupational therapy focusing on cognitive remediation and rehabilitation strategies. Interventions included attention to contextual characteristics and errorless learning to promote independence in self-care. Two patients showed notable improvement on the Loewenstein Occupational Therapy Cognitive Assessment, while 4 demonstrated slight functional gains in activities such as grooming, bathing, dressing, and stair navigation. These findings suggest that cognitive stimulation and training can slow the decline in visuospatial skills and improve daily function. Future studies should incorporate a control group receiving standard occupational therapy and evaluate the long-term impact of these interventions on patients with PCA.

求助全文
通过发布文献求助,成功后即可免费获取论文全文。 去求助
来源期刊
自引率
0.00%
发文量
0
×
引用
GB/T 7714-2015
复制
MLA
复制
APA
复制
导出至
BibTeX EndNote RefMan NoteFirst NoteExpress
×
提示
您的信息不完整,为了账户安全,请先补充。
现在去补充
×
提示
您因"违规操作"
具体请查看互助需知
我知道了
×
提示
确定
请完成安全验证×
copy
已复制链接
快去分享给好友吧!
我知道了
右上角分享
点击右上角分享
0
联系我们:info@booksci.cn Book学术提供免费学术资源搜索服务,方便国内外学者检索中英文文献。致力于提供最便捷和优质的服务体验。 Copyright © 2023 布克学术 All rights reserved.
京ICP备2023020795号-1
ghs 京公网安备 11010802042870号
Book学术文献互助
Book学术文献互助群
群 号:604180095
Book学术官方微信