流行病学中的Petri网。

IF 2.3 4区 数学 Q2 BIOLOGY
Carlos Segovia
{"title":"流行病学中的Petri网。","authors":"Carlos Segovia","doi":"10.1007/s00285-025-02272-3","DOIUrl":null,"url":null,"abstract":"<p><p>This work provides a geometric version of the next-generation matrix method for obtaining the basic reproduction number of an epidemiological model. We exhibit a certain correspondence between any system of ODEs and Petri nets. We observe that any epidemiological model has the basic structures found in the SIR model of Kermack-McKendrick. This means that the basic reproduction number depends only on three substructures inside the Petri net, which are also given by three Petri nets inside, representing the susceptible population, the infection process, and the infected population. The five assumptions of the next-generation matrix method given by van den Driessche-Watmough can be described geometrically using Petri nets. Thus, the next-generation matrix results in a matrix of flows between the infection compartments with a dominant eigenvalue given by the basic reproduction number.</p>","PeriodicalId":50148,"journal":{"name":"Journal of Mathematical Biology","volume":"91 4","pages":"40"},"PeriodicalIF":2.3000,"publicationDate":"2025-09-16","publicationTypes":"Journal Article","fieldsOfStudy":null,"isOpenAccess":false,"openAccessPdf":"https://www.ncbi.nlm.nih.gov/pmc/articles/PMC12441085/pdf/","citationCount":"0","resultStr":"{\"title\":\"Petri nets in epidemiology.\",\"authors\":\"Carlos Segovia\",\"doi\":\"10.1007/s00285-025-02272-3\",\"DOIUrl\":null,\"url\":null,\"abstract\":\"<p><p>This work provides a geometric version of the next-generation matrix method for obtaining the basic reproduction number of an epidemiological model. We exhibit a certain correspondence between any system of ODEs and Petri nets. We observe that any epidemiological model has the basic structures found in the SIR model of Kermack-McKendrick. This means that the basic reproduction number depends only on three substructures inside the Petri net, which are also given by three Petri nets inside, representing the susceptible population, the infection process, and the infected population. The five assumptions of the next-generation matrix method given by van den Driessche-Watmough can be described geometrically using Petri nets. Thus, the next-generation matrix results in a matrix of flows between the infection compartments with a dominant eigenvalue given by the basic reproduction number.</p>\",\"PeriodicalId\":50148,\"journal\":{\"name\":\"Journal of Mathematical Biology\",\"volume\":\"91 4\",\"pages\":\"40\"},\"PeriodicalIF\":2.3000,\"publicationDate\":\"2025-09-16\",\"publicationTypes\":\"Journal Article\",\"fieldsOfStudy\":null,\"isOpenAccess\":false,\"openAccessPdf\":\"https://www.ncbi.nlm.nih.gov/pmc/articles/PMC12441085/pdf/\",\"citationCount\":\"0\",\"resultStr\":null,\"platform\":\"Semanticscholar\",\"paperid\":null,\"PeriodicalName\":\"Journal of Mathematical Biology\",\"FirstCategoryId\":\"100\",\"ListUrlMain\":\"https://doi.org/10.1007/s00285-025-02272-3\",\"RegionNum\":4,\"RegionCategory\":\"数学\",\"ArticlePicture\":[],\"TitleCN\":null,\"AbstractTextCN\":null,\"PMCID\":null,\"EPubDate\":\"\",\"PubModel\":\"\",\"JCR\":\"Q2\",\"JCRName\":\"BIOLOGY\",\"Score\":null,\"Total\":0}","platform":"Semanticscholar","paperid":null,"PeriodicalName":"Journal of Mathematical Biology","FirstCategoryId":"100","ListUrlMain":"https://doi.org/10.1007/s00285-025-02272-3","RegionNum":4,"RegionCategory":"数学","ArticlePicture":[],"TitleCN":null,"AbstractTextCN":null,"PMCID":null,"EPubDate":"","PubModel":"","JCR":"Q2","JCRName":"BIOLOGY","Score":null,"Total":0}
引用次数: 0

摘要

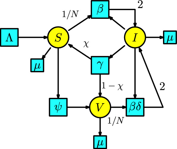
这项工作为获得流行病学模型的基本复制数提供了下一代矩阵方法的几何版本。我们展示了任何ode系统与Petri网之间的某种对应关系。我们观察到,任何流行病学模型都具有在Kermack-McKendrick SIR模型中发现的基本结构。这意味着基本繁殖数仅取决于Petri网内部的三个子结构,这些子结构也由内部的三个Petri网给出,代表易感人群、感染过程和感染人群。van den Driessche-Watmough给出的新一代矩阵法的五个假设可以用Petri网进行几何描述。因此,下一代矩阵的结果是感染室之间的流动矩阵,其优势特征值由基本繁殖数给出。
本文章由计算机程序翻译,如有差异,请以英文原文为准。

Petri nets in epidemiology.

Petri nets in epidemiology.

Petri nets in epidemiology.

Petri nets in epidemiology.

This work provides a geometric version of the next-generation matrix method for obtaining the basic reproduction number of an epidemiological model. We exhibit a certain correspondence between any system of ODEs and Petri nets. We observe that any epidemiological model has the basic structures found in the SIR model of Kermack-McKendrick. This means that the basic reproduction number depends only on three substructures inside the Petri net, which are also given by three Petri nets inside, representing the susceptible population, the infection process, and the infected population. The five assumptions of the next-generation matrix method given by van den Driessche-Watmough can be described geometrically using Petri nets. Thus, the next-generation matrix results in a matrix of flows between the infection compartments with a dominant eigenvalue given by the basic reproduction number.

求助全文
通过发布文献求助,成功后即可免费获取论文全文。 去求助
来源期刊
CiteScore
3.30
自引率
5.30%
发文量
120
审稿时长
6 months
期刊介绍: The Journal of Mathematical Biology focuses on mathematical biology - work that uses mathematical approaches to gain biological understanding or explain biological phenomena. Areas of biology covered include, but are not restricted to, cell biology, physiology, development, neurobiology, genetics and population genetics, population biology, ecology, behavioural biology, evolution, epidemiology, immunology, molecular biology, biofluids, DNA and protein structure and function. All mathematical approaches including computational and visualization approaches are appropriate.
×
引用
GB/T 7714-2015
复制
MLA
复制
APA
复制
导出至
BibTeX EndNote RefMan NoteFirst NoteExpress
×
提示
您的信息不完整,为了账户安全,请先补充。
现在去补充
×
提示
您因"违规操作"
具体请查看互助需知
我知道了
×
提示
确定
请完成安全验证×
copy
已复制链接
快去分享给好友吧!
我知道了
右上角分享
点击右上角分享
0
联系我们:info@booksci.cn Book学术提供免费学术资源搜索服务,方便国内外学者检索中英文文献。致力于提供最便捷和优质的服务体验。 Copyright © 2023 布克学术 All rights reserved.
京ICP备2023020795号-1
ghs 京公网安备 11010802042870号
Book学术文献互助
Book学术文献互助群
群 号:604180095
Book学术官方微信