非细菌性CP/CPPS中隐性细菌感染和抗生素疗效的前瞻性评估:解决尚未开发的治疗方法。

IF 2.9 2区 医学 Q2 UROLOGY & NEPHROLOGY
Hiroyuki Kitano, Hiroki Ohge, Kayoko Tadera, Yuki Kohada, Tomoya Hatayama, Hiroyuki Shikuma, Ryo Tasaka, Kenshiro Takemoto, Shunsuke Miyamoto, Kohei Kobatake, Yohei Sekino, Hiroki Kitagawa, Seiya Kashiyama, Nobuyuki Hinata
{"title":"非细菌性CP/CPPS中隐性细菌感染和抗生素疗效的前瞻性评估:解决尚未开发的治疗方法。","authors":"Hiroyuki Kitano, Hiroki Ohge, Kayoko Tadera, Yuki Kohada, Tomoya Hatayama, Hiroyuki Shikuma, Ryo Tasaka, Kenshiro Takemoto, Shunsuke Miyamoto, Kohei Kobatake, Yohei Sekino, Hiroki Kitagawa, Seiya Kashiyama, Nobuyuki Hinata","doi":"10.1007/s00345-025-05936-3","DOIUrl":null,"url":null,"abstract":"<p><strong>Purpose: </strong>To identify bacteria potentially involved in chronic prostatitis/chronic pelvic pain syndrome (CP/CPPS) classified as nonbacterial and evaluate the clinical effectiveness of antibiotic therapy against these pathogens.</p><p><strong>Methods: </strong>Patients were classified into two groups-CP/CPPS category IIIb and the bacterial prostatitis subgroup of CP/CPPS-based on the presence or absence of pyuria and bacteriuria in urine samples obtained before and after prostatic massage. Treatment efficacy was compared between the two groups. The bacterial prostatitis subgroup was further stratified according to whether uropathogens or non-uropathogens were detected, and treatment responses were analyzed accordingly.</p><p><strong>Results: </strong>A total of 28 patients were classified in the CP/CPPS category IIIb and 17 patients in the bacterial prostatitis subgroup. The bacterial prostatitis subgroup showed a significantly greater reduction in National Institutes of Health-Chronic Prostatitis Symptom Index total scores compared with the IIIb group, particularly in the pain domain, which also showed significant improvement over time. The quality-of-life scores also improved in this subgroup. Within the bacterial prostatitis subgroup, both uropathogen-positive and non-uropathogen-positive patients showed a reduction in pain scores, with significantly greater improvement observed in the non-uropathogen group.</p><p><strong>Conclusion: </strong>These findings suggest that some patients classified as CP/CPPS category IIIb under conventional diagnostic methods may, in fact, have bacterial involvement. Antibiotic therapy may be effective in such cases, including those with non-uropathogenic bacterial detection.</p>","PeriodicalId":23954,"journal":{"name":"World Journal of Urology","volume":"43 1","pages":"554"},"PeriodicalIF":2.9000,"publicationDate":"2025-09-15","publicationTypes":"Journal Article","fieldsOfStudy":null,"isOpenAccess":false,"openAccessPdf":"https://www.ncbi.nlm.nih.gov/pmc/articles/PMC12436488/pdf/","citationCount":"0","resultStr":"{\"title\":\"A prospective evaluation of hidden bacterial involvement and antibiotic efficacy in nonbacterial CP/CPPS: addressing an underexplored therapeutic approach.\",\"authors\":\"Hiroyuki Kitano, Hiroki Ohge, Kayoko Tadera, Yuki Kohada, Tomoya Hatayama, Hiroyuki Shikuma, Ryo Tasaka, Kenshiro Takemoto, Shunsuke Miyamoto, Kohei Kobatake, Yohei Sekino, Hiroki Kitagawa, Seiya Kashiyama, Nobuyuki Hinata\",\"doi\":\"10.1007/s00345-025-05936-3\",\"DOIUrl\":null,\"url\":null,\"abstract\":\"<p><strong>Purpose: </strong>To identify bacteria potentially involved in chronic prostatitis/chronic pelvic pain syndrome (CP/CPPS) classified as nonbacterial and evaluate the clinical effectiveness of antibiotic therapy against these pathogens.</p><p><strong>Methods: </strong>Patients were classified into two groups-CP/CPPS category IIIb and the bacterial prostatitis subgroup of CP/CPPS-based on the presence or absence of pyuria and bacteriuria in urine samples obtained before and after prostatic massage. Treatment efficacy was compared between the two groups. The bacterial prostatitis subgroup was further stratified according to whether uropathogens or non-uropathogens were detected, and treatment responses were analyzed accordingly.</p><p><strong>Results: </strong>A total of 28 patients were classified in the CP/CPPS category IIIb and 17 patients in the bacterial prostatitis subgroup. The bacterial prostatitis subgroup showed a significantly greater reduction in National Institutes of Health-Chronic Prostatitis Symptom Index total scores compared with the IIIb group, particularly in the pain domain, which also showed significant improvement over time. The quality-of-life scores also improved in this subgroup. Within the bacterial prostatitis subgroup, both uropathogen-positive and non-uropathogen-positive patients showed a reduction in pain scores, with significantly greater improvement observed in the non-uropathogen group.</p><p><strong>Conclusion: </strong>These findings suggest that some patients classified as CP/CPPS category IIIb under conventional diagnostic methods may, in fact, have bacterial involvement. Antibiotic therapy may be effective in such cases, including those with non-uropathogenic bacterial detection.</p>\",\"PeriodicalId\":23954,\"journal\":{\"name\":\"World Journal of Urology\",\"volume\":\"43 1\",\"pages\":\"554\"},\"PeriodicalIF\":2.9000,\"publicationDate\":\"2025-09-15\",\"publicationTypes\":\"Journal Article\",\"fieldsOfStudy\":null,\"isOpenAccess\":false,\"openAccessPdf\":\"https://www.ncbi.nlm.nih.gov/pmc/articles/PMC12436488/pdf/\",\"citationCount\":\"0\",\"resultStr\":null,\"platform\":\"Semanticscholar\",\"paperid\":null,\"PeriodicalName\":\"World Journal of Urology\",\"FirstCategoryId\":\"3\",\"ListUrlMain\":\"https://doi.org/10.1007/s00345-025-05936-3\",\"RegionNum\":2,\"RegionCategory\":\"医学\",\"ArticlePicture\":[],\"TitleCN\":null,\"AbstractTextCN\":null,\"PMCID\":null,\"EPubDate\":\"\",\"PubModel\":\"\",\"JCR\":\"Q2\",\"JCRName\":\"UROLOGY & NEPHROLOGY\",\"Score\":null,\"Total\":0}","platform":"Semanticscholar","paperid":null,"PeriodicalName":"World Journal of Urology","FirstCategoryId":"3","ListUrlMain":"https://doi.org/10.1007/s00345-025-05936-3","RegionNum":2,"RegionCategory":"医学","ArticlePicture":[],"TitleCN":null,"AbstractTextCN":null,"PMCID":null,"EPubDate":"","PubModel":"","JCR":"Q2","JCRName":"UROLOGY & NEPHROLOGY","Score":null,"Total":0}
引用次数: 0

摘要

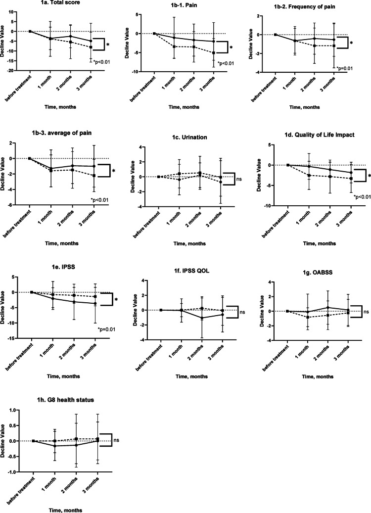
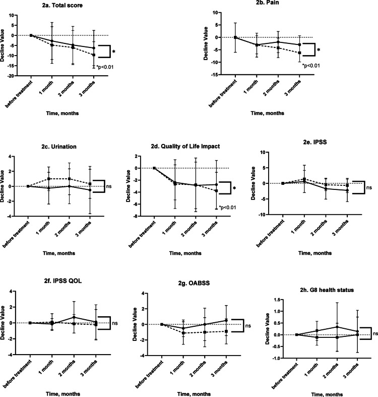
目的:鉴定非细菌性慢性前列腺炎/慢性盆腔疼痛综合征(CP/CPPS)可能涉及的细菌,并评估抗生素治疗这些病原体的临床效果。方法:根据前列腺按摩前后尿液中有无脓尿和细菌尿,将患者分为CP/CPPS IIIb组和CP/CPPS细菌性前列腺炎亚组。比较两组患者的治疗效果。根据是否检出尿路病原体或非尿路病原体对细菌性前列腺炎亚组进行进一步分层,并据此分析治疗效果。结果:CP/CPPS IIIb组28例,细菌性前列腺炎亚组17例。与IIIb组相比,细菌性前列腺炎亚组在美国国立卫生研究院慢性前列腺炎症状指数总分上的下降幅度更大,特别是在疼痛领域,随着时间的推移也显示出显著的改善。该亚组的生活质量得分也有所提高。在细菌性前列腺炎亚组中,尿路病原体阳性和非尿路病原体阳性患者的疼痛评分均下降,非尿路病原体组的改善明显更大。结论:这些结果提示,一些常规诊断方法分类为CP/CPPS IIIb类的患者实际上可能有细菌累及。抗生素治疗可能对这些病例有效,包括那些检测到非尿路致病菌的病例。
本文章由计算机程序翻译,如有差异,请以英文原文为准。

A prospective evaluation of hidden bacterial involvement and antibiotic efficacy in nonbacterial CP/CPPS: addressing an underexplored therapeutic approach.

A prospective evaluation of hidden bacterial involvement and antibiotic efficacy in nonbacterial CP/CPPS: addressing an underexplored therapeutic approach.

A prospective evaluation of hidden bacterial involvement and antibiotic efficacy in nonbacterial CP/CPPS: addressing an underexplored therapeutic approach.

A prospective evaluation of hidden bacterial involvement and antibiotic efficacy in nonbacterial CP/CPPS: addressing an underexplored therapeutic approach.

Purpose: To identify bacteria potentially involved in chronic prostatitis/chronic pelvic pain syndrome (CP/CPPS) classified as nonbacterial and evaluate the clinical effectiveness of antibiotic therapy against these pathogens.

Methods: Patients were classified into two groups-CP/CPPS category IIIb and the bacterial prostatitis subgroup of CP/CPPS-based on the presence or absence of pyuria and bacteriuria in urine samples obtained before and after prostatic massage. Treatment efficacy was compared between the two groups. The bacterial prostatitis subgroup was further stratified according to whether uropathogens or non-uropathogens were detected, and treatment responses were analyzed accordingly.

Results: A total of 28 patients were classified in the CP/CPPS category IIIb and 17 patients in the bacterial prostatitis subgroup. The bacterial prostatitis subgroup showed a significantly greater reduction in National Institutes of Health-Chronic Prostatitis Symptom Index total scores compared with the IIIb group, particularly in the pain domain, which also showed significant improvement over time. The quality-of-life scores also improved in this subgroup. Within the bacterial prostatitis subgroup, both uropathogen-positive and non-uropathogen-positive patients showed a reduction in pain scores, with significantly greater improvement observed in the non-uropathogen group.

Conclusion: These findings suggest that some patients classified as CP/CPPS category IIIb under conventional diagnostic methods may, in fact, have bacterial involvement. Antibiotic therapy may be effective in such cases, including those with non-uropathogenic bacterial detection.

求助全文
通过发布文献求助,成功后即可免费获取论文全文。 去求助
来源期刊
World Journal of Urology
World Journal of Urology 医学-泌尿学与肾脏学
CiteScore
6.80
自引率
8.80%
发文量
317
审稿时长
4-8 weeks
期刊介绍: The WORLD JOURNAL OF UROLOGY conveys regularly the essential results of urological research and their practical and clinical relevance to a broad audience of urologists in research and clinical practice. In order to guarantee a balanced program, articles are published to reflect the developments in all fields of urology on an internationally advanced level. Each issue treats a main topic in review articles of invited international experts. Free papers are unrelated articles to the main topic.
×
引用
GB/T 7714-2015
复制
MLA
复制
APA
复制
导出至
BibTeX EndNote RefMan NoteFirst NoteExpress
×
提示
您的信息不完整,为了账户安全,请先补充。
现在去补充
×
提示
您因"违规操作"
具体请查看互助需知
我知道了
×
提示
确定
请完成安全验证×
copy
已复制链接
快去分享给好友吧!
我知道了
右上角分享
点击右上角分享
0
联系我们:info@booksci.cn Book学术提供免费学术资源搜索服务,方便国内外学者检索中英文文献。致力于提供最便捷和优质的服务体验。 Copyright © 2023 布克学术 All rights reserved.
京ICP备2023020795号-1
ghs 京公网安备 11010802042870号
Book学术文献互助
Book学术文献互助群
群 号:604180095
Book学术官方微信