慢性肾衰竭患者不平衡纵向红细胞压积水平演变的混合效应模型。

IF 2.1 Q2 MEDICINE, GENERAL & INTERNAL
SAGE Open Medicine Pub Date : 2025-09-13 eCollection Date: 2025-01-01 DOI:10.1177/20503121251360864
Yemane Hailu Fissuh, Getachew Beyene Nega, Azmera Hailay
{"title":"慢性肾衰竭患者不平衡纵向红细胞压积水平演变的混合效应模型。","authors":"Yemane Hailu Fissuh, Getachew Beyene Nega, Azmera Hailay","doi":"10.1177/20503121251360864","DOIUrl":null,"url":null,"abstract":"<p><strong>Background: </strong>Chronic kidney disease, or renal failure, is a public health problem with an estimated prevalence of 8%-16% worldwide. This study was conducted to investigate the evolution of hematocrit levels over time in renal patients after transplantation and to determine how the evolution of hematocrit levels depends on the patients' age, sex, and other factors.</p><p><strong>Objective: </strong>The main objective of this study was to employ a mixed-effects model to examine the unbalanced longitudinal evolution of hematocrit levels in chronic kidney failure patients.</p><p><strong>Methodology: </strong>This longitudinal study included 1160 patients who received a renal transplant. These patients were followed for at most 10 years. The hematocrit level was considered the response, while the covariates were time in years, sex, and age of the patients. Different statistical methods, such as explanatory analysis, multivariate regression, two-stage analysis, and linear mixed-effects models, were employed to explore the evolution of hematocrit over time.</p><p><strong>Results: </strong>The results revealed that hematocrit levels in kidney transplant patients evolve. The sex and age of the patient significantly affect the evolution of hematocrit levels. Males tend to have a greater increase in hematocrit levels over time than females do. Hematocrit levels tend to increase with increasing age. Furthermore, cardiovascular problems before transplant and rejection symptoms did not significantly affect the evolution of hematocrit levels.</p><p><strong>Conclusions: </strong>Hematocrit levels evolve, and this evolution follows a quartic time effect. The change in hematocrit levels varies according to the sex and age of the patient after a kidney transplant. Patients with low hematocrit levels tend to have a greater increase over time.</p>","PeriodicalId":21398,"journal":{"name":"SAGE Open Medicine","volume":"13 ","pages":"20503121251360864"},"PeriodicalIF":2.1000,"publicationDate":"2025-09-13","publicationTypes":"Journal Article","fieldsOfStudy":null,"isOpenAccess":false,"openAccessPdf":"https://www.ncbi.nlm.nih.gov/pmc/articles/PMC12433553/pdf/","citationCount":"0","resultStr":"{\"title\":\"A mixed-effect model for the evolution of unbalanced longitudinal hematocrit levels in chronic kidney failure patients.\",\"authors\":\"Yemane Hailu Fissuh, Getachew Beyene Nega, Azmera Hailay\",\"doi\":\"10.1177/20503121251360864\",\"DOIUrl\":null,\"url\":null,\"abstract\":\"<p><strong>Background: </strong>Chronic kidney disease, or renal failure, is a public health problem with an estimated prevalence of 8%-16% worldwide. This study was conducted to investigate the evolution of hematocrit levels over time in renal patients after transplantation and to determine how the evolution of hematocrit levels depends on the patients' age, sex, and other factors.</p><p><strong>Objective: </strong>The main objective of this study was to employ a mixed-effects model to examine the unbalanced longitudinal evolution of hematocrit levels in chronic kidney failure patients.</p><p><strong>Methodology: </strong>This longitudinal study included 1160 patients who received a renal transplant. These patients were followed for at most 10 years. The hematocrit level was considered the response, while the covariates were time in years, sex, and age of the patients. Different statistical methods, such as explanatory analysis, multivariate regression, two-stage analysis, and linear mixed-effects models, were employed to explore the evolution of hematocrit over time.</p><p><strong>Results: </strong>The results revealed that hematocrit levels in kidney transplant patients evolve. The sex and age of the patient significantly affect the evolution of hematocrit levels. Males tend to have a greater increase in hematocrit levels over time than females do. Hematocrit levels tend to increase with increasing age. Furthermore, cardiovascular problems before transplant and rejection symptoms did not significantly affect the evolution of hematocrit levels.</p><p><strong>Conclusions: </strong>Hematocrit levels evolve, and this evolution follows a quartic time effect. The change in hematocrit levels varies according to the sex and age of the patient after a kidney transplant. Patients with low hematocrit levels tend to have a greater increase over time.</p>\",\"PeriodicalId\":21398,\"journal\":{\"name\":\"SAGE Open Medicine\",\"volume\":\"13 \",\"pages\":\"20503121251360864\"},\"PeriodicalIF\":2.1000,\"publicationDate\":\"2025-09-13\",\"publicationTypes\":\"Journal Article\",\"fieldsOfStudy\":null,\"isOpenAccess\":false,\"openAccessPdf\":\"https://www.ncbi.nlm.nih.gov/pmc/articles/PMC12433553/pdf/\",\"citationCount\":\"0\",\"resultStr\":null,\"platform\":\"Semanticscholar\",\"paperid\":null,\"PeriodicalName\":\"SAGE Open Medicine\",\"FirstCategoryId\":\"1085\",\"ListUrlMain\":\"https://doi.org/10.1177/20503121251360864\",\"RegionNum\":0,\"RegionCategory\":null,\"ArticlePicture\":[],\"TitleCN\":null,\"AbstractTextCN\":null,\"PMCID\":null,\"EPubDate\":\"2025/1/1 0:00:00\",\"PubModel\":\"eCollection\",\"JCR\":\"Q2\",\"JCRName\":\"MEDICINE, GENERAL & INTERNAL\",\"Score\":null,\"Total\":0}","platform":"Semanticscholar","paperid":null,"PeriodicalName":"SAGE Open Medicine","FirstCategoryId":"1085","ListUrlMain":"https://doi.org/10.1177/20503121251360864","RegionNum":0,"RegionCategory":null,"ArticlePicture":[],"TitleCN":null,"AbstractTextCN":null,"PMCID":null,"EPubDate":"2025/1/1 0:00:00","PubModel":"eCollection","JCR":"Q2","JCRName":"MEDICINE, GENERAL & INTERNAL","Score":null,"Total":0}
引用次数: 0

摘要

背景:慢性肾脏疾病或肾功能衰竭是一个公共卫生问题,估计全球患病率为8%-16%。本研究旨在研究肾脏移植后患者红细胞压积水平随时间的变化,并确定红细胞压积水平的变化如何取决于患者的年龄、性别和其他因素。目的:本研究的主要目的是采用混合效应模型来研究慢性肾衰竭患者红细胞压积水平的不平衡纵向演变。方法:这项纵向研究包括1160例接受肾移植的患者。这些患者最多随访10年。红细胞压积水平被认为是反应,而协变量是时间(以年为单位)、性别和患者年龄。采用不同的统计方法,如解释分析、多元回归、两阶段分析和线性混合效应模型,探讨红细胞压积随时间的演变。结果:结果显示肾移植患者的红细胞压积水平是进化的。患者的性别和年龄显著影响红细胞压积水平的演变。随着时间的推移,男性的红细胞比容水平往往比女性增加得更多。红细胞压积水平随着年龄的增长而增加。此外,移植前的心血管问题和排斥症状对红细胞压积水平的演变没有显著影响。结论:红细胞压积水平进化,这种进化遵循四次时间效应。肾移植后,红细胞压积水平的变化因患者的性别和年龄而异。随着时间的推移,红细胞压积水平低的患者往往会有更大的增加。
本文章由计算机程序翻译,如有差异,请以英文原文为准。

A mixed-effect model for the evolution of unbalanced longitudinal hematocrit levels in chronic kidney failure patients.

A mixed-effect model for the evolution of unbalanced longitudinal hematocrit levels in chronic kidney failure patients.

A mixed-effect model for the evolution of unbalanced longitudinal hematocrit levels in chronic kidney failure patients.

A mixed-effect model for the evolution of unbalanced longitudinal hematocrit levels in chronic kidney failure patients.

Background: Chronic kidney disease, or renal failure, is a public health problem with an estimated prevalence of 8%-16% worldwide. This study was conducted to investigate the evolution of hematocrit levels over time in renal patients after transplantation and to determine how the evolution of hematocrit levels depends on the patients' age, sex, and other factors.

Objective: The main objective of this study was to employ a mixed-effects model to examine the unbalanced longitudinal evolution of hematocrit levels in chronic kidney failure patients.

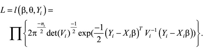
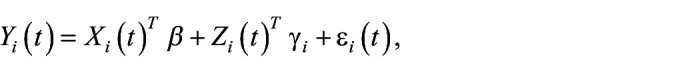
Methodology: This longitudinal study included 1160 patients who received a renal transplant. These patients were followed for at most 10 years. The hematocrit level was considered the response, while the covariates were time in years, sex, and age of the patients. Different statistical methods, such as explanatory analysis, multivariate regression, two-stage analysis, and linear mixed-effects models, were employed to explore the evolution of hematocrit over time.

Results: The results revealed that hematocrit levels in kidney transplant patients evolve. The sex and age of the patient significantly affect the evolution of hematocrit levels. Males tend to have a greater increase in hematocrit levels over time than females do. Hematocrit levels tend to increase with increasing age. Furthermore, cardiovascular problems before transplant and rejection symptoms did not significantly affect the evolution of hematocrit levels.

Conclusions: Hematocrit levels evolve, and this evolution follows a quartic time effect. The change in hematocrit levels varies according to the sex and age of the patient after a kidney transplant. Patients with low hematocrit levels tend to have a greater increase over time.

求助全文
通过发布文献求助,成功后即可免费获取论文全文。 去求助
来源期刊
SAGE Open Medicine
SAGE Open Medicine MEDICINE, GENERAL & INTERNAL-
CiteScore
3.50
自引率
4.30%
发文量
289
审稿时长
12 weeks
×
引用
GB/T 7714-2015
复制
MLA
复制
APA
复制
导出至
BibTeX EndNote RefMan NoteFirst NoteExpress
×
提示
您的信息不完整,为了账户安全,请先补充。
现在去补充
×
提示
您因"违规操作"
具体请查看互助需知
我知道了
×
提示
确定
请完成安全验证×
copy
已复制链接
快去分享给好友吧!
我知道了
右上角分享
点击右上角分享
0
联系我们:info@booksci.cn Book学术提供免费学术资源搜索服务,方便国内外学者检索中英文文献。致力于提供最便捷和优质的服务体验。 Copyright © 2023 布克学术 All rights reserved.
京ICP备2023020795号-1
ghs 京公网安备 11010802042870号
Book学术文献互助
Book学术文献互助群
群 号:604180095
Book学术官方微信