乙型肝炎患者并发原发性肝癌的影响因素分析及柱状图预测模型的构建

IF 2.2 4区 医学 Q3 INFECTIOUS DISEASES
Qunmei Cao, Yilin Zhou, Changlong Wen, Qinglan Li
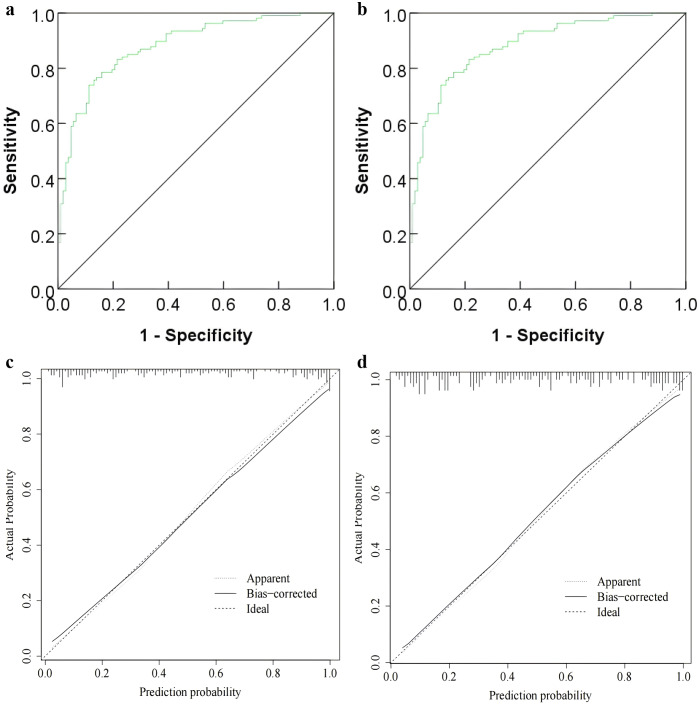
{"title":"乙型肝炎患者并发原发性肝癌的影响因素分析及柱状图预测模型的构建","authors":"Qunmei Cao, Yilin Zhou, Changlong Wen, Qinglan Li","doi":"10.1017/S0950268825100538","DOIUrl":null,"url":null,"abstract":"<p><p>A predictive column chart was developed to assess the risk of primary liver cancer (PLC) in hepatitis B patients. Data from 107 PLC patients and 107 controls were used as the training set, with 92 patients as the validation set. An additional 446 patients from other hospitals, including 15 with PLC, formed the external validation group. Multivariate logistic regression identified gender, BMI, alcohol consumption, diabetes, family history of liver cancer, cirrhosis, and HBV DNA load as independent risk factors. The model showed strong discrimination with AUCs of 0.882 and 0.859 in the training and validation sets, respectively, and good calibration (Hosmer-Lemeshow χ² = 2.648, P = 0.954; χ² = 4.117, P = 0.846). Decision curve analysis (DCA) confirmed clinical benefit within a risk threshold of 0.07-0.95. In the external validation group, the model maintained discrimination (AUC = 0.863) and calibration (Hosmer-Lemeshow χ² = 7.999, P = 0.434), with DCA showing net benefit across 0.14-0.95. These results indicate the column chart is a reliable tool for PLC risk prediction in hepatitis B patients.</p>","PeriodicalId":11721,"journal":{"name":"Epidemiology and Infection","volume":" ","pages":"e111"},"PeriodicalIF":2.2000,"publicationDate":"2025-09-16","publicationTypes":"Journal Article","fieldsOfStudy":null,"isOpenAccess":false,"openAccessPdf":"https://www.ncbi.nlm.nih.gov/pmc/articles/PMC12529427/pdf/","citationCount":"0","resultStr":"{\"title\":\"Analysis of influencing factors of concurrent primary liver cancer in hepatitis B patients and construction of column chart prediction model.\",\"authors\":\"Qunmei Cao, Yilin Zhou, Changlong Wen, Qinglan Li\",\"doi\":\"10.1017/S0950268825100538\",\"DOIUrl\":null,\"url\":null,\"abstract\":\"<p><p>A predictive column chart was developed to assess the risk of primary liver cancer (PLC) in hepatitis B patients. Data from 107 PLC patients and 107 controls were used as the training set, with 92 patients as the validation set. An additional 446 patients from other hospitals, including 15 with PLC, formed the external validation group. Multivariate logistic regression identified gender, BMI, alcohol consumption, diabetes, family history of liver cancer, cirrhosis, and HBV DNA load as independent risk factors. The model showed strong discrimination with AUCs of 0.882 and 0.859 in the training and validation sets, respectively, and good calibration (Hosmer-Lemeshow χ² = 2.648, P = 0.954; χ² = 4.117, P = 0.846). Decision curve analysis (DCA) confirmed clinical benefit within a risk threshold of 0.07-0.95. In the external validation group, the model maintained discrimination (AUC = 0.863) and calibration (Hosmer-Lemeshow χ² = 7.999, P = 0.434), with DCA showing net benefit across 0.14-0.95. These results indicate the column chart is a reliable tool for PLC risk prediction in hepatitis B patients.</p>\",\"PeriodicalId\":11721,\"journal\":{\"name\":\"Epidemiology and Infection\",\"volume\":\" \",\"pages\":\"e111\"},\"PeriodicalIF\":2.2000,\"publicationDate\":\"2025-09-16\",\"publicationTypes\":\"Journal Article\",\"fieldsOfStudy\":null,\"isOpenAccess\":false,\"openAccessPdf\":\"https://www.ncbi.nlm.nih.gov/pmc/articles/PMC12529427/pdf/\",\"citationCount\":\"0\",\"resultStr\":null,\"platform\":\"Semanticscholar\",\"paperid\":null,\"PeriodicalName\":\"Epidemiology and Infection\",\"FirstCategoryId\":\"3\",\"ListUrlMain\":\"https://doi.org/10.1017/S0950268825100538\",\"RegionNum\":4,\"RegionCategory\":\"医学\",\"ArticlePicture\":[],\"TitleCN\":null,\"AbstractTextCN\":null,\"PMCID\":null,\"EPubDate\":\"\",\"PubModel\":\"\",\"JCR\":\"Q3\",\"JCRName\":\"INFECTIOUS DISEASES\",\"Score\":null,\"Total\":0}","platform":"Semanticscholar","paperid":null,"PeriodicalName":"Epidemiology and Infection","FirstCategoryId":"3","ListUrlMain":"https://doi.org/10.1017/S0950268825100538","RegionNum":4,"RegionCategory":"医学","ArticlePicture":[],"TitleCN":null,"AbstractTextCN":null,"PMCID":null,"EPubDate":"","PubModel":"","JCR":"Q3","JCRName":"INFECTIOUS DISEASES","Score":null,"Total":0}
引用次数: 0

摘要

采用预测柱状图评估乙型肝炎患者发生原发性肝癌(PLC)的风险。107例PLC患者和107例对照组的数据作为训练集,92例患者作为验证集。另外446名来自其他医院的患者,包括15名PLC患者组成外部验证组。多因素logistic回归发现性别、BMI、饮酒、糖尿病、肝癌家族史、肝硬化和HBV DNA载量是独立的危险因素。该模型具有较强的判别能力,训练集和验证集的auc分别为0.882和0.859,具有较好的定标性(Hosmer-Lemeshow χ²= 2.648,P = 0.954; χ²= 4.117,P = 0.846)。决策曲线分析(DCA)证实临床获益在0.07-0.95的风险阈值范围内。在外部验证组中,模型保持了鉴别(AUC = 0.863)和校准(Hosmer-Lemeshow χ²= 7.999,P = 0.434), DCA显示净效益在0.14-0.95之间。这些结果表明柱状图是预测乙型肝炎患者PLC风险的可靠工具。
本文章由计算机程序翻译,如有差异,请以英文原文为准。

Analysis of influencing factors of concurrent primary liver cancer in hepatitis B patients and construction of column chart prediction model.

Analysis of influencing factors of concurrent primary liver cancer in hepatitis B patients and construction of column chart prediction model.

Analysis of influencing factors of concurrent primary liver cancer in hepatitis B patients and construction of column chart prediction model.

Analysis of influencing factors of concurrent primary liver cancer in hepatitis B patients and construction of column chart prediction model.

A predictive column chart was developed to assess the risk of primary liver cancer (PLC) in hepatitis B patients. Data from 107 PLC patients and 107 controls were used as the training set, with 92 patients as the validation set. An additional 446 patients from other hospitals, including 15 with PLC, formed the external validation group. Multivariate logistic regression identified gender, BMI, alcohol consumption, diabetes, family history of liver cancer, cirrhosis, and HBV DNA load as independent risk factors. The model showed strong discrimination with AUCs of 0.882 and 0.859 in the training and validation sets, respectively, and good calibration (Hosmer-Lemeshow χ² = 2.648, P = 0.954; χ² = 4.117, P = 0.846). Decision curve analysis (DCA) confirmed clinical benefit within a risk threshold of 0.07-0.95. In the external validation group, the model maintained discrimination (AUC = 0.863) and calibration (Hosmer-Lemeshow χ² = 7.999, P = 0.434), with DCA showing net benefit across 0.14-0.95. These results indicate the column chart is a reliable tool for PLC risk prediction in hepatitis B patients.

求助全文
通过发布文献求助,成功后即可免费获取论文全文。 去求助
来源期刊
Epidemiology and Infection
Epidemiology and Infection 医学-传染病学
CiteScore
4.10
自引率
2.40%
发文量
366
审稿时长
3-6 weeks
期刊介绍: Epidemiology & Infection publishes original reports and reviews on all aspects of infection in humans and animals. Particular emphasis is given to the epidemiology, prevention and control of infectious diseases. The scope covers the zoonoses, outbreaks, food hygiene, vaccine studies, statistics and the clinical, social and public-health aspects of infectious disease, as well as some tropical infections. It has become the key international periodical in which to find the latest reports on recently discovered infections and new technology. For those concerned with policy and planning for the control of infections, the papers on mathematical modelling of epidemics caused by historical, current and emergent infections are of particular value.
×
引用
GB/T 7714-2015
复制
MLA
复制
APA
复制
导出至
BibTeX EndNote RefMan NoteFirst NoteExpress
×
提示
您的信息不完整,为了账户安全,请先补充。
现在去补充
×
提示
您因"违规操作"
具体请查看互助需知
我知道了
×
提示
确定
请完成安全验证×
copy
已复制链接
快去分享给好友吧!
我知道了
右上角分享
点击右上角分享
0
联系我们:info@booksci.cn Book学术提供免费学术资源搜索服务,方便国内外学者检索中英文文献。致力于提供最便捷和优质的服务体验。 Copyright © 2023 布克学术 All rights reserved.
京ICP备2023020795号-1
ghs 京公网安备 11010802042870号
Book学术文献互助
Book学术文献互助群
群 号:604180095
Book学术官方微信