Thraustochytrium sp. RT2316-16生产角鲨烯和脂肪酸:溶解氧和培养基组成的影响。

IF 5.1 3区 生物学 Q1 BIOTECHNOLOGY & APPLIED MICROBIOLOGY
Paris Paredes, Liset Flores, Mariela Bustamante, Yusuf Chisti, Juan A Asenjo, Carolina Shene
{"title":"Thraustochytrium sp. RT2316-16生产角鲨烯和脂肪酸:溶解氧和培养基组成的影响。","authors":"Paris Paredes, Liset Flores, Mariela Bustamante, Yusuf Chisti, Juan A Asenjo, Carolina Shene","doi":"10.1186/s40643-025-00937-x","DOIUrl":null,"url":null,"abstract":"<p><p>Thraustochytrium sp. RT2316-16 is a versatile marine microbe that produces useful compounds including docosahexaenoic acid (DHA), eicosapentaenoic acid (EPA), carotenoids and coenzyme Q<sub>10</sub>. Unlike the other reported Thraustochytrium spp., RT2316-16 is psychrophilic. This report identifies RT2316-16 as a potential source of squalene and assesses squalene accumulation in the biomass under different culture conditions. Furthermore, the effects of dissolved oxygen (DO) concentration on the production of fatty acids are reported for the first time. The squalene content of the biomass depended on the composition of the culture medium and the DO concentration. The accumulation of squalene was promoted when the mass ratio of glucose (or glycerol) relative to organic nitrogen was high and the DO concentration was 20% of air saturation. The highest concentration of squalene in the medium containing glucose was 1.49 ± 0.06 g L<sup>-1</sup>, whereas it was 0.91 ± 0.05 g L<sup>-1</sup> in the medium containing glycerol. Relatively high concentrations of EPA (224 ± 12 mg L<sup>-1</sup>) and DHA (550 ± 25 mg L<sup>-1</sup>) could be obtained in glucose-containing media with a DO concentration of 20%. A fed-batch operation was found to be suitable for enhancing the concentrations of EPA and DHA. Culture conditions for enhanced production of EPA, DHA and squalene by RT2316-16 are reported. Compared to other thraustochytrids, RT2316-16 was shown to be an excellent producer of squalene.</p>","PeriodicalId":9067,"journal":{"name":"Bioresources and Bioprocessing","volume":"12 1","pages":"98"},"PeriodicalIF":5.1000,"publicationDate":"2025-09-16","publicationTypes":"Journal Article","fieldsOfStudy":null,"isOpenAccess":false,"openAccessPdf":"https://www.ncbi.nlm.nih.gov/pmc/articles/PMC12436261/pdf/","citationCount":"0","resultStr":"{\"title\":\"Production of squalene and fatty acids by Thraustochytrium sp. RT2316-16: effects of dissolved oxygen and the medium composition.\",\"authors\":\"Paris Paredes, Liset Flores, Mariela Bustamante, Yusuf Chisti, Juan A Asenjo, Carolina Shene\",\"doi\":\"10.1186/s40643-025-00937-x\",\"DOIUrl\":null,\"url\":null,\"abstract\":\"<p><p>Thraustochytrium sp. RT2316-16 is a versatile marine microbe that produces useful compounds including docosahexaenoic acid (DHA), eicosapentaenoic acid (EPA), carotenoids and coenzyme Q<sub>10</sub>. Unlike the other reported Thraustochytrium spp., RT2316-16 is psychrophilic. This report identifies RT2316-16 as a potential source of squalene and assesses squalene accumulation in the biomass under different culture conditions. Furthermore, the effects of dissolved oxygen (DO) concentration on the production of fatty acids are reported for the first time. The squalene content of the biomass depended on the composition of the culture medium and the DO concentration. The accumulation of squalene was promoted when the mass ratio of glucose (or glycerol) relative to organic nitrogen was high and the DO concentration was 20% of air saturation. The highest concentration of squalene in the medium containing glucose was 1.49 ± 0.06 g L<sup>-1</sup>, whereas it was 0.91 ± 0.05 g L<sup>-1</sup> in the medium containing glycerol. Relatively high concentrations of EPA (224 ± 12 mg L<sup>-1</sup>) and DHA (550 ± 25 mg L<sup>-1</sup>) could be obtained in glucose-containing media with a DO concentration of 20%. A fed-batch operation was found to be suitable for enhancing the concentrations of EPA and DHA. Culture conditions for enhanced production of EPA, DHA and squalene by RT2316-16 are reported. Compared to other thraustochytrids, RT2316-16 was shown to be an excellent producer of squalene.</p>\",\"PeriodicalId\":9067,\"journal\":{\"name\":\"Bioresources and Bioprocessing\",\"volume\":\"12 1\",\"pages\":\"98\"},\"PeriodicalIF\":5.1000,\"publicationDate\":\"2025-09-16\",\"publicationTypes\":\"Journal Article\",\"fieldsOfStudy\":null,\"isOpenAccess\":false,\"openAccessPdf\":\"https://www.ncbi.nlm.nih.gov/pmc/articles/PMC12436261/pdf/\",\"citationCount\":\"0\",\"resultStr\":null,\"platform\":\"Semanticscholar\",\"paperid\":null,\"PeriodicalName\":\"Bioresources and Bioprocessing\",\"FirstCategoryId\":\"5\",\"ListUrlMain\":\"https://doi.org/10.1186/s40643-025-00937-x\",\"RegionNum\":3,\"RegionCategory\":\"生物学\",\"ArticlePicture\":[],\"TitleCN\":null,\"AbstractTextCN\":null,\"PMCID\":null,\"EPubDate\":\"\",\"PubModel\":\"\",\"JCR\":\"Q1\",\"JCRName\":\"BIOTECHNOLOGY & APPLIED MICROBIOLOGY\",\"Score\":null,\"Total\":0}","platform":"Semanticscholar","paperid":null,"PeriodicalName":"Bioresources and Bioprocessing","FirstCategoryId":"5","ListUrlMain":"https://doi.org/10.1186/s40643-025-00937-x","RegionNum":3,"RegionCategory":"生物学","ArticlePicture":[],"TitleCN":null,"AbstractTextCN":null,"PMCID":null,"EPubDate":"","PubModel":"","JCR":"Q1","JCRName":"BIOTECHNOLOGY & APPLIED MICROBIOLOGY","Score":null,"Total":0}
引用次数: 0

摘要

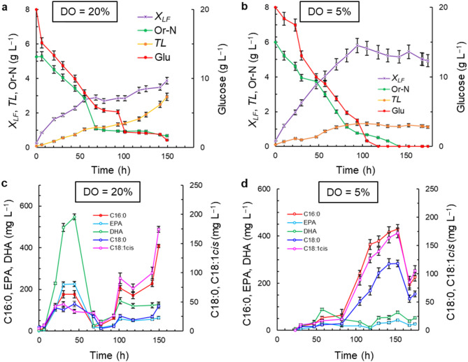
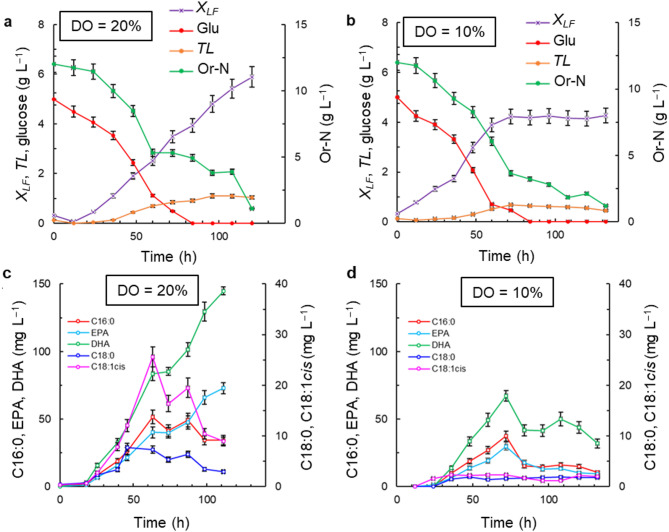
Thraustochytrium sp. RT2316-16是一种多功能海洋微生物,可产生有用的化合物,包括二十二碳六烯酸(DHA)、二十碳五烯酸(EPA)、类胡萝卜素和辅酶Q10。与其他报道的thraustochytrip不同,RT2316-16是亲心理的。本文确定了RT2316-16是角鲨烯的潜在来源,并评估了不同培养条件下生物量中角鲨烯的积累情况。此外,还首次报道了溶解氧(DO)浓度对脂肪酸生成的影响。生物量中角鲨烯的含量受培养基组成和DO浓度的影响。当葡萄糖(或甘油)相对于有机氮的质量比较高,DO浓度为空气饱和度的20%时,促进角鲨烯的积累。角鲨烯在含葡萄糖的培养基中浓度最高,为1.49±0.06 g L-1,在含甘油的培养基中浓度最高,为0.91±0.05 g L-1。在含葡萄糖、DO浓度为20%的培养基中,可获得较高浓度的EPA(224±12 mg L-1)和DHA(550±25 mg L-1)。发现补料间歇操作适合于提高EPA和DHA的浓度。报道了RT2316-16提高EPA、DHA和角鲨烯产量的培养条件。RT2316-16是一种较好的角鲨烯产源。
本文章由计算机程序翻译,如有差异,请以英文原文为准。

Production of squalene and fatty acids by Thraustochytrium sp. RT2316-16: effects of dissolved oxygen and the medium composition.

Production of squalene and fatty acids by Thraustochytrium sp. RT2316-16: effects of dissolved oxygen and the medium composition.

Production of squalene and fatty acids by Thraustochytrium sp. RT2316-16: effects of dissolved oxygen and the medium composition.

Production of squalene and fatty acids by Thraustochytrium sp. RT2316-16: effects of dissolved oxygen and the medium composition.

Thraustochytrium sp. RT2316-16 is a versatile marine microbe that produces useful compounds including docosahexaenoic acid (DHA), eicosapentaenoic acid (EPA), carotenoids and coenzyme Q10. Unlike the other reported Thraustochytrium spp., RT2316-16 is psychrophilic. This report identifies RT2316-16 as a potential source of squalene and assesses squalene accumulation in the biomass under different culture conditions. Furthermore, the effects of dissolved oxygen (DO) concentration on the production of fatty acids are reported for the first time. The squalene content of the biomass depended on the composition of the culture medium and the DO concentration. The accumulation of squalene was promoted when the mass ratio of glucose (or glycerol) relative to organic nitrogen was high and the DO concentration was 20% of air saturation. The highest concentration of squalene in the medium containing glucose was 1.49 ± 0.06 g L-1, whereas it was 0.91 ± 0.05 g L-1 in the medium containing glycerol. Relatively high concentrations of EPA (224 ± 12 mg L-1) and DHA (550 ± 25 mg L-1) could be obtained in glucose-containing media with a DO concentration of 20%. A fed-batch operation was found to be suitable for enhancing the concentrations of EPA and DHA. Culture conditions for enhanced production of EPA, DHA and squalene by RT2316-16 are reported. Compared to other thraustochytrids, RT2316-16 was shown to be an excellent producer of squalene.

求助全文
通过发布文献求助,成功后即可免费获取论文全文。 去求助
来源期刊
Bioresources and Bioprocessing
Bioresources and Bioprocessing BIOTECHNOLOGY & APPLIED MICROBIOLOGY-
CiteScore
7.20
自引率
8.70%
发文量
118
审稿时长
13 weeks
期刊介绍: Bioresources and Bioprocessing (BIOB) is a peer-reviewed open access journal published under the brand SpringerOpen. BIOB aims at providing an international academic platform for exchanging views on and promoting research to support bioresource development, processing and utilization in a sustainable manner. As an application-oriented research journal, BIOB covers not only the application and management of bioresource technology but also the design and development of bioprocesses that will lead to new and sustainable production processes. BIOB publishes original and review articles on most topics relating to bioresource and bioprocess engineering, including: -Biochemical and microbiological engineering -Biocatalysis and biotransformation -Biosynthesis and metabolic engineering -Bioprocess and biosystems engineering -Bioenergy and biorefinery -Cell culture and biomedical engineering -Food, agricultural and marine biotechnology -Bioseparation and biopurification engineering -Bioremediation and environmental biotechnology
×
引用
GB/T 7714-2015
复制
MLA
复制
APA
复制
导出至
BibTeX EndNote RefMan NoteFirst NoteExpress
×
提示
您的信息不完整,为了账户安全,请先补充。
现在去补充
×
提示
您因"违规操作"
具体请查看互助需知
我知道了
×
提示
确定
请完成安全验证×
copy
已复制链接
快去分享给好友吧!
我知道了
右上角分享
点击右上角分享
0
联系我们:info@booksci.cn Book学术提供免费学术资源搜索服务,方便国内外学者检索中英文文献。致力于提供最便捷和优质的服务体验。 Copyright © 2023 布克学术 All rights reserved.
京ICP备2023020795号-1
ghs 京公网安备 11010802042870号
Book学术文献互助
Book学术文献互助群
群 号:604180095
Book学术官方微信